Студопедия

КАТЕГОРИИ:


Архитектура-(3434)Астрономия-(809)Биология-(7483)Биотехнологии-(1457)Военное дело-(14632)Высокие технологии-(1363)География-(913)Геология-(1438)Государство-(451)Демография-(1065)Дом-(47672)Журналистика и СМИ-(912)Изобретательство-(14524)Иностранные языки-(4268)Информатика-(17799)Искусство-(1338)История-(13644)Компьютеры-(11121)Косметика-(55)Кулинария-(373)Культура-(8427)Лингвистика-(374)Литература-(1642)Маркетинг-(23702)Математика-(16968)Машиностроение-(1700)Медицина-(12668)Менеджмент-(24684)Механика-(15423)Науковедение-(506)Образование-(11852)Охрана труда-(3308)Педагогика-(5571)Полиграфия-(1312)Политика-(7869)Право-(5454)Приборостроение-(1369)Программирование-(2801)Производство-(97182)Промышленность-(8706)Психология-(18388)Религия-(3217)Связь-(10668)Сельское хозяйство-(299)Социология-(6455)Спорт-(42831)Строительство-(4793)Торговля-(5050)Транспорт-(2929)Туризм-(1568)Физика-(3942)Философия-(17015)Финансы-(26596)Химия-(22929)Экология-(12095)Экономика-(9961)Электроника-(8441)Электротехника-(4623)Энергетика-(12629)Юриспруденция-(1492)Ядерная техника-(1748)

Электронный цифровой вольтметр




Основным эле­ментом цифровых электронных измерительных прибо­ров является аналогово-цифровой преобразователь (АЦП). Это устройство предназначено для преобразования на­пряжения в пропорциональное ему число. На рис, 9.20 показана упрощенная структурная схема и временные диаграммы работы отдельных устройств цифрового вольтметра постоянного напряжения с время-импульс­ным АЦП.

Измеряемое напряжение UВХ подают на один из вхо­дов устройства сравнения УС. На другой вход УС подают напряжение Uгпн, формируемое генератором пилообраз­ного напряжения ГПН и изменяющееся во времени по линейному закону, т. е. Uгпн = kt, где k — коэффициент, называемый крутизной преобразования и равный скоро­сти изменения напряженияUгпн. Высокочастотный об­разцовый генератор импульсов ГИ генерирует прямо­угольные импульсы напряжения U гис частотой f ги , пода­ваемые на вход селектора.

Устройство управления УУ, на выходе которого фор­мируются отрицательные импульсы напряжения UУ, сле­дующие с частотой fy, синхронизирует совместную рабо­ту всех блоков цифрового вольтметра. В момент времени t 1импульсы управления Uy одновременно подаются на вход селектора и вход генератора пилообразного напря­жения ГПН. При этом ГПН запускается, и на его выходе напряжение U гпнначинает увеличиваться, а селектор со­единяет ГИ со счетчиком импульсов СИ. В момент време­ни t2, когда U гпн становится равным измеряемому напря­жению UBх, на выходе УС формируется положительный импульс напряжрния Uc, подаваемый на вход селектора, который отключает ГИ от СИ.

Поскольку за промежуток времени t = t2 t1напря­жение Uгпн увеличивается до значения, равного UBX, то можно записать, что Uвх=k t. Отсюда следует, что при заданной частоте fги и k = const промежуток времени t, в течение которого СИ соединен с ГИ, с одной стороны, пропорционален напряжению Uвх, т.е.

, а с другой стороны,

Где N – количество импульсов, поступающих на вход СИ за этот промежуток времени. Следовательно, кол-во импульсов N оказывается пропорциональным измеряемому напряжению, т.е.: N= = . В интервале t2….t3 сигнал в виде цифрового кода передается на цифровой индикатор. В момент времени t3 происходит сброс показаний цифрового индикатора и цикл повторяется.

 

 






 

 


 

62.

ОБЩИЕ СВОЙСТВА ДВИГАТЕЛЕЙ

ПОСТОЯННОГО ТОКА

 

 

Эксплуатационные свойства двигателей постоянного тока оценивают по их механическим и рабочим характеристикам, основными из которых являются ме­ханические характеристики..

М еханической характеристикой двигателя называют зависимость частоты вращения якоря от момента сопро­тивления (тормозного момента) на валу при постоянных напряжении сети и сопротивлении в цепи возбуждения, т. е., зависимость n = f(M) при и = const и R = const.

Под рабочими характеристиками понимают зависи­мости частоты вращения якоря n, тока I и мощности Р1 энергии, потребляемых двигателем из сети, развиваемо­гоим вращающего момента М и КПД η от механической мощности Р2 на валу при тех же условиях.

Так, для установившегося режима можно записать, что

М = смIяФ = М0 + М2,

откуда следует уравнение для тока якоря:

где - ток якоря в режиме холостого хода, а второе слагаемое – его нагрузочная составляющая.

Из данного выражения следует важный вывод:

Ток якоря в установившемся режиме зависит только от тормозного момента на валу магнитного потока двигателя.

В режиме, холостого хода ток якоря не может быть равным нулю в отличие от генерато­ра, что следует и из принципа действия двигателя.

уравнение для тока якоря в общем виде:

где - сопротивление добавочных элементов, включенных последовательно с якорем, в качестве которого могут быть использованы пусковой или регулировочный реостаты. Это может быть и сопротивление обмотки возбуждения. Тогда уравнение тока для якоря примет вид

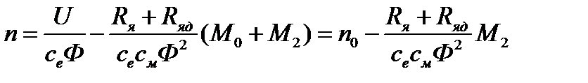
уравнение для частоты вращения двигателя в установившемся режиме работы

 

Уравнение механической характеристики:

где - частота вращения двигателя в режиме холостого хода.

Двигатели с различными способами возбуждения имеют различные характеристики.

Полезная механическая мощность двигателя также зависит от момента на валу

из приведенных уравнений следует, что при номи­нальном напряжении двигателя его характеристики в первую очередь зависят от тормозного момента на, валу и магнитного потока.

общим свойством двигателей постоянного тока явля­ется свойство саморегулирования, под которым понима­ют свойства двигателя автоматически переходить от од­ного устойчивого режима работы к другому при измене­нии тормозного момента на валу

 


 

63. асинхронныe машины

Асинхронная машина - это бесколлекторная машина nepeмeннoгo тoкa, у кoтopoй в установившемся режиме магнитное поле, участвующее в основном nроцессе nреобразоваuия энергии, и ротор вращают­ся с разными скоросmями.

Наибольшее распространение получили асинхронные двигатели, причем из всех электрических двигателей они являются самыми распространенными. Преимущества асинхронного двигателя состоят в простоте устрой­ства, изготовления и эксплуатации, а также в большой надежности и сравнительно низкой стоимости. Широкое применение находит трехфазный асинхронный двига­тель (во всех от­раслях народного хозяйства). Используют также однофазный асинхронный двигатель (в схемах автоматики, для привода электроинструмента, бытовых машин и т.п.)

Кроме асинхронных двигателей. преобразующих элек­трическую энергию переменного тока в механическую, имеются асинхронные машины, выполняющие функции преобразователя частоты, регулятора напряжения и фазорегулятора.

УСТРОЙСВО АСИНХРОННЫХ МАШИН

Основными частями асинхронной машины являются статор - неподвижная часть и ротор ~ вращающаяся, часть.

Сердечник статора является неподвижной частью магнитопровода и представляет собой полый цилиндр набранный из стальных пластин, имеющих вид кольца и изолированных друг от друга. Как и в транс­форматоре, выполнение магнитопровода из отдельных пластин уменьшает потери мощности в стали, вызывае­мые вихревыми токами. Стальной сердечник магнитопровода статора закрепляют 'в стальном или алюминиевом кopпyce, охватывающем его со всех сторон. К боковым сторонам корпуса крепят подшипниковые щиты.

При штамповке стальных пластин (рис. 12.16) на внут­ренней их стороне делают выступы. различной формы.

В результате при сборке на внутренней поверхности ци­линдра статора получаются пазы, направленные вдоль

образующей цилиндра. В пазы закладывают обмотку ста­тора, которая У трехфазного асинхронного двигателя состоит из трех фазных обмоток, смещенных в простран­стве друг 'относительно друга в общем случае на угол 1200/р, где р - Количество пар полюсов результирующего магнитного Поля. Начала и концы фазных обмоток выво­дят наружу,

На паспортной пластинке; укрепленной на корпусе, ука­зывают два номинальных линейных напряжения, различающихся в раза. Меньшее значение указанного Напряжения является Номинальным напряжением, на Которое

рассчитаны фазные обмотки статора. Способ соединения обмоток зависит от' Линейного напряжения в трехфазной сети. Если Линейное напряжение Источника питания paвно наибольшему напряжению, указанному в паспорте Машины, то обмотку его статора соединяют звездой, В ПРОТИВНОМ случае - треугольником. В некоторых слу­чаях обмотки соединены внутри двигателя и снаружи имеется только Три вывода. В этом случае на щитке Указано линейное напряжение.

Ротор асинхронного двигателя также. набирают из стальных штампованных листов.Насажен­ные на вал, они образуют ротор, имеющий форму Цилиндра. По наружному пери метру листа штампуют отвер­стия, образующие пазы pотоpa, в которые закладывают обмотку. Форма пазов может быть различной (рис. 12.4). Двигатели болыпой мощности имеют ротор с вентиляци­онными отверстиями для охлаждения.

По конструктивному исполнению обмотки ротора асин­хронные двигатели подразделяют на двигатели с коротко­замкнутым ротором и двигатели с фазным ротором. Ко­роткозамхнутая обмотка образуется медными или латун­ными неизолированными стержнями, помещаемыми в пазы ротора. Поперечное сечение этих Стержней имеет форму паза. По торцам стержни соединяют медными коротко за­мыкающими кольцами. получается обмотка, не имею­щая никаких выводов). Число фаз такой обмотки равно числу пазов, в которых она размещена. У машин малой мощности, (до 100 кВт) пазы ротора зали­вают расплавленным алюмини­ем.

Обмотку фазного ротора выполняют из изолированных проводников аналогично обмотке статора. Фазные обмотки ротора соединяют звездой, при этом их начала соединя­ют с контактными кольцами, расположенными на валуи изолированными как от вала, так и друг от друга.

Контактные кольца вращаются вместе с валом. По ним скользят неподвижные щетки, к которым подсоединены реостаты, соединенные звездой.

 


 

 

64. ПОЛУЧЕНИЕ ВРАЩАЮЩЕГОСЯ

МАГНИТНОГО ПОЛЯ.

Рассмотрим трехфазную асинхронную машину, на статоре которой расположены три одинаковые фазные обмотки, соединенные звездой.

Будем считать, что воздушный зазор между сердеч­никами статора и ротора равномерный а, магнитная проницаемость стальных участков магнитной цепи бес­конечно велика.

Если обмотки статора подключить к трехфазному симметричному источнику напряжения (к сети), то в них возникнет трехфазная симметричная система токов

 

Переменный ток в каждой обмотке создает перемен­ное магнитное поле, вектор магнитной индукции которо­го при сделанных допущениях имеет в воздушном зазоре только радиальную составляющую, прямо пропорциональную току в обмотке (ее МДС).

Магнитная индукция поля, создаваемого такой фаз­ной обмоткой, оказывается распределенной на полюсном делении по синусоидальному закону (строго говоря, близкому к синусоидальному). Максимального значения магнитная индукция достигает на оси фазной обмотки и изменяется во времени по синусоидальному закону, каки ток. Характep изме­нения магнитной индукции в пространстве и во времени может быть описан уравнением стоячей волны, т. е.

, где - пространственная ко­ордината, отсчитываемая от оси фазной обмотки. Такое магнитное поле, неподвижное в пространстве и изменяю­щееся во времени, Называют пульсирующим.

Так как в действительности токи в обмотках представляют трехфазную систему, то для опре­деления магнитной индукции результирующего поля

можно воспользоваться временными диаграммами фаз­ных токов (см. рис 12.9).

При t =0, то к IAO = 0, токи

 

В соответствии с этим магнитная индукция фазы А на её оси , а магнитные индукции на осях В и С равны:

Через промежуток времени равный 1/12 периода, т. е. при t1 = Т/12, токи в обмотках примут значения

iА1 = iС1 = +0,5Im,

iВl = -Iт.

Этим значениям токов соответ­ствуют значения магнитных индукций:

ВАт = ВСт = 0,5Вфт,

ВBт = - Вфт

 

При этом вектор магнитной индукции результирующего магнитного поля повернется в пространстве на угол, равный 1/12 части пространственного периода. В машине с двумя полюсами это соответствует углу 30о. Амплитудное значение вектора магнитной индукции при этом не изменилось.

Следовательно, за время, равное одному пери­оду, ось магнитного поля сделает один оборот (повер­нется на угол, соответствующий 2 ), а амплитуда векто­ра магнитной индукции остается неизменной и равной

Вт = 1,5ВФт.

Таким образом, результирующее магнитное поле, со­зданное тремя пульсирующими магнитными полями фаз, является вращающимся. Для получения такого магнит­ного поля необходимо, чтобы, во-первых, фазные об­мотки статора были сдвинуты в пространстве на некото­рый угол. И, Во-вторых, токи в фазных обмотках были сдвинуты по фазе на некоторый угол. При невыполнении хотя бы Одного из этих условий вращающееся магнитное поле возникать не будет. В самом общем случае

амплитудное значение магнитной индукции результирующего поля

Вт = Вфтт/2, где - число фаз об­мотки статора.. '

 


66. ОДНОФАЗНЫЙ АСИНХРОННЫЙ ДВИГАТЕЛЬ

 

Ротор однофазного двигателя выполняют, как прави­ло, с короткозамкнутой обмоткой. На статоре двигателя располагают одну фазную обмотку (рис. 12,42а), занимаю­щую. примерно 2/3 окружностей статора. Переменный ток в обмотке статора, изменяющийся во времени по синусо­идальному закону создает, пульсирующее магнитное поле, магнитная индукция ко­торого распределена в воздушном зазоре по синусоидаль­ному закону, т. е.

где а - пространственный. угол, отсчитываемый от оси фазной обмотки.

Пользуясь формулой пульсирующее магнит­ное поле, неподвижное в пространстве, можно заменить суммой двух идентичных магнитных полей, вращающихся относительно статора с одинаковой частотой

но в противоположныx направлениях:

При неподвижном Роторе Эти поля создают одинако­вые вращающие моменты, направление которых, как и в

трехфазном асинхронном двигателе, совпадает с направлением вращения магнитных полей. Так как магнитные

поля вращаются в противоположных по отношению к статору направлениях, то создаваемые ими вращающие моменты действуют на ротор также в противоположных направлениях и пусковой момент двигателя при этом оказывается равным нулю.

Допустим, что ротор под деиствием

каких-либо причин вращается. Магнит­ное поле, направление вращения которо­го совпадает с направлением вращения

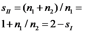
ротора, называют прямым, маГнитное поле ротивоположного направления называют обратным. Обозначим частоту вращения ротора в На­правлении прямого поля п2. Тогда сколь­жение по Отношению к прямому полю

а по отношению к обратно­му полю

 

Прямое и обратное вращающиеся магнитные поля

создают вращающие моменты

 

С учетом связи между SI и SII и того, что моменты MI и MII противоположны по направлению построены зависимости MI(SI), MII(SII) и суммарный момент M(S).

 

1. Однофазный двигатель не имеет пускового момента (при В1 = SП = 1 вращающий мо­мент М = Мп = О), и ДЛЯ тогочтобы ротор начал вращать­ся, к его валу нужно кратковременно приложить внешний момент Мвн, превышающий тормозной момент МТ на валу. В результате двигатель начнет вращаться самостоятельно в направлении приложенного внешнего момента.

2. Частота вращения даже при холостом ходе у одно­фазного асинхронного двигателя меньше, чем у трехфаз­ного, так как обратное магнитное поле создает тормоз­ной момент на валу.

3. Рабочие характеристики этого двигателя также хуже, чем у трехфазного.

4. Однофазный двигатель имеет меньшую перегру­зочную способность,

так как максимальное значение Мтах

вращающего момента меньше максимального значения момента MI

 

 

67. ТРЕХФАЗНЫЙ АСИНХРОНПЫЙ ДВИRАТЕЛЬ В ОДНОФАЗНОМ РЕЖИМЕ.

Трехфазный асинхронный двигатель может ока­заться в однофазном режиме при обрыве одного из линей­ных проводов (перегорание предохранителя, повреждение провода или нарушение контакта). Если это происходит до пуска двигателя, то обмотки статора создают пульсирую­щее, а не вращающееся,. магнитное поле, и двигатель с места не тронется, так как он по сути становится однофаз­ным и его пусковой момент равен нулю (будет слышно лишь гудение, вызванное пульсирующим магнитным по­лем). Если обрыв происходит при работе двигателя, то двигатель продолжает вращаться. При тяжелых условиях работы (при большом тормозном моменте Мt) может ока­заться, что максимальное значение вращающего момента в однофазном режиме меньше тормозного момента. В этом случае двигатель остановится, и если защитные устрой­ства его не отключат, то его обмотки cтатopa сгорят.

Трехфазный асинхронный двигатель может быть ис­пользован при питании от однофазной сети. Возможные схемы включения трехфазных асинхронных двигателей в однофазную сеть

 


 

68. СИНХРОННЫЕ МАШИНЫ.

Синхронная машина ~ это машина переменного тoкa, у кoтopoй в установившемся режиме магнит­ное поле, участвующее в основном процессе преобра­зования энергии, и ротор имеют одинаковую частоту вращения ­

На современных электростанциях электроэнергию вырабатывают синхронными генераторами, которые при­водятся во вращение. паровыми или гидравлическими тур­бинами

Применяют синхронные машины также в качестве двигателей. Синхронные двигатели имеют постоянную частоту вращения, поэтому их применяют там, где нет необходимости регулировать частоту вращения' или где она должна быть постоянной. Синхронные двигатели имеют большую мощность (от 50 кВт до десятков тысяч киловатт), а также высокий КПД.

 

Статор синхронных машин имеет такое же устрой­ство, как и статор асинхронной машины. Трехфазную обмотку, размещенную в пазах сердечника статора, вы­полняют с таким же числом полюсов, как и ротор. в син­хронных машинах обмотку статора принято называть обмоткой якоря, а сердечник статора вместе с обмот­кой - якорем. Однако статор синхронных машин име­ет и некоторые конструктивные особенности, обуслов­ленныe необходимостью его интенсивного охлаждения, так как в крупных синхронных машинах мощность по­терь энергии, преобразующейся в тепловую, очень ве­лика. Поэтому в таких крупных машинах в системах охлаждения в качестве хладагентов используют водород, трансформаторное масло и дистиллированную воду.

Ротор синхронных машин конструктивно выполня­ют либо явнополюсным (с явно выраженными полюса­ми), либо неявнополюсным (с неявно выраженными по­люсами). На роторе располагают обмотку возбужденuя. Ее подключают к источнику постоянного напряжения, называемого возбудителем. Таким образом, ротор синх­ронной машины имеет свой магнитный поток, который

определяет полярность его полюсов. В этом заключается' принципиальное конструктивное отличие ротора синхрон­ной машины от ротора асинхронной машины, поляр­ность полюсов которого всегда определяется полярностью полюсов статора.

 

Системы возбуждения. Системой возбуждения назы­вают совокупность электрических машин, аппаратов и устройств, предназначенных для питания обмотки воз­буждения синхронных машин постоянным током и регулирования этого тока (тока возбуждения), причем ток

. возбуждения Iв = Uв/Rв изменяют только изменением напряжения возбудителя Uв.

в незавuсuмой щеточной системе возбуждения в качестве возбудителя используется генератор постоянного тока, устанавливаемый на одном валу с ро­тором синхронной машины. В этом случае напряже­ние от обмотки якоря возбудителя подают через щетки на контактные кольца, расположенныe на. валу ротора, с которыми соединена обмотками возбуждения синхронной машины. Регулирование тока возбуждения в синхронной машины осуществляют изменением тока в обмотке возбуждения возбудителя, регулируя таким образом напряжение на его зажимах. Для. этого в систе­ме возбуждения установлен регулятор напряжения.

 

В щёточной системе (система с самовозбуждением) для питания используется часть энергии, вырабатываемой самим генератором.

В бесщёточной системе возбудителем в отличие от щеточ­ной системы возбуждения возбудителем является трехфазный синхронный генератор обращенно­го типа, в.котором обмотка возбуждения расположена на статоре, а обмотка якоря расположена на валу ротора синхронной машины и вращается вместе с ним.


69. СИНХРОННЫЙ ГЕНЕРАТОР. ПРИНЦИП ДЕЙСТВИЯ.

 

При вращении возбужденного ротора трехфазного синхронного генератора с частотой п в фазных обмотках статора основным магнитным потоком Фо индуцируется трехфазная симметрич­ная система ЭДС

 

 

Действующее значение ЭДС Ео в каждой фазной об­мотке статора и соответствующая комплексная ЭДС Е о соответственно равны:

(13.1)

где f= рn/60 - частота индуцированной ЭДС, w ~ чис­ло витков фазной обмотки статора, kоб - ее обмоточный коэффициент, фот - магнитный поток полюса ротора, создаваемый обмоткой возбуждения и называемый ос­новным магнитным потоком.

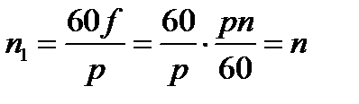
Если к выводам обмотки статора (обмотки якоря) под­ключить трехфазный. симметричный приемник электрической энергии с сопротивлением Z н (рис. 13.7), то в фазных обмотках якоря и фазах приемника возникнет трехфазная симметричная система токов IA, IB и IC, ко­торая создаст вращающееся магнитное поле якоря как и в асинхронных машинах. Число полюсов этого поля равно числу по­люсов ротора, а магнитный поток полюса статора (яко­ря) равен Фят­

Частота вращения n1 этого магнитного поля относи­тельно статора:

 

Следовательно, магнитное поле, создаваемое обмоткой якоря; вращается относительно статора с частотой, равной частоте вращения ротора, т. е. синхронно с ним. Поэтому результирующий магнитный поток Ф равен,сумме основного потока и по­тока якоря т = Ф От + Ф ят) И вращается также с синхронной скоростью. Этот Поток, как и основной, непод­вижен относительно ротора.


 

 




Поделиться с друзьями:


Дата добавления: 2015-05-06; Просмотров: 646; Нарушение авторских прав?; Мы поможем в написании вашей работы!


Нам важно ваше мнение! Был ли полезен опубликованный материал? Да | Нет



studopedia.su - Студопедия (2013 - 2026) год. Все материалы представленные на сайте исключительно с целью ознакомления читателями и не преследуют коммерческих целей или нарушение авторских прав! Последнее добавление




Генерация страницы за: 0.008 сек.