Студопедия

КАТЕГОРИИ:


Архитектура-(3434)Астрономия-(809)Биология-(7483)Биотехнологии-(1457)Военное дело-(14632)Высокие технологии-(1363)География-(913)Геология-(1438)Государство-(451)Демография-(1065)Дом-(47672)Журналистика и СМИ-(912)Изобретательство-(14524)Иностранные языки-(4268)Информатика-(17799)Искусство-(1338)История-(13644)Компьютеры-(11121)Косметика-(55)Кулинария-(373)Культура-(8427)Лингвистика-(374)Литература-(1642)Маркетинг-(23702)Математика-(16968)Машиностроение-(1700)Медицина-(12668)Менеджмент-(24684)Механика-(15423)Науковедение-(506)Образование-(11852)Охрана труда-(3308)Педагогика-(5571)Полиграфия-(1312)Политика-(7869)Право-(5454)Приборостроение-(1369)Программирование-(2801)Производство-(97182)Промышленность-(8706)Психология-(18388)Религия-(3217)Связь-(10668)Сельское хозяйство-(299)Социология-(6455)Спорт-(42831)Строительство-(4793)Торговля-(5050)Транспорт-(2929)Туризм-(1568)Физика-(3942)Философия-(17015)Финансы-(26596)Химия-(22929)Экология-(12095)Экономика-(9961)Электроника-(8441)Электротехника-(4623)Энергетика-(12629)Юриспруденция-(1492)Ядерная техника-(1748)

Решение. 1 Среднегодовой размер заработной платы определим по формуле средней арифметической простой




1 Среднегодовой размер заработной платы определим по формуле средней арифметической простой

тыс. р.

2 Ежегодный (цепной) абсолютный прирост () определим по формуле

,

где , – значение показателя соответственно в -м периоде и предшествующем ему.

Например, для 2005 года тыс. р., т. е. заработная плата в 2005 году по сравнению с 2004 годом выросла на 64,1 тыс. р.; для 2006 года тыс. р. и т. д.

Базисный абсолютный прирост () определим по формуле

,

где , – значение показателя соответственно в -м и базисном (2004 год) периоде.

Например, для 2005 года тыс. р.; для 2006 года тыс. р., т. е. заработная плата в 2006 году по сравнению с 2004 годом увеличилась на 130,3 тыс. р. и т. д.

Цепной темп роста определим по формуле

.

Например, для 2005 года , т. е. заработная плата в 2001 году по сравнению с 2004 годом выросла на 108,8%; для 2006 года и т. д.

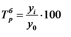
Базисный темп роста определим по формуле

.

Например, для 2001 года ; для 2002 года , т. е. заработная плата в 2002 году по сравнению с 2000 годом выросла на 221,2% и т. д.

Темп прироста найдем по формуле

.

Так, цепной темп прироста

за 2005 год: ;

за 2006 год: .

Базисный темп прироста

за 2005 год: ;

за 2006 год: .

3 Абсолютное значение 1% прироста () найдем по формуле

.

Этот показатель можно также вычислить как одну сотую часть предыдущего уровня:

.

Например, для 2005 года тыс. р.; для 2006 года тыс. р.

Расчеты показателей по пунктам 1, 2, 3 оформим в таблице 2

 

Таблица 2 – Показатели динамики заработной платы за 2004-2011 гг.

 

Год Размер заработной платы, тыс.р. Абсолютный прирост, тыс. р. Темп роста, % Темп прироста, % Абсолютное значение 1% прироста, тыс.р.
Цепной базисный цепной базисный цепной базисный
  58,9 - - -   - - -
  123,0 64,1 64,1 208,8 208,8 108,8 108,8 0,589
  189,2 66,2 130,3 153,8 321,2 53,8 221,2 1,23
  250,7 61,5 191,8 132,5 425,6 32,5 325,6 1,892
  347,5 96,8 288,6 138,6   38,6   2,507
  463,7 116,2 404,8 133,4 787,3 33,4 687,3 3,475
  582,2 118,5 523,3 125,6 988,5 25,6 888,5 4,637
  701,1 118,9 642,2 120,4 1190,3 20,4 1090,3 5,822

 

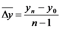
4 Среднегодовой абсолютный прирост вычисляется двумя способами:

– как средняя арифметическая простая годовых (цепных) приростов, т.е.:

;

– как частное от деления базисного прироста к числу периодов

.

Так тыс. р.

или тыс. р.

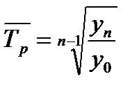
5 Среднегодовой темп роста найдем по формуле

,

где – число темпов роста цепных;

или

,

где – число периодов.

Так или 143%.

Либо или 143%.

Среднегодовой темп роста заработной платы за 2004-2011 гг. составляет 143%, следовательно, среднегодовой прирост составит 43%.

6 Среднее значение 1% прироста рассчитаем по формуле

.

Так тыс. р.

Таким образом, на протяжении 2004-2011 гг. наблюдается положительная динамика роста заработной платы. Так, среднегодовой абсолютный прирост составил 91,7 тыс. р. или 43%.

 





Поделиться с друзьями:


Дата добавления: 2015-04-24; Просмотров: 708; Нарушение авторских прав?; Мы поможем в написании вашей работы!


Нам важно ваше мнение! Был ли полезен опубликованный материал? Да | Нет



studopedia.su - Студопедия (2013 - 2026) год. Все материалы представленные на сайте исключительно с целью ознакомления читателями и не преследуют коммерческих целей или нарушение авторских прав! Последнее добавление




Генерация страницы за: 0.011 сек.