Студопедия

КАТЕГОРИИ:


Архитектура-(3434)Астрономия-(809)Биология-(7483)Биотехнологии-(1457)Военное дело-(14632)Высокие технологии-(1363)География-(913)Геология-(1438)Государство-(451)Демография-(1065)Дом-(47672)Журналистика и СМИ-(912)Изобретательство-(14524)Иностранные языки-(4268)Информатика-(17799)Искусство-(1338)История-(13644)Компьютеры-(11121)Косметика-(55)Кулинария-(373)Культура-(8427)Лингвистика-(374)Литература-(1642)Маркетинг-(23702)Математика-(16968)Машиностроение-(1700)Медицина-(12668)Менеджмент-(24684)Механика-(15423)Науковедение-(506)Образование-(11852)Охрана труда-(3308)Педагогика-(5571)Полиграфия-(1312)Политика-(7869)Право-(5454)Приборостроение-(1369)Программирование-(2801)Производство-(97182)Промышленность-(8706)Психология-(18388)Религия-(3217)Связь-(10668)Сельское хозяйство-(299)Социология-(6455)Спорт-(42831)Строительство-(4793)Торговля-(5050)Транспорт-(2929)Туризм-(1568)Физика-(3942)Философия-(17015)Финансы-(26596)Химия-(22929)Экология-(12095)Экономика-(9961)Электроника-(8441)Электротехника-(4623)Энергетика-(12629)Юриспруденция-(1492)Ядерная техника-(1748)

Аналитическое представление электромагнитных и энергетических характеристик широтно-импульсных преобразователей




 

Регулировочные характеристики ШИП были рассмотрены выше. Энергетические и электромагнитные характеристики ШИП рассчитываются на основании анализа электромагнитных процессов.

Для симметричного способа управления при обобщенной нагрузке на коммутационных интервалах имеем:

 

Т< t<

 

где для одноплечевые схем и для мостовых схем, = 0, 1, 2, 3,........ целые числа.

Разделим все слагаемые уравнений на и обозначим , тогда эти уравнения можно представить в относительных единицах:

 

1 = ,

 

-1 = ,

 

где - относительный ток нагрузки, - относительная э.д.с. нагрузки, - постоянная времени нагрузки.

Для несимметричного и поочередного способов управления вышеприведенные уравнения запишутся в виде:

 

1 = ,

 

0 = ,

 

Среднее относительное напряжение на выходе ШИП определяется и уравнений:

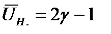
- при симметричном способе управления (двухполярном напряжении на нагрузке).

- при несимметричном управлении (однополярном напряжении на нагрузке),

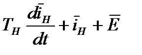
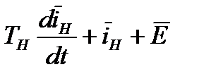
Ток нагрузки содержит среднюю составляющую и пульсирующую составляющую . Средний ток обусловлен средним значением напряжения на нагрузке и величиной эдс:

 

 

при двухполярном напряжении на выходе ШИП,

 

 

при однополярном напряжении.

Величина пульсирующей составляющей находится из решения системы уравнений, обобщенное выражение этой составляющей имеет вид:

 

 

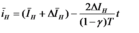
Средние и эффективные токи в нагрузке, в силовых транзисторах, диодах и в источнике питания могут быть определены по упрощенным выражениям, если принять, что мгновенный ток нагрузки изменяется по закону:

 

при nT<t<(1+n) ,

 

при (1+n) .

 

При найденных токах мощность в нагрузке, мощность, потребляемая из источника питания и потери в силовых полупроводниковых элементах ШИП, находятся по уравнениям:

 




Поделиться с друзьями:


Дата добавления: 2015-05-06; Просмотров: 945; Нарушение авторских прав?; Мы поможем в написании вашей работы!


Нам важно ваше мнение! Был ли полезен опубликованный материал? Да | Нет



studopedia.su - Студопедия (2013 - 2025) год. Все материалы представленные на сайте исключительно с целью ознакомления читателями и не преследуют коммерческих целей или нарушение авторских прав! Последнее добавление




Генерация страницы за: 0.007 сек.