Студопедия

КАТЕГОРИИ:


Архитектура-(3434)Астрономия-(809)Биология-(7483)Биотехнологии-(1457)Военное дело-(14632)Высокие технологии-(1363)География-(913)Геология-(1438)Государство-(451)Демография-(1065)Дом-(47672)Журналистика и СМИ-(912)Изобретательство-(14524)Иностранные языки-(4268)Информатика-(17799)Искусство-(1338)История-(13644)Компьютеры-(11121)Косметика-(55)Кулинария-(373)Культура-(8427)Лингвистика-(374)Литература-(1642)Маркетинг-(23702)Математика-(16968)Машиностроение-(1700)Медицина-(12668)Менеджмент-(24684)Механика-(15423)Науковедение-(506)Образование-(11852)Охрана труда-(3308)Педагогика-(5571)Полиграфия-(1312)Политика-(7869)Право-(5454)Приборостроение-(1369)Программирование-(2801)Производство-(97182)Промышленность-(8706)Психология-(18388)Религия-(3217)Связь-(10668)Сельское хозяйство-(299)Социология-(6455)Спорт-(42831)Строительство-(4793)Торговля-(5050)Транспорт-(2929)Туризм-(1568)Физика-(3942)Философия-(17015)Финансы-(26596)Химия-(22929)Экология-(12095)Экономика-(9961)Электроника-(8441)Электротехника-(4623)Энергетика-(12629)Юриспруденция-(1492)Ядерная техника-(1748)

Биполярный транзистор 2Т874Б




Барьерная и диффузионная емкости диода

Барьерная емкость соответствует обратновключенному p-n-переходу, который рассматривается как обычный конденсатор, где пластинами являются границы обедненного слоя, а сам обедненный слой служит несовершенным диэлектриком с увеличенными диэлектрическими потерями

где – относительная диэлектрическая проницаемость; – электрическая постоянная; – площадь запирающего слоя; – толщина запирающего слоя.

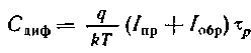
Диффузионная емкость характеризует накопление подвижных носителей заряда в n- и p-областях при прямом напряжении на переходе.

Емкость представляет собой отношение зарядов к разности потенциалов:

, иначе

, где τр - время жизни электронов, проникнувших в p-область (или дырок в n-область)

Биполярный транзистор — трёхэлектродный полупроводниковый прибор. Электроды подключены к трём последовательно расположенным слоям полупроводника с чередующимся типом примесной проводимости. По этому способу чередования различают npn и pnp транзисторы (n (negative) — электронный тип примесной проводимости, p (positive) — дырочный). В биполярном транзистор используются заряды одновременно двух типов, носителями которых являются электроны и дырки (от слова «би» — «два»).




Поделиться с друзьями:


Дата добавления: 2015-05-06; Просмотров: 348; Нарушение авторских прав?; Мы поможем в написании вашей работы!


Нам важно ваше мнение! Был ли полезен опубликованный материал? Да | Нет



studopedia.su - Студопедия (2013 - 2025) год. Все материалы представленные на сайте исключительно с целью ознакомления читателями и не преследуют коммерческих целей или нарушение авторских прав! Последнее добавление




Генерация страницы за: 0.011 сек.