Студопедия

КАТЕГОРИИ:


Архитектура-(3434)Астрономия-(809)Биология-(7483)Биотехнологии-(1457)Военное дело-(14632)Высокие технологии-(1363)География-(913)Геология-(1438)Государство-(451)Демография-(1065)Дом-(47672)Журналистика и СМИ-(912)Изобретательство-(14524)Иностранные языки-(4268)Информатика-(17799)Искусство-(1338)История-(13644)Компьютеры-(11121)Косметика-(55)Кулинария-(373)Культура-(8427)Лингвистика-(374)Литература-(1642)Маркетинг-(23702)Математика-(16968)Машиностроение-(1700)Медицина-(12668)Менеджмент-(24684)Механика-(15423)Науковедение-(506)Образование-(11852)Охрана труда-(3308)Педагогика-(5571)Полиграфия-(1312)Политика-(7869)Право-(5454)Приборостроение-(1369)Программирование-(2801)Производство-(97182)Промышленность-(8706)Психология-(18388)Религия-(3217)Связь-(10668)Сельское хозяйство-(299)Социология-(6455)Спорт-(42831)Строительство-(4793)Торговля-(5050)Транспорт-(2929)Туризм-(1568)Физика-(3942)Философия-(17015)Финансы-(26596)Химия-(22929)Экология-(12095)Экономика-(9961)Электроника-(8441)Электротехника-(4623)Энергетика-(12629)Юриспруденция-(1492)Ядерная техника-(1748)

Предварительный расчет передачи




Последовательность расчета передачи приводной роликовой цепью

 

Предварительный расчет передачи приведен в табл. 67, 68.

 

Таблица 67 – Предварительный расчет передачи

Наименование величины Обозначение Метод определения
     
1 Число зубьев вед. звездочки (ориентировочное) = 31 - 2
2 Число зубьев ведущей звездочки (назначенное) Округлить до ближайшего нечетного числа
3 Коэффициент работоспособности передачи C C = 4·106
4 Коэффициент, учитывающий влияние частоты вращения ведущей звездочки на износ шарнира

Продолжение таблицы 67

 

     
5 Коэффициент, учитывающий влияние числа зубьев ведущей звездочки передачи
6 Межосевое расстояние передачи (в шагах) Рекомендуется:
7 Коэффициент, учитывающий межосевое расстояние передачи
8 Коэффициент, учитывающий влияние передаточного числа
9 Коэффициент, учитывающий параметры передачи
10 Коэффициент, учитывающий угол наклона линии центров к горизонту Kg Табл. 63
11 Коэффициент, учитывающий способ компенсации вытяжки цепи Kp Табл. 64
12 Коэффициент, учитывающий способ смазки шарнира Kсм Табл. 65
13 Коэффициент, учитывающий условия эксплуатации передачи Kэ Kэ = Kγ Kр Kсм
14 Допускаемое давление для расчета износостойкости шарнира , МПа
15 Желательное число рядов цепи m Рекомендуется: m=1
16 Коэффициент, учитывающий число рядов цепи Km Табл. 62
17 Расчетный шаг цепи pop, мм

Таблица 68 – Расчет геометрических параметров передачи

Наименование величины Обозначение Метод определения
     
1 Расчетное число зубьев ведомой звездочки

Продолжение таблицы 68

       
2 Число зубьев ведомой звездочки (назначенное) Полученное значение округлить до ближайшего целого числа  
3 Расчетное число звеньев цепи  
4 Число звеньев цепи (назначенное) Полученное значение округлить до ближайшего четного числа  
5 Расчетное межосевое расстояние передачи , мм  
6 Межосевое расстояние, обеспечивающее провисание цепи , мм  
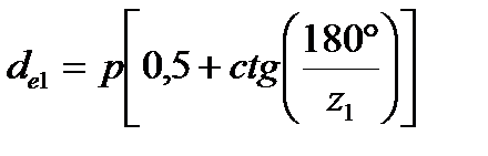
7 Диаметр делительной окружности ведущей звездочки , мм  
8 Диаметр делительной окружности ведомой звездочки , мм  
9 Наружный диаметр ведущей звездочки , мм
10 Наружный диаметр ведомой звездочки , мм
11 Диаметр ролика , мм Табл. 66
12 Радиус впадины , мм
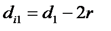
13 Диаметр окружности впадин ведущей звездочки , мм
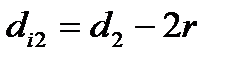
14 Диаметр окружности впадин ведомой звездочки , мм

Продолжение таблицы 68

     
15 Расстояние между пластинами внутреннего звена , мм Табл. 66
16 Ширина зубчатого венца звездочек , мм Для однорядной цепи: . Для многорядной цепи:
17 Радиус боковой поверхности зубьев звездочек , мм
18 Координата центра кривизны боковой поверхности зуба , мм

 




Поделиться с друзьями:


Дата добавления: 2015-04-24; Просмотров: 382; Нарушение авторских прав?; Мы поможем в написании вашей работы!


Нам важно ваше мнение! Был ли полезен опубликованный материал? Да | Нет



studopedia.su - Студопедия (2013 - 2025) год. Все материалы представленные на сайте исключительно с целью ознакомления читателями и не преследуют коммерческих целей или нарушение авторских прав! Последнее добавление




Генерация страницы за: 0.011 сек.