Студопедия

КАТЕГОРИИ:


Архитектура-(3434)Астрономия-(809)Биология-(7483)Биотехнологии-(1457)Военное дело-(14632)Высокие технологии-(1363)География-(913)Геология-(1438)Государство-(451)Демография-(1065)Дом-(47672)Журналистика и СМИ-(912)Изобретательство-(14524)Иностранные языки-(4268)Информатика-(17799)Искусство-(1338)История-(13644)Компьютеры-(11121)Косметика-(55)Кулинария-(373)Культура-(8427)Лингвистика-(374)Литература-(1642)Маркетинг-(23702)Математика-(16968)Машиностроение-(1700)Медицина-(12668)Менеджмент-(24684)Механика-(15423)Науковедение-(506)Образование-(11852)Охрана труда-(3308)Педагогика-(5571)Полиграфия-(1312)Политика-(7869)Право-(5454)Приборостроение-(1369)Программирование-(2801)Производство-(97182)Промышленность-(8706)Психология-(18388)Религия-(3217)Связь-(10668)Сельское хозяйство-(299)Социология-(6455)Спорт-(42831)Строительство-(4793)Торговля-(5050)Транспорт-(2929)Туризм-(1568)Физика-(3942)Философия-(17015)Финансы-(26596)Химия-(22929)Экология-(12095)Экономика-(9961)Электроника-(8441)Электротехника-(4623)Энергетика-(12629)Юриспруденция-(1492)Ядерная техника-(1748)

Электрическая цепьс соединением R-,L-,C- элементов




Электрическая цепь постоянного тока

Составным элементом цепей переменного тока является активное сопротивление – R

, индуктивность L, емкость С -

Термин «сопротивление» для цепей переменного тока недостаточно полный, т.к. сопротивление переменному току оказывают не только те элементы, в которых энергия выделяется в виде тепла (их называют активным сопротивлением), но и те элементы цепи, в которых энергия запасается в энергетических или магнитных полях. Такие элементы называют реактивными, а их сопротивление переменному току – реактивным сопротивлением. Реактивным сопротивлением обладают индуктивность и емкость.

 

Установившийся синусоидальный ток в цепи с последовательным сопротивлением

Дифференциальное уравнение цепи:

(*)

Приложенное напряжение , при этом ток тоже синусоидальный:

ð

Целесообразно принять φu = φ, чтобы φu = 0 (так как ток в цепи общий), тогда

Подставим в исходное уравнение (*):

При : возведем в квадрат и сложим:

При :

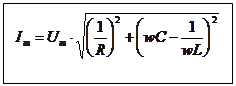
, откуда

/ :

 

 

- полное сопротивление цепи

 

 

- реактивное сопротивление

 

 

Рассмотрим случай XL>XC

 
 

 


; .

 

               
 
   
   
 
 
   
 

 


Синусоидальный ток в цепи с параллельным соединением R,L,C.

 

 

 
 

 


По первому закону Кирхгофа: i = iR+iL+iC

Согласно закону Ома:

ð

Таким образом, дифференциальное уравнение цепи с параллельным соединением имеет вид:

Примем

, так как

Подставляя в дифференциальное уравнение, получим

Рассмотрим : ,

Возведем в квадрат: (*)

При : , или ,

Возведем в квадрат: (**)

Сложив уравнения (*) и (**), получим:

, или

/ :

 

 

Введем обозначение - активная проводимость

- суммарная реактивная проводимость, при чем и

- полная проводимость

 




Поделиться с друзьями:


Дата добавления: 2015-05-06; Просмотров: 1276; Нарушение авторских прав?; Мы поможем в написании вашей работы!


Нам важно ваше мнение! Был ли полезен опубликованный материал? Да | Нет



studopedia.su - Студопедия (2013 - 2025) год. Все материалы представленные на сайте исключительно с целью ознакомления читателями и не преследуют коммерческих целей или нарушение авторских прав! Последнее добавление




Генерация страницы за: 0.007 сек.