Студопедия

КАТЕГОРИИ:


Архитектура-(3434)Астрономия-(809)Биология-(7483)Биотехнологии-(1457)Военное дело-(14632)Высокие технологии-(1363)География-(913)Геология-(1438)Государство-(451)Демография-(1065)Дом-(47672)Журналистика и СМИ-(912)Изобретательство-(14524)Иностранные языки-(4268)Информатика-(17799)Искусство-(1338)История-(13644)Компьютеры-(11121)Косметика-(55)Кулинария-(373)Культура-(8427)Лингвистика-(374)Литература-(1642)Маркетинг-(23702)Математика-(16968)Машиностроение-(1700)Медицина-(12668)Менеджмент-(24684)Механика-(15423)Науковедение-(506)Образование-(11852)Охрана труда-(3308)Педагогика-(5571)Полиграфия-(1312)Политика-(7869)Право-(5454)Приборостроение-(1369)Программирование-(2801)Производство-(97182)Промышленность-(8706)Психология-(18388)Религия-(3217)Связь-(10668)Сельское хозяйство-(299)Социология-(6455)Спорт-(42831)Строительство-(4793)Торговля-(5050)Транспорт-(2929)Туризм-(1568)Физика-(3942)Философия-(17015)Финансы-(26596)Химия-(22929)Экология-(12095)Экономика-(9961)Электроника-(8441)Электротехника-(4623)Энергетика-(12629)Юриспруденция-(1492)Ядерная техника-(1748)

Реверсивные ИППН




Реверсивные ИППН обеспечивают не только регулирование выходного напряжения, но и изменение его полярности. Они находят применение для регулирования частоты и направления вращения двигателей постоянного тока.Реверсивные ИППН выполняются по тиристорной мостовой схеме с нагрузкой, включенной в диагональ моста (рис.3.16.).

Рис.7.11. Реверсивний ІППН

Встречно-параллельно тиристорам подключены диоды, предназначенные для создания цепи протекания тока активно-индуктивной нагрузки при запертых тиристорах. Помимо основных элементов схема дополнена узлами принудительной коммутации (на рис.7.11., не показаны) для проведения операции запирания тиристоров. Рассматриваемые преобразователи предусматривают несколько способов управления тиристорами. Способ управления, характеризуется поочередным переключением накрест лежащих тиристоров. В течение периода работы схемы вначале проводит ток одна пара тиристоров, а затем другая. Выходное напряжение преобразователя имеет вид двуполярной кривой 7.12, где tи1 - интервал проводимости тиристоров Т1, Т2 (длительность импульса положительной полярности), tи2 - интервал проводимости тиристоров Т3, Т4 (длительность импульса отрицательной полярности).

Рис. 7.12.Временные диаграммы реверсивного ИППН.

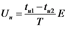
Среднее значение этого напряжения находят из соотношения

где tи1 - интервал проводимости тиристоров Т1, Т2 (длительность импульса положительной полярности), tи2 - интервал проводимости тиристоров Т3, Т4 (длительность импульса отрицательной полярности). При tи1 > tи2 выходное напряжение имеет положительную полярность (рис.7.12.), при tи2= tи1 Uн=0 и при tи1 < tи2 полярность выходного напряжения отрицательна (рис.). Наибольшее напряжение на нагрузке будем иметь, когда tи1 или tи2 равны нулю. Недостатком рассмотренного способа является то, что в приведенной схеме будут значительные пульсации выходного напряжения, что требует применения большой индуктивности сглаживающего дросселя. Пульсации уменьшаются при переходе к режиму управления тиристорами, при котором на интервале tи1 или tи2 создается нулевой уровень (пауза) напряжения на выходе. В схеме (рис.7.11.) это обеспечивается переводом тока нагрузки на одном из указанных интервалов в короткозамкнутый контур, создаваемый тиристором и диодом общей вентильной группы, например анодной.На интервале tи при формировании регулируемого выходного напряжения положительной полярности открыты тиристоры Т1, Т2. Для создания паузы tп тиристор Т1 закрывают, а тиристор Т2 остается открытым. При этом ток нагрузки переходит в короткозамкнутый контур с тиристором Т2 и диодом Д4. Образование очередного импульса в кривой выходного напряжения осуществляется отпиранием тиристора Т1. Формирование регулируемого напряжения отрицательной полярности производится за счет переключения тиристора Т3 при постоянно открытом тиристоре Т4.. На интервалах паузы ток нагрузки протекает через тиристор Т4 и диод Д2.




Поделиться с друзьями:


Дата добавления: 2015-05-06; Просмотров: 610; Нарушение авторских прав?; Мы поможем в написании вашей работы!


Нам важно ваше мнение! Был ли полезен опубликованный материал? Да | Нет



studopedia.su - Студопедия (2013 - 2026) год. Все материалы представленные на сайте исключительно с целью ознакомления читателями и не преследуют коммерческих целей или нарушение авторских прав! Последнее добавление




Генерация страницы за: 0.01 сек.