Студопедия

КАТЕГОРИИ:


Архитектура-(3434)Астрономия-(809)Биология-(7483)Биотехнологии-(1457)Военное дело-(14632)Высокие технологии-(1363)География-(913)Геология-(1438)Государство-(451)Демография-(1065)Дом-(47672)Журналистика и СМИ-(912)Изобретательство-(14524)Иностранные языки-(4268)Информатика-(17799)Искусство-(1338)История-(13644)Компьютеры-(11121)Косметика-(55)Кулинария-(373)Культура-(8427)Лингвистика-(374)Литература-(1642)Маркетинг-(23702)Математика-(16968)Машиностроение-(1700)Медицина-(12668)Менеджмент-(24684)Механика-(15423)Науковедение-(506)Образование-(11852)Охрана труда-(3308)Педагогика-(5571)Полиграфия-(1312)Политика-(7869)Право-(5454)Приборостроение-(1369)Программирование-(2801)Производство-(97182)Промышленность-(8706)Психология-(18388)Религия-(3217)Связь-(10668)Сельское хозяйство-(299)Социология-(6455)Спорт-(42831)Строительство-(4793)Торговля-(5050)Транспорт-(2929)Туризм-(1568)Физика-(3942)Философия-(17015)Финансы-(26596)Химия-(22929)Экология-(12095)Экономика-(9961)Электроника-(8441)Электротехника-(4623)Энергетика-(12629)Юриспруденция-(1492)Ядерная техника-(1748)

Операционные усилители




Эмиттерный повторитель

На рис. 104 приведена электронная схема эмиттерного повторителя.

Рис. 104. Электронная схема эмиттерного повторителя

Выход усилителя - коллектор - по переменной со­ставляющей напряжения соединен с входом (с общим за­землением), так как внутренним сопротивлением источни­ка питания Ек из-за его малости можно пренебречь.

В указанном усилителе нагрузочный резистор с которого снимается выходное напряжение, включен в эмиттерную цепь.

В приведенной на рис.104 схеме так же, как и в усилителе с общим эмиттером, используется транзистор типа р-п-р, источник питания Ек, резисторы делителя на­пряжения питания базы Rl, R2, разделительные конденса­торы С1, C2.

Коэффициент усиления мощности сигнала опре­деляется только усилением тока. Выходное напряжение совпадает по фазе с входным и по величине Uвых ≈ Uвх, поэтому указанную схему и называют эмиттерным повто­рителем.

Эмиттерный повторитель имеет большое входное и малое выходное сопротивления, поэтому его применяют для согласования высокоомного источника усиливаемого сигнала с низкоомным нагрузочным устройством.

 

Операционным называют усилитель постоянного тока, имеющий большой коэффициент усиления и предна­значенный для выполнения различных операций над ана­логовыми величинами. Операционный усилитель (ОУ) имеет дифференциальный вход (два входных ввода) и один общий выход. На рис. 105 приведено обозначение опера­ционного усилителя на схемах.

Рис. 105. Обозначение ОУ на схемах

Идеальный ОУ имеет коэффициент усиления по напряжению Ки → ∞, большое входное сопротивление Rвх → ∞, малое выходное сопротивление Rвых → 0,усиливает широкий спектр частот вплоть до постоянной составляющей. Дрейф нуля операционного усилителя мал.

Использование двух источников питания (рис. 105) позволяет подавать на вход ОУ как положительные, так и отрицательные сигналы. Вход 1 ОУ называют инверти­рующим и обозначают знаком минус или кружком; вход 2 называют неинвертирующим и обозначают знаком плюс или употребляют без знака.

В области низких частот выходное напряжение Uвых ОУ находится в той же фазе, что и разность входных напряжений

Uвх = Uвх2 –Uвх1.

Зависимость Uвых ОУ от Uвх представлена на рис. 106. Она практически линейна в диапазоне Uвx min < Uвx < Uвx max. Этот диапазон называется областью усиления. Вне диапазона усиления находится диапазон на­сыщения.

Рис. 106. Передаточная характеристика ОУ

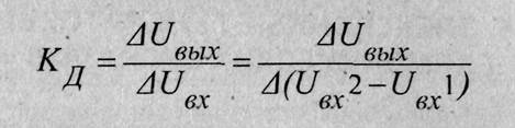
Дифференциальный коэффициент усиления ОУ оп­ределяется соотношением

при Uвх1 = const и Uвх2 = const, соответственно.

Непосредственно в качестве усилителя ОУ без об­ратной связи не используют, что обусловлено двумя при­чинами: линейный участок передаточной характеристики ограничен малыми входными напряжениями, коэффициент усиления по напряжению Кu нестабилен.

Наибольшее практическое применение имеют ин­вертирующие ОУ с параллельной отрицательной обрат­ной связью (ООС) по напряжению (рис. 107). Для такой схемы при чисто активных сопротивлениях Z1=R1 и Z2=R2 коэффициент усиления усилителя определяется по формуле Кос = -R2/R1.

Рис. 107. Инвертирующий усилитель на ОУ с параллельной ООС

На базе таких ОУ создаются схемы, предназначен­ные для выполнения различных математических операций над входными сигналами. Такие схемы находят широкое применение в устройствах автоматического управления, они составляют основу аналоговых вычислительных машин.

 




Поделиться с друзьями:


Дата добавления: 2015-05-06; Просмотров: 1839; Нарушение авторских прав?; Мы поможем в написании вашей работы!


Нам важно ваше мнение! Был ли полезен опубликованный материал? Да | Нет



studopedia.su - Студопедия (2013 - 2025) год. Все материалы представленные на сайте исключительно с целью ознакомления читателями и не преследуют коммерческих целей или нарушение авторских прав! Последнее добавление




Генерация страницы за: 0.006 сек.