Студопедия

КАТЕГОРИИ:


Архитектура-(3434)Астрономия-(809)Биология-(7483)Биотехнологии-(1457)Военное дело-(14632)Высокие технологии-(1363)География-(913)Геология-(1438)Государство-(451)Демография-(1065)Дом-(47672)Журналистика и СМИ-(912)Изобретательство-(14524)Иностранные языки-(4268)Информатика-(17799)Искусство-(1338)История-(13644)Компьютеры-(11121)Косметика-(55)Кулинария-(373)Культура-(8427)Лингвистика-(374)Литература-(1642)Маркетинг-(23702)Математика-(16968)Машиностроение-(1700)Медицина-(12668)Менеджмент-(24684)Механика-(15423)Науковедение-(506)Образование-(11852)Охрана труда-(3308)Педагогика-(5571)Полиграфия-(1312)Политика-(7869)Право-(5454)Приборостроение-(1369)Программирование-(2801)Производство-(97182)Промышленность-(8706)Психология-(18388)Религия-(3217)Связь-(10668)Сельское хозяйство-(299)Социология-(6455)Спорт-(42831)Строительство-(4793)Торговля-(5050)Транспорт-(2929)Туризм-(1568)Физика-(3942)Философия-(17015)Финансы-(26596)Химия-(22929)Экология-(12095)Экономика-(9961)Электроника-(8441)Электротехника-(4623)Энергетика-(12629)Юриспруденция-(1492)Ядерная техника-(1748)

Определение прочности материалов




Лабораторная работа № 6

Результаты вычислений

Результаты испытаний

Вид материала Номер пробы m1, кг m2, кг V, м3 rн, кг/м3 rн сред, кг/м3
             
           
             
           

 

Вывод:

РасЧет относительной плотности, пористости

и пустотности материалов

Используя средние значения результатов определения плотности и объемной массы, полученных в предыдущих экспериментах вычисляют пористость, пустотность и относительную плотность по следующим формулам:

а) относительную плотность (d, %) вычисляют по формуле (12)

 

100% (12)

 

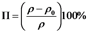
б) пористостью (П,%) называют степень заполнения объема материала порами и вычисляют по формуле (13)

 

или (13)

 

в) Пустотность (a, %) рыхлых материалов вычисляют по формуле (14)

 

(14)

 

Результаты вычислений записываются в табл. 13.

Таблица 13

Вид материала r, кг/м3 r0, кг/м3 rн, кг/м3 d, % П, % a, %
             
             
             

 

Вывод:

 

Цель работы: научится работать на гидравлическом прессе и определять прочностные свойства строительных материалов.

 




Поделиться с друзьями:


Дата добавления: 2015-03-29; Просмотров: 420; Нарушение авторских прав?; Мы поможем в написании вашей работы!


Нам важно ваше мнение! Был ли полезен опубликованный материал? Да | Нет



studopedia.su - Студопедия (2013 - 2026) год. Все материалы представленные на сайте исключительно с целью ознакомления читателями и не преследуют коммерческих целей или нарушение авторских прав! Последнее добавление




Генерация страницы за: 0.011 сек.