Студопедия

КАТЕГОРИИ:


Архитектура-(3434)Астрономия-(809)Биология-(7483)Биотехнологии-(1457)Военное дело-(14632)Высокие технологии-(1363)География-(913)Геология-(1438)Государство-(451)Демография-(1065)Дом-(47672)Журналистика и СМИ-(912)Изобретательство-(14524)Иностранные языки-(4268)Информатика-(17799)Искусство-(1338)История-(13644)Компьютеры-(11121)Косметика-(55)Кулинария-(373)Культура-(8427)Лингвистика-(374)Литература-(1642)Маркетинг-(23702)Математика-(16968)Машиностроение-(1700)Медицина-(12668)Менеджмент-(24684)Механика-(15423)Науковедение-(506)Образование-(11852)Охрана труда-(3308)Педагогика-(5571)Полиграфия-(1312)Политика-(7869)Право-(5454)Приборостроение-(1369)Программирование-(2801)Производство-(97182)Промышленность-(8706)Психология-(18388)Религия-(3217)Связь-(10668)Сельское хозяйство-(299)Социология-(6455)Спорт-(42831)Строительство-(4793)Торговля-(5050)Транспорт-(2929)Туризм-(1568)Физика-(3942)Философия-(17015)Финансы-(26596)Химия-(22929)Экология-(12095)Экономика-(9961)Электроника-(8441)Электротехника-(4623)Энергетика-(12629)Юриспруденция-(1492)Ядерная техника-(1748)

Уточнение межосевого расстояния передачи




Число звеньев цепи

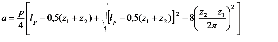
Межосевое расстояние передачи

 

Оптимальное межосевое расстояние назначается по условию обеспечения нормальной жесткости ведущей ветви передачи. Его рекомендуется назначать в пределах :

 

· при (30...50) мм;

· при ,

 

где – наружные диаметры ведущей и ведомой звездочек.

 

 

Число звеньев цепи рассчитывается в зависимости от ориентировочного, ранее назначенного межосевого расстояния передачи:

 

. (73)

 

Полученное значение округляется до ближайшего четного числа.


 

Теоретическое (расчетное) межосевое расстояние определяется в зависимости от назначенного числа звеньев:

 

. (74)

 

Цепная передача работает нормально, если ее ведомая ветвь провисает. Для оптимального провисания расчетное межосевое расстояние уменьшается на (0,2...0,4)%:

 

.

 




Поделиться с друзьями:


Дата добавления: 2015-04-24; Просмотров: 533; Нарушение авторских прав?; Мы поможем в написании вашей работы!


Нам важно ваше мнение! Был ли полезен опубликованный материал? Да | Нет



studopedia.su - Студопедия (2013 - 2026) год. Все материалы представленные на сайте исключительно с целью ознакомления читателями и не преследуют коммерческих целей или нарушение авторских прав! Последнее добавление




Генерация страницы за: 0.012 сек.