Студопедия

КАТЕГОРИИ:


Архитектура-(3434)Астрономия-(809)Биология-(7483)Биотехнологии-(1457)Военное дело-(14632)Высокие технологии-(1363)География-(913)Геология-(1438)Государство-(451)Демография-(1065)Дом-(47672)Журналистика и СМИ-(912)Изобретательство-(14524)Иностранные языки-(4268)Информатика-(17799)Искусство-(1338)История-(13644)Компьютеры-(11121)Косметика-(55)Кулинария-(373)Культура-(8427)Лингвистика-(374)Литература-(1642)Маркетинг-(23702)Математика-(16968)Машиностроение-(1700)Медицина-(12668)Менеджмент-(24684)Механика-(15423)Науковедение-(506)Образование-(11852)Охрана труда-(3308)Педагогика-(5571)Полиграфия-(1312)Политика-(7869)Право-(5454)Приборостроение-(1369)Программирование-(2801)Производство-(97182)Промышленность-(8706)Психология-(18388)Религия-(3217)Связь-(10668)Сельское хозяйство-(299)Социология-(6455)Спорт-(42831)Строительство-(4793)Торговля-(5050)Транспорт-(2929)Туризм-(1568)Физика-(3942)Философия-(17015)Финансы-(26596)Химия-(22929)Экология-(12095)Экономика-(9961)Электроника-(8441)Электротехника-(4623)Энергетика-(12629)Юриспруденция-(1492)Ядерная техника-(1748)

Вопрос № 25. Рассмотрим движущийся с постоянной скоростью точечный положительный электрический заряд Q




 

Рассмотрим движущийся с постоянной скоростью точечный положительный электрический заряд Q.

В окружающем пространстве электрическое поле меняется как по величине, так и по направлению. На изменение электрического состояния физический вакуум "реагирует" "противоположным" состоянием - магнитным. Можно ожидать, во-первых, что интенсивность такой реакции прямопропорциональна интенсивности, скорости изменения вектора электрического поля по величине и направлению и, во-вторых, что возмущение "потревоженной" среды расходится как круги на воде от гребка веслом, т. е. представляет из себя некое вихревое поле с замкнутыми силовыми линиями.

Представим две "мгновенные" фотографии движущегося точечного заряда в точках 1 и 2 (физически стационарную картину движущегося заряда можно смоделировать малым прямым участком проводника с постоянным током, в проводах подвода заряда к которому текут противоположно направленные токи, и эффекты от них взаимно компенсируются):

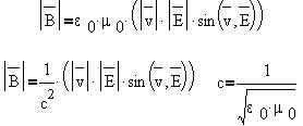
Модуль векторной величины, характеризующей интенсивность магнитного поля и называемой магнитной индукцией(B), прямо пропорционален скорости изменения вектора Е:

Скорость изменения Е, как это видно из рисунка, определяется, во-первых, величиной движущегося заряда - величиной вектора Е (Е ''> E 1, E ''> E) и, во-вторых, скоростью движения заряда: при скорости v ' <v заряд попадает в точку 2': угол между Е 1 и Е '2 меньше угла между Е 1 и Е 2 и E '> E.

Теперь учтем, что изменение электрического поля по направлению нулевое по оси движения заряда и максимальное - в перпендикулярной оси движения и проходящей через заряд плоскости (в силу изотропии пространства, в любом направлении в этой плоскости), т. е. зависит, очевидно, от синуса угла между Вектора скорости (v) и Е:

Коэффициент пропорциональности определяется и электрическими, и магнитными свойствами физического вакуума и равен произведению электрической и магнитной постоянных( μ0):

 

 

Закон Био́—Савара—Лапла́са — физический закон для определения вектора индукции магнитного поля, порождаемого постоянным электрическим током. Был установлен экспериментально в 1820 году Био и Саваром и сформулирован в общем виде Лапласом. Лаплас показал также, что с помощью этого закона можно вычислить магнитное поле движущегося точечного заряда (считая движение одной заряженной частицы током)

Био и Савар предприняли прямые измерения магнитных полей, используя для этого множество легких магнитных стрелок компасов. Смысл их закона проще всего понять, если представить себе, что проводник с током разбит на крошечные отрезки — т. н. элементы тока (такой подход предложил ученым их старший коллега Пьер Симон Лаплас (Pierre-Simon Laplace, 1749–1827), стоявший у истоков дифференциального и интегрального исчисления, который затем и обобщил полученные результаты. — Прим. переводчика).На каждом из этих крошечных отрезков кривизной проводника можно пренебречь — их можно рассматривать как отрезки прямой. Так вот, согласно закону Био—Савара, магнитное поле В на расстоянии r от такого элемента тока пропорционально

IL / r2

где I — сила тока, а L — длина элемента тока.

Это значит, что можно взять проводник с током сколь угодно сложной и асимметричной конфигурации и разбить его на элементы тока. Каждый элемент вносит свой вклад в магнитное поле в рассчитываемой точке. Сделав эти расчеты, мы можем затем просуммировать вклад от каждого элемента проводника и найти общее магнитное поле

Закон Био—Савара предсказывает также направление получающегося магнитного поля. Это направление можно определить с помощью так называемого правила правой руки, ставшего настоящим бичом целых поколений студентов физических и технических вузов. Правило гласит: если вытянутый указательный палец правой руки показывает направление электрического тока в элементе тока, а средний палец направлен на точку, в которой вы вычисляете магнитное поле, то выставленный под прямым углом к двум другим пальцам большой палец укажет направление магнитного поля.

 

Здесь r – расстояние от данного участка Δl до точки наблюдения, α – угол между направлением на точку наблюдения и направлением тока на данном участке, μ0 – магнитная постоянная. Направление вектора

Индукция В

 




Поделиться с друзьями:


Дата добавления: 2015-04-24; Просмотров: 411; Нарушение авторских прав?; Мы поможем в написании вашей работы!


Нам важно ваше мнение! Был ли полезен опубликованный материал? Да | Нет



studopedia.su - Студопедия (2013 - 2026) год. Все материалы представленные на сайте исключительно с целью ознакомления читателями и не преследуют коммерческих целей или нарушение авторских прав! Последнее добавление




Генерация страницы за: 0.011 сек.