Студопедия

КАТЕГОРИИ:


Архитектура-(3434)Астрономия-(809)Биология-(7483)Биотехнологии-(1457)Военное дело-(14632)Высокие технологии-(1363)География-(913)Геология-(1438)Государство-(451)Демография-(1065)Дом-(47672)Журналистика и СМИ-(912)Изобретательство-(14524)Иностранные языки-(4268)Информатика-(17799)Искусство-(1338)История-(13644)Компьютеры-(11121)Косметика-(55)Кулинария-(373)Культура-(8427)Лингвистика-(374)Литература-(1642)Маркетинг-(23702)Математика-(16968)Машиностроение-(1700)Медицина-(12668)Менеджмент-(24684)Механика-(15423)Науковедение-(506)Образование-(11852)Охрана труда-(3308)Педагогика-(5571)Полиграфия-(1312)Политика-(7869)Право-(5454)Приборостроение-(1369)Программирование-(2801)Производство-(97182)Промышленность-(8706)Психология-(18388)Религия-(3217)Связь-(10668)Сельское хозяйство-(299)Социология-(6455)Спорт-(42831)Строительство-(4793)Торговля-(5050)Транспорт-(2929)Туризм-(1568)Физика-(3942)Философия-(17015)Финансы-(26596)Химия-(22929)Экология-(12095)Экономика-(9961)Электроника-(8441)Электротехника-(4623)Энергетика-(12629)Юриспруденция-(1492)Ядерная техника-(1748)

Работа процессов цикла Карно




Теорема Карно

Из всех периодически действующих тепловых машин, имеющих одинаковые температуры нагревателей T1 и холодильников T2, наибольшим КПД обладают обратимые машины. При этом КПД обратимых машин, работающих при одинаковых температурах нагревателей и холодильников, равны друг другу и не зависят от природы рабочего тела, а определяются только температурами нагревателя и холодильника.

Наиболее экономичный обратимый процесс, состоящий из двух изотерм и двух адиабат – цикл Карно.

Рассмотрим прямой цикл Карно, в котором в качестве рабочего тела используется идеальный газ, заключенный в сосуд с подвижным поршнем. Последовательные термодинамические процессы в цикле Карно: 1 – изотерма – 2 – адиабата – 3– изотерма – 4 – адиабата – 1.
Процесс Работа
Изотермическое расширение 1 – 2 T = const; V2>V1
Адиабатическое расширение 2 – 3 dQ = 0; T2<T1
Изотермическое сжатие 3 – 4 T = const; V4<V3
Адиабатическое сжатие 4 – 1 dQ = 0; T1>T2

Работа, совершаемая в результате кругового процесса:

Для адиабат 2 – 3 и 4 – 1 уравнения Пуассона:

Откуда

Получим термический КПД цикла Карно:

Последнее выражение можно вывести и другим способом:

Совершив цикл, система возвращается в исходное состояние, поэтому полное изменение энтропии за цикл DS=0. С другой стороны, полное изменение энтропии DS складывается из изменения энтропии в каждом отдельном процессе:

DS = DS12 + DS23 + DS34 + DS41.

При адиабатических процессах BC и DA, происходящих без теплообмена, DS23=0 и DS41=0. При изотермическом процессе, как было показано выше, , поэтому (рабочее тело получает тепло Q1 от нагревателя), (DS34<0, т.к. рабочее тело отдает тепло Q2 холодильнику).

Тогда ,

откуда .

 

Выражение для коэффициента полезного действия тепловой машины с учетом последнего выражения можно представить в виде

.

Таким образом, коэффициент полезного действия всех тепловых машин, работающих по обратимому циклу Карно, не зависит от вида рабочего тела, а определяется температурами нагревателя Т1 и холодильника Т2. Это утверждение носит название теоремы Карно.

Рассмотрим теперь необратимый цикл Карно. при любом необратимом процессе . Следовательно, при необратимых изотермических процессах AB и CD

и .

Перепишем DS12 и DS34 в виде:

, ,

где a12 > 0 и a34 > 0.

При необратимых адиабатических процессах 2-3и 4-1изменение энтропии DS23 и DS41 представим как DS23=a23>0 и DS41=a41> 0.

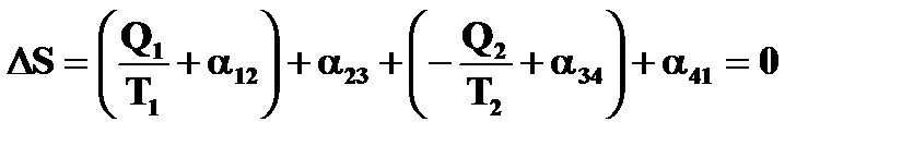
Полное изменение энтропии за цикл, в результате которого рабочее тело вернулось в исходное состояние, должно быть равно нулю, т.е.

.

Отсюда .

следовательно, ,

и < .

Коэффициент полученного действия необратимой машины всегда меньше, чем обратимой, работающей в тех же условиях.

В общем случае

.

Знак «=» относится к обратимому, знак «<» — к необратимому циклу карно.




Поделиться с друзьями:


Дата добавления: 2015-05-06; Просмотров: 1081; Нарушение авторских прав?; Мы поможем в написании вашей работы!


Нам важно ваше мнение! Был ли полезен опубликованный материал? Да | Нет



studopedia.su - Студопедия (2013 - 2025) год. Все материалы представленные на сайте исключительно с целью ознакомления читателями и не преследуют коммерческих целей или нарушение авторских прав! Последнее добавление




Генерация страницы за: 0.009 сек.