Студопедия

КАТЕГОРИИ:


Архитектура-(3434)Астрономия-(809)Биология-(7483)Биотехнологии-(1457)Военное дело-(14632)Высокие технологии-(1363)География-(913)Геология-(1438)Государство-(451)Демография-(1065)Дом-(47672)Журналистика и СМИ-(912)Изобретательство-(14524)Иностранные языки-(4268)Информатика-(17799)Искусство-(1338)История-(13644)Компьютеры-(11121)Косметика-(55)Кулинария-(373)Культура-(8427)Лингвистика-(374)Литература-(1642)Маркетинг-(23702)Математика-(16968)Машиностроение-(1700)Медицина-(12668)Менеджмент-(24684)Механика-(15423)Науковедение-(506)Образование-(11852)Охрана труда-(3308)Педагогика-(5571)Полиграфия-(1312)Политика-(7869)Право-(5454)Приборостроение-(1369)Программирование-(2801)Производство-(97182)Промышленность-(8706)Психология-(18388)Религия-(3217)Связь-(10668)Сельское хозяйство-(299)Социология-(6455)Спорт-(42831)Строительство-(4793)Торговля-(5050)Транспорт-(2929)Туризм-(1568)Физика-(3942)Философия-(17015)Финансы-(26596)Химия-(22929)Экология-(12095)Экономика-(9961)Электроника-(8441)Электротехника-(4623)Энергетика-(12629)Юриспруденция-(1492)Ядерная техника-(1748)

Методика энергетического расчета двигателя




 

На рисунке 1.1 показана схема ТРД с характерными сечениями Н, В, Г, Т, С, между которыми расположены основные элементы двигателя: входное устройство, компрессор, камера сгорания, турбина и сопло. Проточная часть двигателя, по которой движется воздух, условно начинается с сечения Н, где воздух имеет атмосферные параметры и скорость движения относительно двигателя равную скорости полета самолета, и заканчивается на выходном срезе сопла сечением С, где продукты сгорания покидают двигатель со скоростью большей, чем скорость полета .

 

 

 

 

Все реальные термодинамические процессы, происходящие в элементах двигателя, рассчитываются на базе соответствующих идеальных процессов. При этом исходным для энергетического расчета является уравнение баланса энергии газа, перемещающегося вдоль стенок канала, причем, как с трением, так и без трения:

 

(1)

 

где: – тепло, подведенное к газу;

– приращение энтальпии газа;

– техническая работа, совершенная газом;

– приращение кинетической энергии газа.

В связи с тем, что:

 

(2)

 

где – энтальпия заторможенного потока газа, уравнение (1) можно представить в виде:

 

(3)

 

Уравнение (3) для энергетического расчета двигателя и его элементов более удобно, чем уравнение энергии в форме (1), т.к. при этом исключается из рассмотрения скорость движения газа по тракту двигателя.

За пределами двигателя, то есть до сечения Н (см. рисунок 2.1), скорость движения воздуха относительно двигателя равна скорости полета самолета. Энтальпия воздуха определяется состоянием атмосферы и равна:

 

 

 

где – теплоемкость воздуха при постоянном давлении;

– температура атмосферного воздуха.

Если в сечении Н воздух затормозить относительно двигателя, то на основании формулы (2) энтальпия заторможенного воздуха:

 

(4)

 

В связи с тем, что , где – температура заторможенного воздуха, то:

 

(5)

 

При торможении происходит процесс адиабатического сжатия воздуха и поэтому давление заторможенного воздуха определяется из условия:

 

(6)

 

где и – давление, соответственно, атмосферного и заторможенного воздуха;

– показатель адиабатического процесса для воздуха.

Учитывая, что , где – газовая постоянная для воздуха, и вводя критерий газодинамического подобия , где – скорость распространения звука в атмосферном воздухе, уравнением (5) и (6) можно придать вид:

 

(7)

 

(8)

 

Во входном устройстве двигателя, т.е. на участке Н – В (см. рисунок 1.1), течение воздуха происходит без теплообмена с внешней средой и без совершения технической работы (. В этом случае, согласно уравнению (3), и, соответственно, . Откуда следует, что т.е. энтальпия, температура и давление заторможенного потока воздуха остаются постоянными на всем участке Н – В.

В реальных условиях течение воздуха происходит с трением и, соответственно, с увеличением энтропии (рисунок 1.2). При этом температура воздуха остается неизменной, а давление из-за потерь кинетической энергии на преодоление сил трения уменьшается. В связи с изложенным, температура заторможенного воздуха в сечении В находится непосредственно из условия:

 

(9)

 

а давление выражается через с помощью коэффициента восстановления давления:

 

 

 

который учитывает гидравлические потери во входном устройстве, т.е.:

 

(10)

 

По известным и находится степень повышения давления во входном устройстве:

 

(11)

 

В компрессоре, т.е. на участке двигателя В – К (рисунок 1.1) течение воздуха происходит без теплообмена с внешней средой , но с совершением технической работы , которая при течении воздуха без трения, согласно уравнению (3), равна:

 

 

 

или

 

 

 

где – энтальпия заторможенного воздуха за компрессором.

В рассматриваемом случае характеризует работу в процессе В – К (рисунок 1.2). В уравнении (3) техническая работа сжатия учитывается со знаком минус, но в расчетах обычно принимается абсолютная величина . Поэтому:

 

 

 

или

 

(12)

 

где –степень повышения давления воздуха в компрессоре.

В реальных условиях (процесс В – К на рисунке 1.2) для сжатия воздуха от давления до требуется работа большая, чем в адиабатическом процессе В – К . Совершенство процесса сжатия воздуха в компрессоре оценивается адиабатическим КПД:

 

 

 

Поэтому:

 

(13)

 

Давление воздуха за компрессором находится из условия:

 

(14)

 

Для определения температуры заторможенного воздуха за компрессором следует учесть, что:

 

 

 

где , откуда:

 

(15)

В камере сгорания, т.е. на участке К – Г, течение газа происходит без совершения технической работы (, но с подводом тепла В этом случае из уравнения (3) следует, что:

 

 

 

и

 

(16)

 

где – энтальпия заторможенного газа на выходе из камеры сгорания.

В реальных условиях в камере сгорания в поток воздуха вводится топливо, что приводит к некоторому увеличению расхода газа . Однако расход топлива составляет от расхода воздуха менее 3% и в целях упрощения расчета первым можно пренебречь и принять, что Тем более это возможно вследствие того, что одновременно с приращением расхода газа за счет топлива происходит его уменьшение вследствие отбора воздуха для охлаждения турбины.

При сгорании топлива резко повышается температура и изменяется состав газа, что приводит к заметному увеличению его теплоемкости . С учетом этого и выражая:

 

 

 

Уравнение (16) можно записать в виде:

 

 

 

где – относительный расход топлива или масса топлива, приходящаяся на 1 кг воздуха;

– массовые расходы, соответственно, воздуха и топлива;

– теплотворная способность топлива;

– коэффициент полноты сгорания;

– теплоемкость газа на выходе из камеры сгорания;

– температура торможения газа на выходе из камеры сгорания.

Из уравнения (18) находится:

 

 

 

и далее коэффициент избытка воздуха:

 

 

 

где – действительное количество воздуха, приходящееся в двигателе на 1 кг топлива.

В реальных условиях в камере сгорания из-за гидравлических и тепловых потерь процесс подвода тепла идет не по изобаре К – Г (рисунок 1.2), а с понижением давления по линии К – Г. Потери давления в камере сгорания оцениваются коэффициентом:

 

 

 

где – давление заторможенного потока на выходе соответственно из компрессора и камеры сгорания.

В таком случае:

 

 

 

Работа турбины затрачивается на привод компрессора и вспомогательных агрегатов, а также на преодоление трения в подшипниках. В связи с тем, что на привод агрегатов и преодоление сил трения расходуется незначительная доля работы турбины, а расходы газа через турбину и воздуха через компрессор, как было отмечено, примерно одинаковы, то можно принять, что работы турбины и компрессора, отнесенные к 1 кг рабочего тела, примерно равны, т.е.:

 

 

 

В турбине, как и в компрессоре, течение газа происходит без теплообмена с внешней средой , но с совершением технической работы . В этом случае уравнение (3) имеет вид причем для реального процесса Г – Т, расширение газа в турбине: Так как в турбине газ расширяется, то работа турбины положительная и поэтому по знаку совпадает с и, следовательно, , откуда находится температура заторможенного газа за турбиной:

 

 

 

При адиабатическом расширении газа в турбине от давления до давления (процесс Г – Т ) работа турбины определяется выражением:

 

 

 

где – температура заторможенного газа за турбиной при адиабатическом расширении, или:

 

 

 

где – степень понижения давления газа в турбине;

– показатель адиабатического процесса для газа.

Совершенство турбины, как и компрессора, оценивается адиабатический КПД:

 

 

 

откуда следует, что:

 

 

 

и из выражения (24) находится:

 

 

 

С учетом этого определяется давление заторможенного газа за турбиной:

 

 

 

В сопле, т.е. на участке двигателя Т – С (рисунок 1.1), течение газа, как и во входном устройстве, происходит без теплообмена с внешней средой и без совершения технической работы. В этом случае уравнение (3) имеет вид и, следовательно, при отсутствии трения все параметры заторможенного газа по длине сопла остаются неизменными, т.е.:

 

 

Здесь , и – соответственно, энтальпия, температура, давление заторможенного газа на срезе сопла при адиабатическом истечении.

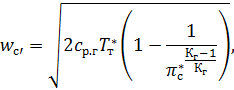
В выходном устройстве газ, при адиабатическом расширении (процесс Т – С на рисунке 1.2), разгоняется до скорости , которая согласно формуле (2) равна:

 

 

 

или

 

(28)

 

где –степень понижения давления в сопле;

- энтальпия, давление и температура газа на выходном срезе сопла при адиабатическом расширении (процесс Т – С на рисунке 1.2).

В соплах ТРД перепад давлений на основных режимах работы всегда больше критического:

 

(29)

 

а сопла применяются, как правило, сужающиеся. В этом случае:

 

(30)

 

и скорость истечения газа из сопла равна критической, или, иначе, скорости распределения звука в этом газе, т.е. местной скорости звука:

 

(31)

где – газовая постоянная продуктов сгорания.

В реальных условиях, т.е. при течении газа с трением (процесс Т – С на рисунке 1.2) действительная скорость истечения меньше теоретической и равна:

 

(32)

 

где – коэффициент скорости.

При этом давление остается практически равным и, согласно уравнению 30, равно:

 

(33)

 

Температура на выходном срезе сопла находится из условия:

 

 

 

и

 

(34)

 

В случае неполного расширения газа в сопле сила тяги двигателя выражается формулой:

 

 

 

где – массовый расход газа в сопле;

– площадь выходного среза сопла.

Откуда следует, что удельная сила тяги равна:

 

(35)

 

где – площадь среза сопла, отнесенная к расходу воздуха.

Согласно уравнению расхода и, следовательно:

 

 

 

где – плотность газа на срезе сопла.

С учетом этого:

 

(36)

 

Расход топлива, отнесенный к единице силы тяги, или удельный расход топлива равен:

 

(37)

 

Из уравнения (35) следует, что расход воздуха:

 

(38)

 

Так как , то расход топлива:

 

(39)

 




Поделиться с друзьями:


Дата добавления: 2015-04-24; Просмотров: 425; Нарушение авторских прав?; Мы поможем в написании вашей работы!


Нам важно ваше мнение! Был ли полезен опубликованный материал? Да | Нет



studopedia.su - Студопедия (2013 - 2026) год. Все материалы представленные на сайте исключительно с целью ознакомления читателями и не преследуют коммерческих целей или нарушение авторских прав! Последнее добавление




Генерация страницы за: 0.015 сек.