Студопедия

КАТЕГОРИИ:


Архитектура-(3434)Астрономия-(809)Биология-(7483)Биотехнологии-(1457)Военное дело-(14632)Высокие технологии-(1363)География-(913)Геология-(1438)Государство-(451)Демография-(1065)Дом-(47672)Журналистика и СМИ-(912)Изобретательство-(14524)Иностранные языки-(4268)Информатика-(17799)Искусство-(1338)История-(13644)Компьютеры-(11121)Косметика-(55)Кулинария-(373)Культура-(8427)Лингвистика-(374)Литература-(1642)Маркетинг-(23702)Математика-(16968)Машиностроение-(1700)Медицина-(12668)Менеджмент-(24684)Механика-(15423)Науковедение-(506)Образование-(11852)Охрана труда-(3308)Педагогика-(5571)Полиграфия-(1312)Политика-(7869)Право-(5454)Приборостроение-(1369)Программирование-(2801)Производство-(97182)Промышленность-(8706)Психология-(18388)Религия-(3217)Связь-(10668)Сельское хозяйство-(299)Социология-(6455)Спорт-(42831)Строительство-(4793)Торговля-(5050)Транспорт-(2929)Туризм-(1568)Физика-(3942)Философия-(17015)Финансы-(26596)Химия-(22929)Экология-(12095)Экономика-(9961)Электроника-(8441)Электротехника-(4623)Энергетика-(12629)Юриспруденция-(1492)Ядерная техника-(1748)

Территориальные (пространственные) индекс




Методика расчета территориальных индексов. Практика их применения в современных условиях.

Территориальные индексы нужны для сравнения показателей в пространстве, т. е. по предприятиям, округам, городам, районам и т. д. Для того чтобы построить пространственные индексы, необходимо решить ряд методологических вопросов, которые связаны с выбором базы сравнения и весов, или уровня, на котором будут зафиксированы веса.

При двусторонних сравнениях каждая территория может быть сравниваемой и базой сравнения. Веса этих территорий имеют равные основания использоваться при расчете индекса. Однако это может привести к различным или противоречивым результатам, этого можно избежать несколькими способами.

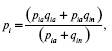
Один способ заключается в том, что в качестве весов принимаются объемы реализованных товаров i – го вида (I = 1, 2, 3, … n) по двум регионам, вместе взятым:

Q1= qia+ qib.

Территориальный индекс цен в данном случае вычисляется по формуле:

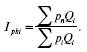
Второй способ расчета территориальных индексов учитывает соотношение весов на каждой из сравниваемых территорий. При данном способе первый шаг заключается в расчете средней цены каждого товара по двум территориям, вместе взятым:

после этого вычисляется территориальный индекс:

Мы все время говорили о том, что массовые явления изучаются с учетом времени и места.
Выше статистические индексы рассматривались главным образом для изучения развития явления во времени. В современных условиях развития в статистике все большее значение приобретает использование индексного метода для территориальных сравнений. При рыночных отношениях возникает необходимость сравнения производственной, коммерческой и иной деятельности отдельных территорий (регионов, областей, районов, населенных пунктов) страны, отдельных стран. Большое значение имеет индексный метод в международной статистике при сопоставлениях показателей социально-экономического развития отдельных стран.
Общие принципы использования индексного метода при территориальных сравнениях во многом подобны изучению развития сложных статистических совокупностей.
Однако при расчете территориальных индексов имеются некоторые особенности.
Во-первых, при двухсторонних сравнениях каждый регион (страна) может быть принят как в качестве сравниваемого, так и в качестве базы сравнения. В зависимости от этого по-разному будут выбираться веса – соизмерители индексируемых величин. Это может привести к противоречивым результатам между общими и индивидуальными территориальными индексами, которое может быть преодолено путем исчисления сводных (общих) индексов с использованием суммарных весов этих двух индексных отношений.
Во-вторых, обеспечивается сопоставимость рассматриваемых территорий. Например, Россия как самостоятельное государство и Россия (РСФСР) в составе СССР.
В-третьих, выбор базы сравнения может не учитывать строгую хронологическую последовательность расчета показателей динамики.
При многосторонних сравнениях выбор базы сравнения и весов - соизмерителей индексируемых величин предопределяется конкретными целями статистического анализа.

 




Поделиться с друзьями:


Дата добавления: 2015-04-24; Просмотров: 2225; Нарушение авторских прав?; Мы поможем в написании вашей работы!


Нам важно ваше мнение! Был ли полезен опубликованный материал? Да | Нет



studopedia.su - Студопедия (2013 - 2026) год. Все материалы представленные на сайте исключительно с целью ознакомления читателями и не преследуют коммерческих целей или нарушение авторских прав! Последнее добавление




Генерация страницы за: 0.008 сек.