Студопедия

КАТЕГОРИИ:


Архитектура-(3434)Астрономия-(809)Биология-(7483)Биотехнологии-(1457)Военное дело-(14632)Высокие технологии-(1363)География-(913)Геология-(1438)Государство-(451)Демография-(1065)Дом-(47672)Журналистика и СМИ-(912)Изобретательство-(14524)Иностранные языки-(4268)Информатика-(17799)Искусство-(1338)История-(13644)Компьютеры-(11121)Косметика-(55)Кулинария-(373)Культура-(8427)Лингвистика-(374)Литература-(1642)Маркетинг-(23702)Математика-(16968)Машиностроение-(1700)Медицина-(12668)Менеджмент-(24684)Механика-(15423)Науковедение-(506)Образование-(11852)Охрана труда-(3308)Педагогика-(5571)Полиграфия-(1312)Политика-(7869)Право-(5454)Приборостроение-(1369)Программирование-(2801)Производство-(97182)Промышленность-(8706)Психология-(18388)Религия-(3217)Связь-(10668)Сельское хозяйство-(299)Социология-(6455)Спорт-(42831)Строительство-(4793)Торговля-(5050)Транспорт-(2929)Туризм-(1568)Физика-(3942)Философия-(17015)Финансы-(26596)Химия-(22929)Экология-(12095)Экономика-(9961)Электроника-(8441)Электротехника-(4623)Энергетика-(12629)Юриспруденция-(1492)Ядерная техника-(1748)

Свойства показательной функции




Свойства показательной функции y = a x, a > 1 y = a x, 0< a < 1
  1. Область определения функции
2. Область значений функции
3.Промежутки сравнения с единицей при x > 0, a x >1 при x > 0, 0< a x < 1
при x < 0, 0< a x < 1 при x < 0, a x >1
4. Чётность, нечётность. Функция не является ни чётной, ни нечётной (функция общего вида).
5.Монотонность. монотонно возрастает на R монотонно убывает на R
6. Экстремумы. Показательная функция экстремумов не имеет.
7.Асимптота Ось O x является горизонтальной асимптотой.
8. При любых действительных значениях x и y;

Когда заполняется таблица, то параллельно с заполнением решаются задания.

Задание № 1. (Для нахождения области определения функции).

Какие значения аргумента являются допустимыми для функций:

Задание № 2. (Для нахождения области значений функции).

На рисунке изображен график функции. Укажите область определения и область значений функции:

Задание № 3. (Для указания промежутков сравнения с единицей).

Каждую из следующих степеней сравните с единицей:

Задание № 4. (Для исследования функции на монотонность).

Сравнить по величине действительные числа m и n если:

Задание № 5. (Для исследования функции на монотонность).

Сделайте заключение относительно основания a, если:

В одной координатной плоскости построены графики функций:

y(x) = 10x; f(x) = 6x; z(x) - 4x

Как располагаются графики показательных функций относительно друг друга при x > 0, x = 0, x < 0?

Вывод:

 

при x < 0 чем больше значение основания степени, тем ближе к оси O x располагается график показательной функции;
при x = 0 графики показательных функций пересекаются в одной точке (0;1);
при x > 0 чем больше значение основания степени, тем дальше от осиO x располагается график показательной функции.

В одной координатной плоскости построены графики функций:

y(x) = (0,1)x; f(x) = (0,5)x; z(x) = (0,8)x.

Как располагаются графики показательных функций относительно друг друга при x > 0, x = 0, x < 0?

Вывод:

при x < 0 чем меньше значение основания степени, тем дальше от оси O x располагается график показательной функции;
при x = 0 графики показательных функций пересекаются в одной точке (0;1);
при x > 0 чем меньше значение основания степени, тем ближе к осиO x располагается график показательной функции.

 

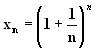
Число одна из важнейших постоянных в математике. По определению, оно равно пределу последовательности при неограниченномвозрастании n. Обозначение e ввёл Леонард Эйлер в 1736 г. Он вычислил первые 23 знака этого числа в десятичной записи, а само число назвали в честь Непера «неперовым числом». Число e играет особую роль в математическом анализе. Показательная функция с основанием e, называется экспонентой и обозначается y = ex. Первые знаки числа e запомнить несложно: два, запятая, семь, год рождения Льва Толстого - два раза, сорок пять, девяносто, сорок пять.

 

9 Вопрос:

 

 




Поделиться с друзьями:


Дата добавления: 2015-04-24; Просмотров: 1160; Нарушение авторских прав?; Мы поможем в написании вашей работы!


Нам важно ваше мнение! Был ли полезен опубликованный материал? Да | Нет



studopedia.su - Студопедия (2013 - 2026) год. Все материалы представленные на сайте исключительно с целью ознакомления читателями и не преследуют коммерческих целей или нарушение авторских прав! Последнее добавление




Генерация страницы за: 0.013 сек.