Студопедия

КАТЕГОРИИ:


Архитектура-(3434)Астрономия-(809)Биология-(7483)Биотехнологии-(1457)Военное дело-(14632)Высокие технологии-(1363)География-(913)Геология-(1438)Государство-(451)Демография-(1065)Дом-(47672)Журналистика и СМИ-(912)Изобретательство-(14524)Иностранные языки-(4268)Информатика-(17799)Искусство-(1338)История-(13644)Компьютеры-(11121)Косметика-(55)Кулинария-(373)Культура-(8427)Лингвистика-(374)Литература-(1642)Маркетинг-(23702)Математика-(16968)Машиностроение-(1700)Медицина-(12668)Менеджмент-(24684)Механика-(15423)Науковедение-(506)Образование-(11852)Охрана труда-(3308)Педагогика-(5571)Полиграфия-(1312)Политика-(7869)Право-(5454)Приборостроение-(1369)Программирование-(2801)Производство-(97182)Промышленность-(8706)Психология-(18388)Религия-(3217)Связь-(10668)Сельское хозяйство-(299)Социология-(6455)Спорт-(42831)Строительство-(4793)Торговля-(5050)Транспорт-(2929)Туризм-(1568)Физика-(3942)Философия-(17015)Финансы-(26596)Химия-(22929)Экология-(12095)Экономика-(9961)Электроника-(8441)Электротехника-(4623)Энергетика-(12629)Юриспруденция-(1492)Ядерная техника-(1748)

Методы оценки физического износа




Факторы, влияющие на величину физического износа

Скорость и величина физического износа жилых зданий зависит от многих факторов. Здесь имеют значение:

- род и качество строительных материалов, деталей и конструкций;

- качество строительных работ;

- система, периодичность и качество работ по ремонту;

- климатические и другие условия, в частности влажность воздуха жилых помещений в зимнее время;

- объемно-планировочные решения домов и квартир, норма обеспеченности жилой площадью и характер заселения квартир и др.

При рассмотрении вопросов физического износа следует принимать во внимание различные формы и виды материального износа строительных элементов жилого здания.

- механический износ (истирание полов, сопряженных деталей металлических элементов оборудования и т.д.);

- усталостный износ металла и дерева;

- износ как следствие ползучести металлов;

- коррозийный износ металлов;

- выветривание каменных и бетонных изделий;

- гниение дерева, разрушение древесины от поражения домовым грибком и жучками-точильщиками;

- деформации и разрушения конструкций вследствие осадочных явлений, сейсмических воздействий и т. п.

В силу этого определение действительного уровня физического износа жилого здания необходимо производить с учетом конкретных условий, от которых зависит его техническое состояние и величина износа.

 

 

Существуют четыре основных метода расчета физического износа:

1) Экспертный метод расчета физического износа основан на создании дефектной ведомости и определения процентов износа всех конструктивных элементов здания или сооружения. Экспертный метод является самым точным, но и наиболее трудоемким.

Данный метод предполагает использование различных нормативных инструкций межотраслевого или ведомственного уровня (ВСН 53-86). Физический износ здания определяется следующим образом:

Fф — физический износ здания, (%);

Fi — физический износ i-го конструктивного элемента, (%);

Li — коэффициент, соответствующий доле восстановительной стоимости i-го конструктивного элемента (участка) в общей стоимости здания, берут из УПВС, а для конструкций, элементов и систем, не имеющих утвержденных показателей — по их сметной стоимости;

n — количество конструктивных элементов в здании.

2) Стоимостной метод расчета физического износа основан на предположении о том, что физический износ на момент оценки выражается соотношением стоимости объективно необходимых ремонтных мероприятий, устраняющих повреждения конструкции, элемента или здания в целом, и их восстановительной стоимостью.

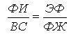
3) Метод расчета срока жизни здания основан на предположении о том, что соотношение между ФИ и восстановительной стоимостью (ВС) определяется соотношением между эффективным возрастом (ЭВ) и типичным сроком экономической жизни (ФЖ):

4) Нормативный (или бухгалтерский) метод определения физического износа строений предполагает использование действующих в настоящее время «Единых норм амортизационных отчислений на полное восстановление основных фондов в РФ».

 




Поделиться с друзьями:


Дата добавления: 2015-04-24; Просмотров: 526; Нарушение авторских прав?; Мы поможем в написании вашей работы!


Нам важно ваше мнение! Был ли полезен опубликованный материал? Да | Нет



studopedia.su - Студопедия (2013 - 2026) год. Все материалы представленные на сайте исключительно с целью ознакомления читателями и не преследуют коммерческих целей или нарушение авторских прав! Последнее добавление




Генерация страницы за: 0.007 сек.