Студопедия

КАТЕГОРИИ:


Архитектура-(3434)Астрономия-(809)Биология-(7483)Биотехнологии-(1457)Военное дело-(14632)Высокие технологии-(1363)География-(913)Геология-(1438)Государство-(451)Демография-(1065)Дом-(47672)Журналистика и СМИ-(912)Изобретательство-(14524)Иностранные языки-(4268)Информатика-(17799)Искусство-(1338)История-(13644)Компьютеры-(11121)Косметика-(55)Кулинария-(373)Культура-(8427)Лингвистика-(374)Литература-(1642)Маркетинг-(23702)Математика-(16968)Машиностроение-(1700)Медицина-(12668)Менеджмент-(24684)Механика-(15423)Науковедение-(506)Образование-(11852)Охрана труда-(3308)Педагогика-(5571)Полиграфия-(1312)Политика-(7869)Право-(5454)Приборостроение-(1369)Программирование-(2801)Производство-(97182)Промышленность-(8706)Психология-(18388)Религия-(3217)Связь-(10668)Сельское хозяйство-(299)Социология-(6455)Спорт-(42831)Строительство-(4793)Торговля-(5050)Транспорт-(2929)Туризм-(1568)Физика-(3942)Философия-(17015)Финансы-(26596)Химия-(22929)Экология-(12095)Экономика-(9961)Электроника-(8441)Электротехника-(4623)Энергетика-(12629)Юриспруденция-(1492)Ядерная техника-(1748)

Конструктивное решение здания




Теплотехнический расчет ограждающих конструкции наружной стены.

 

Ограждающие конструкции зданий должны обладать необходимыми теплозащитными свойствами и в определенной степени быть воздухо- и влагопроницаемыми.

Конструкция стены принимается двухслойной, состоящей из слоев: кирпича и теплоизолирующего материала.

Конструкция наружной стены показана на рисунке 1.

Исходные данные:

1. Место строительства здания- г. Великие Луки

2. Тип здания – жилой дом

3. Расчетная внутренняя температура tв +20°С

4. Температура наружного воздуха наиболее холодной пятидневки с обеспеченностью 0,92 tн -27 °С (табл.1 СНиП 23-01-99).

5. Продолжительность отопительного периода Zот пер 212 сут. (табл.1 СНиП 23-01-99).

6. Среднесуточная температура отопительного периода tот.пер. -1,9°С (табл.1 СНиП 23-01-99).

7. Зона влажности места строительства – 2 нормальная (прил.1* СНиП 23-01-99)

8. Влажностный режим помещений здания - нормальный (табл.1

СНиП23-01-99)

Подбор конструкции стены

Кладка наружных стен выполняется из керамического кирпича. В качестве утеплителя в стенах приняты минераловатные плиты. Лицевая кладка фасадов выполнена из лицевого силикатного кирпича. Кирпич оштукатурен с внутренней стороны цементно-песчаным раствором толщиной - 20 мм.

Толщина теплоизолирующего слоя из минераловатных плит, находящегося между кирпичом и лицевой кладкой, является искомой величиной и подлежит определению в ходе расчета.

Рис. 1 Наружная стена

1 слой – силикатный кирпич, толщиной 120мм

g=1800кг/м3; l = 0,88 Вт/м °С; d = 0,12м

2 слой – минераловатные плиты

g=35кг/м3; l = 0,031 Вт/м°С; d = Х м

3 слой – керамический кирпич

g=1800кг/м3; l = 0,88 Вт/м°С; d = 0,25 м

4 слой – штукатурный слой

из цементно-песчаного раствора

g=1800кг/м3; l = 0,93 Вт/м °С; d = 0,02 м

 

Расчет по комфортным условиям:

Приведенное сопротивление теплопередачи ограждающих конструкций:

Rотр мС/Вт, где:

n= 1(СНиП23-02-2003, т.6) - поправочный коэффициент, учитывающий зависимость положения ограждающей конструкции по отношению к наружному воздуху;

Δtn-=4 (СНиП 23-02-2003, т.5)-нормируемый температурный перепад между температурой внутреннего воздуха и температурой внутренней поверхности ограждающей конструкции. Приведенное сопротивление теплопередачи ограждающих конструкций, отвечающее условиям энергосбережения .

Для этого следует определить градусосутки отопительного периода по формуле СНиП 23-02-2003 при расчетной внутренней температуре tв +20°С

ГСОП = (tв-tот.пер)Zот.пер=20-(-1,9). 212= 4642,80

по т.4 СНиП 23-02-2003 для стен в граничных табличных значениях

Dd=ГСОП 4000 и 6000, методом интерполяции определяем

= Rred= 3,02м2 °С/Вт;

К расчетному принимаем наибольшее сопротивление теплопередачи = Rred= 3,02м2 °С/Вт;

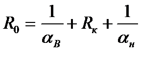
Фактическое сопротивление теплопередачи Rф0 м2°С/Вт ограждающей конструкции стены определяется по формуле

где: aв - коэффициент теплоотдачи внутренней поверхности ограждающих конструкций;

aн - коэффициент теплоотдачи (для зимних условий) наружной поверхности ограждающих конструкций (Вт / м2°С);

Rк - термическое сопротивление ограждающей конструкции м2°С/Вт,

aв = 8,7 (Вт / м2°С) по табл. 7 СНиП 23-02-2003;

aн = 23 (Вт / м2°С)

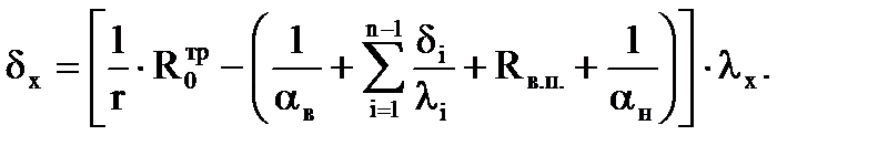
3. Толщина искомого теплоизоляционного слоя ограждения:

=[1/0,7 х 3,02 – 0,7454] х 0,031 = 0,127м

Принимаем толщину теплоизоляционной плиты из минеральной ваты 140мм.

4. Уточняем сопротивление теплопередаче ограждающей конструкции с учетом принятого размера теплоизоляционного слоя.

Приведенное сопротивление теплопередаче ограждающей конструкции определяется по СП 23-101-2004

= 5,26 х0,7 = 3,682 мС/Вт

Где r – коэффициент теплотехнической однородности

ограждающей конструкции

5. Проверка санитарно-гигиенического показателя, согласно которому расчетный температурный перепад ,°С, между температурой внутреннего воздуха и температурой внутренней поверхности ограждающей конструкции не должен превышать нормируемых величин , °С. Расчетный температурный перепад определяется по формуле

< 4 - условие выполняется.

Где n - коэффициент, учитывающий зависимость положения наружной поверхности ограждающих конструкций по отношению к наружному воздуху.

- приведенное сопротивление теплопередаче ограждающей конструкции;

- коэффициент теплоотдачи внутренней поверхности

ограждающих конструкций, Вт/(м2·°С)

tн - расчетная температура наружного воздуха в холодный период года, °С, для всех зданий, кроме производственных, предназначенных для сезонной эксплуатации, принимаемая равной средней температуре наиболее холодной пятидневки обеспеченностью 0,92.

6. Проверяем наружные ограждающие конструкции на не выпадениеконденсата на их внутренних поверхностях. Температуру внутренней поверхности , °С, однородной однослойной или многослойной ограждающей конструкции с однородными слоями следует определять по формуле

Температуру "точки росы" tрт.е. температуру, до которой нужно охладить влажный ненасыщенный воздух, чтобы он стал насыщенным при сохранении постоянного влагосодержания, определяют по СП 23-101-2004 (приложение Р). Для предотвращения конденсации влаги на внутренних поверхностях наружных ограждающих конструкций должно выполняться условие

18,54 >17,40 – условие выполняется.

 




Поделиться с друзьями:


Дата добавления: 2015-04-25; Просмотров: 363; Нарушение авторских прав?; Мы поможем в написании вашей работы!


Нам важно ваше мнение! Был ли полезен опубликованный материал? Да | Нет



studopedia.su - Студопедия (2013 - 2025) год. Все материалы представленные на сайте исключительно с целью ознакомления читателями и не преследуют коммерческих целей или нарушение авторских прав! Последнее добавление




Генерация страницы за: 0.053 сек.