Студопедия

КАТЕГОРИИ:


Архитектура-(3434)Астрономия-(809)Биология-(7483)Биотехнологии-(1457)Военное дело-(14632)Высокие технологии-(1363)География-(913)Геология-(1438)Государство-(451)Демография-(1065)Дом-(47672)Журналистика и СМИ-(912)Изобретательство-(14524)Иностранные языки-(4268)Информатика-(17799)Искусство-(1338)История-(13644)Компьютеры-(11121)Косметика-(55)Кулинария-(373)Культура-(8427)Лингвистика-(374)Литература-(1642)Маркетинг-(23702)Математика-(16968)Машиностроение-(1700)Медицина-(12668)Менеджмент-(24684)Механика-(15423)Науковедение-(506)Образование-(11852)Охрана труда-(3308)Педагогика-(5571)Полиграфия-(1312)Политика-(7869)Право-(5454)Приборостроение-(1369)Программирование-(2801)Производство-(97182)Промышленность-(8706)Психология-(18388)Религия-(3217)Связь-(10668)Сельское хозяйство-(299)Социология-(6455)Спорт-(42831)Строительство-(4793)Торговля-(5050)Транспорт-(2929)Туризм-(1568)Физика-(3942)Философия-(17015)Финансы-(26596)Химия-(22929)Экология-(12095)Экономика-(9961)Электроника-(8441)Электротехника-(4623)Энергетика-(12629)Юриспруденция-(1492)Ядерная техника-(1748)

Инвестирование в ценные бумаги




Инвестирование в ценные бумаги преследует те же цели, что и вложение средств в любые другие активы. Важнейшей из этих целей явля­ется обеспечение стабильного дохода. Вложения в акции для получе­ния дохода сопровождаются рядом математических расчетов, циф­ровые данные для которых инвесторы выбирают по собственному усмотрению, исходя, как правило, из ожидаемых или предполагае­мых событий.

Исходной формулой при подсчете дивидендного дохода от вло­жений в акции является формула сложных процентов:

V=C(1+i)n

где V - величина богатства, владельцем которого хочет стать ин­вестор;

С - капитал, который он хочет инвестировать с целью получе­ния богатства;

i— норма доходности на вложенный капитал, предполагаем

инвестором;

n — срок инвестирования, выраженный в единицах измерены

времени, каждая из которых соответствует периоду начисления

дохода.

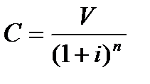
Можно вывести и обратную формулу:

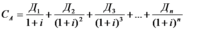
экономический смысл которой заключается в следующем: инвестор станет вла­дельцем богатства (V) в заранее установленном размере через какой-то промежуток времени (n) при условии начисления дохода в едини­цу времени по установленной ставке (i). На основе этой формулы выводится производная формула, дающая возможность исчислить уже упоминавшуюся «действительную» стоимость акции:

где СA — сегодняшняя действительная стоимость акции;

Д — ожидаемые в будущем дивиденды по акциям (в руб.);

i- требуемый уровень прибыльности (ТУП) в долях едини­цы.

ТУП представляет собой минимальную ожидаемую прибыльность на вложенный в бумагу капитал, при которой инвестор еще рассмат­ривает возможность вложения средств в эти бумаги. При низком уров­не он отказывается от вложений, поскольку имеет альтернативный вариант с такой же гарантией получения дохода, но с более высоким его уровнем. Этот показатель рассчитывается следующим образом:

ТУП = БУ+ПР,

где БУ —безопасный уровень прибыльности, соответствующий, например, уровню процента по государственным обли­гациям, которые считаются самыми устойчивыми ин­струментами фондового рынка; ПР — плата за риск. В свою очередь:

БУ=РД + ИК,

где РД — реальная доходность;

ИК — инфляционная компенсация (уровень инфляции в процентах).

Плата за риск (ПР) рассчитывается по формуле: ПР = β (РУ- БУ),

РУ - общерыночный средний уровень прибыльности;

β - коэффициент (меняющийся от 0,5 до 1,5), характеризу­ющий на основе статистических данных тесноту связи между прибыльностью, ценой данной бумаги и общим состоянием рынка ценных бумаг.

Этот коэффициент называют также показателем систематиче­ского риска какой-либо акции, который связан с вероятностью собы­тий, влияющих на фондовый рынок в целом. Он не может быть уст­ранен путем диверсификации портфеля ценных бумаг, т.е. путем рас­ширения числа видов ценных бумаг, входящих в портфель, с целью снижения риска потери капитала от падения рыночной стоимости каждого из этих видов бумаг. Принято считать, что показатель систе­матического риска для «средней» акции, изменение доходов по кото­рой совпадает с изменениями на рынке ценных бумаг в целом, изме­ряемом каким-либо фондовым индексом, равен единице. Расчетом показателей рисков занимаются специальные компании. Если пока­затель Р по какой-либо акции составляет 1,25, то это означает, что рискованность вложений в эту бумагу на 25% выше рискованности фондового рынка в целом. Если он равен 0,9, то рискованность вло­жений на 10% ниже.

В случае, когда дивиденды и сроки их поступления непредсказу­емы, может быть использована упрощенная формула определения «действительной» стоимости акции:

где Д — желаемый постоянный доход;

К - требуемый уровень доходности.

Другой важный принцип инвестирования в облигации - обеспечение необходимой доходности. Если облигация куплена по цене, равной номиналу, то доходность совпадает с купонной ставкой

 





Поделиться с друзьями:


Дата добавления: 2015-03-31; Просмотров: 427; Нарушение авторских прав?; Мы поможем в написании вашей работы!


Нам важно ваше мнение! Был ли полезен опубликованный материал? Да | Нет



studopedia.su - Студопедия (2013 - 2026) год. Все материалы представленные на сайте исключительно с целью ознакомления читателями и не преследуют коммерческих целей или нарушение авторских прав! Последнее добавление




Генерация страницы за: 0.122 сек.