Студопедия

КАТЕГОРИИ:


Архитектура-(3434)Астрономия-(809)Биология-(7483)Биотехнологии-(1457)Военное дело-(14632)Высокие технологии-(1363)География-(913)Геология-(1438)Государство-(451)Демография-(1065)Дом-(47672)Журналистика и СМИ-(912)Изобретательство-(14524)Иностранные языки-(4268)Информатика-(17799)Искусство-(1338)История-(13644)Компьютеры-(11121)Косметика-(55)Кулинария-(373)Культура-(8427)Лингвистика-(374)Литература-(1642)Маркетинг-(23702)Математика-(16968)Машиностроение-(1700)Медицина-(12668)Менеджмент-(24684)Механика-(15423)Науковедение-(506)Образование-(11852)Охрана труда-(3308)Педагогика-(5571)Полиграфия-(1312)Политика-(7869)Право-(5454)Приборостроение-(1369)Программирование-(2801)Производство-(97182)Промышленность-(8706)Психология-(18388)Религия-(3217)Связь-(10668)Сельское хозяйство-(299)Социология-(6455)Спорт-(42831)Строительство-(4793)Торговля-(5050)Транспорт-(2929)Туризм-(1568)Физика-(3942)Философия-(17015)Финансы-(26596)Химия-(22929)Экология-(12095)Экономика-(9961)Электроника-(8441)Электротехника-(4623)Энергетика-(12629)Юриспруденция-(1492)Ядерная техника-(1748)

Источники электронов. Электронно-лучевые трубки




Электрон — стабильная, отрицательно заряженная элементарная частица, одна из основных структурных единиц вещества

Источниками электронов с более высокой энергией служат ускорители.

Источники электронов или инжекторы электронов называют также электронными пушками, в основе их действия лежит эмиссия электронов с поверхности вещества в результате различных процессов. В твердом теле энергетические уровни отдельных электронов размываются в зоны разрешенных состояний, отделенных друг от друга запрещенной зоной. В диэлектриках ширина запрещенной зоны такова, что электроны не могут переходить из заполненной зоны в зону проводимости. В полупроводниках ширина запрещенной зоны сравнительно мала и электроны, получая энергию извне, могут переходить из заполненной зоны в зону проводимости. В металлах (проводниках) заполненная зона и зона проводимости перекрываются и электроны могут рассматриваться как свободные. Энергетическое распределение электронов в металлах и полупроводниках описывается статистикой Ферми-Дирака

 

Электронно-лучевая трубка представляет собой электронно-лучевой прибор для осциллографии, приёма телевизионных изображений, электронно-лучевых коммуникаторов и ряда других областей техники. Во всех этих приборах создается тонкий пучок электронов (электронный луч), управляемый с помощью электрических или магнитных полей. Существует большое разнообразие электронно-лучевых трубок. Они могут быть с фокусировкой электронного луча электрическим или магнитным полем и с электрическим или магнитным отклонением луча; электронно-лучевые трубки бывают с различными цветами изображения на люминесцирующем экране; с различной длительностью свечения экрана (так называемое послесвечение). Они различаются также по размерам экрана, материалом баллона и другим признакам.

На рис. изображена в несколько упрощённом виде электронно-лучевая трубка. Слева расположен источник электронов — «электронная пушка». Она состоит из небольшого катода, скрытого внутри металлического цилиндра с отверстием, и короткой металлической трубки — анода. Анод, как всегда, заряжен положительно. В отличие от анода радиолампы этот анод не улавливает электронов, а только ускоряет их. Через отверстие анода электроны выходят очень тонким пучком в виде электронного луча.

Электронный луч падает на дно трубки — экран, покрытый светящимся составом. На экране, в том месте, куда попадает электронный луч, получается светлое пятнышко. Путь электронного луча проходит между двумя парами металлических пластин. Если пластины заряжены, то на пути луча возникает электрическое поле, и значит, луч должен

Рис. 21. Электронно-лучевая трубка.

изменить своё направление — он отклонится в сторону положительно заряженной пластинки. Представим себе, что в горизонтальной паре пластин верхняя пластина заряжена положительно, а нижняя — отрицательно. Тогда луч искривится и пятно окажется в верхней части экрана. Будем быстро менять знак зарядов этой пары пластин. Тогда пятно будет быстро бегать вверх и вниз по экрану, и мы увидим вертикальную светлую черту. Точно так же, быстро меняя знаки зарядов вертикальной пары пластин, можно получить горизонтальную светлую черту

 

7) Однофазные выпрямители. Схемы и принцип действия. Коэффициент пульсаций. Эффективность выпрямления.

 

Однофазные выпрямители. Схемы, принцип действия, параметры и характеристики

Для выпрямления однофазного переменного напряжения применяют три схемы:

1) однополупериодная;

2) двухполупериодная мостовая;

3) двухполупериодная трансформаторная (с выводом средней точки).

Однополупериодная схема - в которой ток проходит через вентиль только в течение одного полупериода переменного напряжения источника.

Двухполупериодные схемы - в которых ток проходит через вентильную группу в течение двух полупериодов переменного напряжения источника.

Рассмотрим соотношения параметров в выпрямителях при следующих допущениях:

1) Индуктивное сопротивление рассеяния трансформатора и активное сопротивление его обмоток равны нулю;

2) Сопротивление вентиля в прямом направлении равно нулю, а в обратном равно бесконечности.

Однополупериодный однофазный выпрямитель

Временные диаграммы напряжений и токов:

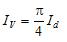
Определим постоянную составляющую выпрямленного тока:

 

.

Так как , то

.

Но так как , т.е. , то

или

.

Постоянная составляющая напряжения, выраженная через максимальное значение:

.

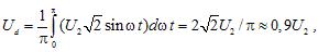
Постоянная составляющая напряжения, выраженная через действующее значение:

 

Таким образом, в данной схеме максимальное напряжение на диоде

,

т.е. напряжение на диоде в три раза больше, чем на нагрузке.

Среднее значение тока диода в этой схеме .

Величину пульсаций выпрямленного напряжения характеризуют коэффициентом пульсаций

,

где U1m – амплитуда переменной составляющей напряжения, изменяющегося с частотой повторения импульсов, т.е. амплитуда первой гармоники.

Для однополупериодной схемы

, а .

Недостатки схемы:

1) большое значение коэффициента пульсаций ;

2) напряжение на нагрузке почти в 3 раза меньше, чем на диоде;

3) постоянная составляющая выпрямленного тока значительно меньше тока во вторичной обмотке трансформатора, что приводит к его недостаточному использованию по току.

 

В однофазной мостовой схеме к одной из диагоналей моста подключается источник переменного напряжения (вторичная обмотка трансформатора), а к другой – нагрузка.

В мостовой схеме диоды работают попарно: в течение одной половины периода сетевого напряжения ток протекает от вторичной обмотки трансформатора по цепи VD1, RН, VD2, а на втором полупериоде – по цепи VD3, RН, VD4, причем в каждом полупериоде через нагрузку ток проходит в одном направлении, что и обеспечивает выпрямление. Коммутация диодов происходит в моменты перехода переменного напряжения через нуль.

Рис.1. Однофазная мостовая схема выпрямления

Временные диаграммы для мостовой схемы, изображённы на рисунке 2.

У мостовой схемы в каждом полупериоде ток проходит одновременно через два диода (например, VD1, VD2), потому временные зависимости токов и напряжений будут принадлежать парам вентилей. Среднее значение напряжения на выходе выпрямителя

где U2 ─ действующее значение переменного напряжения на входе выпрямителя.

Рис. 2. Временные диаграммы работы однофазной мостовой схемы выпрямления: u2 – кривая входного переменного напряжения; iV1, iV2 – кривая тока диодов VD1 и VD2; uV1, uV2 – напряжение на диодах VD1 и VD2; iV3, iV4 – кривая тока диодов VD3 и VD4; uV3, uV4 – напряжение на диодах VD3 и VD4; iн – кривая тока нагрузки; uн – кривая напряжения на нагрузке

Действующее значение напряжения на входе выпрямителя

Среднее значение тока через диод в два раза меньше среднего значения тока нагрузки Id:

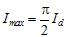
Максимальное значение тока, протекающего через диод

Действующее значение тока диода

Действующее значение переменного тока на входе выпрямителя

Максимальное обратное напряжение на диоде в непроводящую часть периода

Напряжение на нагрузке состоит из полусинусоид вторичного напряжения трансформатора, следующих одна за другой. После разложения в ряд Фурье напряжение такой формы можно представить в виде

Амплитуда основной гармоники выпрямленного напряжения с частотой 2ω

следовательно, коэффициент пульсации выпрямленного напряжения

Коэффициент трансформации трансформатора

Мощность первичной и вторичной обмоток вентильного трансформатора

Расчетная мощность трансформатора

В качестве недостатков однофазной мостовой схемы можно отметить: большее количество диодов и протекание тока в каждом полупериоде по двум диодам одновременно. Последнее свойство однофазных мостовых выпрямителей снижает их КПД из-за повышенного падения напряжения на полупроводниковых структурах вентилей. Это особенно заметно у низковольтных выпрямителей, работающих с большими токами.

Несмотря на отмеченные недостатки, мостовая схема выпрямления широко применяется на практике в однофазных выпрямителях различной мощности.

Двухполупериодный выпрямитель со средней точкой. В нем вторичная обмотка состоит из двух половин и имеет отвод от середины. Эту схему можно рассматривать как сочетание двух однополупериодных выпрямителей, включенных на одну нагрузку. Коэффициент пульсаций р=0,67.

Достоинства двухполупериодного выпрямителя:

· отсутствие подмагничивания трансформатора;

· более высокий КПД;

· меньший коэффициент пульсаций выпрямленного напряжения по сравнению с однополупериодным выпрямителем;

· вдвое большая частота пульсаций выпрямленного напряжения, чем в однополупериодной схеме, что облегчает их сглаживание.

Основной недостаток — необходимость второй обмотки, причем обе обмотки работают поочередно и используются примерно на 50%.

Средние значения выпрямленного напряжения и коэффициента пульсаций те же, что и в предыдущей схеме, т.е.

;

Недостатком данной схемы является необходимость наличия трансформатора с выводом средней точки.

 

 




Поделиться с друзьями:


Дата добавления: 2015-05-06; Просмотров: 1411; Нарушение авторских прав?; Мы поможем в написании вашей работы!


Нам важно ваше мнение! Был ли полезен опубликованный материал? Да | Нет



studopedia.su - Студопедия (2013 - 2026) год. Все материалы представленные на сайте исключительно с целью ознакомления читателями и не преследуют коммерческих целей или нарушение авторских прав! Последнее добавление




Генерация страницы за: 0.014 сек.