Студопедия

КАТЕГОРИИ:


Архитектура-(3434)Астрономия-(809)Биология-(7483)Биотехнологии-(1457)Военное дело-(14632)Высокие технологии-(1363)География-(913)Геология-(1438)Государство-(451)Демография-(1065)Дом-(47672)Журналистика и СМИ-(912)Изобретательство-(14524)Иностранные языки-(4268)Информатика-(17799)Искусство-(1338)История-(13644)Компьютеры-(11121)Косметика-(55)Кулинария-(373)Культура-(8427)Лингвистика-(374)Литература-(1642)Маркетинг-(23702)Математика-(16968)Машиностроение-(1700)Медицина-(12668)Менеджмент-(24684)Механика-(15423)Науковедение-(506)Образование-(11852)Охрана труда-(3308)Педагогика-(5571)Полиграфия-(1312)Политика-(7869)Право-(5454)Приборостроение-(1369)Программирование-(2801)Производство-(97182)Промышленность-(8706)Психология-(18388)Религия-(3217)Связь-(10668)Сельское хозяйство-(299)Социология-(6455)Спорт-(42831)Строительство-(4793)Торговля-(5050)Транспорт-(2929)Туризм-(1568)Физика-(3942)Философия-(17015)Финансы-(26596)Химия-(22929)Экология-(12095)Экономика-(9961)Электроника-(8441)Электротехника-(4623)Энергетика-(12629)Юриспруденция-(1492)Ядерная техника-(1748)

Неинвертирующий усилитель




Инвертирующий операционный усилитель

 

Рис. 4. Схема инвертирующего операционного усилителя

с резистивной обратной связью.

 

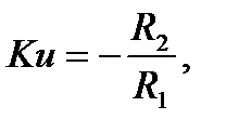
Усилитель охвачен отрицательной обработкой связью через R2 между выходом и инвертирующим входом. Допустим, что входное сопротивление усилителя велико Rвх-0, а Rвых-0, то при большом коэффициенте усилителя (К0=105) Iвх=Iвых и находятся как Iвх= и Iвых= . Коэффициент усиления по напряжению с учетом обратной связи равен (6)

где знак “-“ показывает на то, что при усилении происходит инверсия полярности входного сигнала на 1800.Если изменять соотношения R1 и R2, то можно получить требуемый коэффициент усиления.В том случае когда R1=R2, то схема будет работать в режиме повторителя.

Рис. 5. Схема неинвертирующего операционного усилителя.




Поделиться с друзьями:


Дата добавления: 2015-05-06; Просмотров: 430; Нарушение авторских прав?; Мы поможем в написании вашей работы!


Нам важно ваше мнение! Был ли полезен опубликованный материал? Да | Нет



studopedia.su - Студопедия (2013 - 2025) год. Все материалы представленные на сайте исключительно с целью ознакомления читателями и не преследуют коммерческих целей или нарушение авторских прав! Последнее добавление




Генерация страницы за: 0.011 сек.