Студопедия

КАТЕГОРИИ:


Архитектура-(3434)Астрономия-(809)Биология-(7483)Биотехнологии-(1457)Военное дело-(14632)Высокие технологии-(1363)География-(913)Геология-(1438)Государство-(451)Демография-(1065)Дом-(47672)Журналистика и СМИ-(912)Изобретательство-(14524)Иностранные языки-(4268)Информатика-(17799)Искусство-(1338)История-(13644)Компьютеры-(11121)Косметика-(55)Кулинария-(373)Культура-(8427)Лингвистика-(374)Литература-(1642)Маркетинг-(23702)Математика-(16968)Машиностроение-(1700)Медицина-(12668)Менеджмент-(24684)Механика-(15423)Науковедение-(506)Образование-(11852)Охрана труда-(3308)Педагогика-(5571)Полиграфия-(1312)Политика-(7869)Право-(5454)Приборостроение-(1369)Программирование-(2801)Производство-(97182)Промышленность-(8706)Психология-(18388)Религия-(3217)Связь-(10668)Сельское хозяйство-(299)Социология-(6455)Спорт-(42831)Строительство-(4793)Торговля-(5050)Транспорт-(2929)Туризм-(1568)Физика-(3942)Философия-(17015)Финансы-(26596)Химия-(22929)Экология-(12095)Экономика-(9961)Электроника-(8441)Электротехника-(4623)Энергетика-(12629)Юриспруденция-(1492)Ядерная техника-(1748)

Числа зубьев звездочек




Геометрические параметры цепной передачи

Звездочки приводных роликовых цепей

 

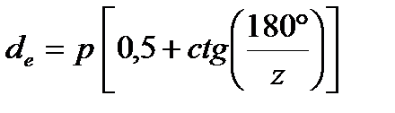
Зубья звездочек для роликовых цепей (рис. 14) профилируются по ГОСТ 591-69. Стандарт предусматривает нарезание их профилей без смещения – для реверсивных передач и со смещением – для нереверсивных передач. Оси шарниров звеньев цепи, находящиеся в зацеплении со звездочкой, располагаются на делительной окружности звездочки с диаметром

 

, (59)

 

где – число зубьев звездочки.

Диаметр окружности, ограничивающей вершины зубьев, определяется по формуле:

 

. (60)

 

Ширина зубчатого венца звездочек:

 

. (61)

а – профиль зубьев без смещения; б – профиль зубьев со смещением ; в – ширина зубчатого венца звездочки однорядной цепи;
г – ширина зубчатого венца звездочки двухрядной цепи

Рисунок 14 – Параметры венца звездочки

 

 

Минимальное число зубьев ведущей звездочки ограничивается увеличением шага цепи вследствие износа шарниров, динамическими нагрузками на цепь и шумом работающей передачи. Оно назначается в пределах числа зубьев звездочек:

 

15...17. (62)

Определять рекомендуется по формуле:

 

. (63)

 




Поделиться с друзьями:


Дата добавления: 2015-04-24; Просмотров: 800; Нарушение авторских прав?; Мы поможем в написании вашей работы!


Нам важно ваше мнение! Был ли полезен опубликованный материал? Да | Нет



studopedia.su - Студопедия (2013 - 2025) год. Все материалы представленные на сайте исключительно с целью ознакомления читателями и не преследуют коммерческих целей или нарушение авторских прав! Последнее добавление




Генерация страницы за: 0.012 сек.