Студопедия

КАТЕГОРИИ:


Архитектура-(3434)Астрономия-(809)Биология-(7483)Биотехнологии-(1457)Военное дело-(14632)Высокие технологии-(1363)География-(913)Геология-(1438)Государство-(451)Демография-(1065)Дом-(47672)Журналистика и СМИ-(912)Изобретательство-(14524)Иностранные языки-(4268)Информатика-(17799)Искусство-(1338)История-(13644)Компьютеры-(11121)Косметика-(55)Кулинария-(373)Культура-(8427)Лингвистика-(374)Литература-(1642)Маркетинг-(23702)Математика-(16968)Машиностроение-(1700)Медицина-(12668)Менеджмент-(24684)Механика-(15423)Науковедение-(506)Образование-(11852)Охрана труда-(3308)Педагогика-(5571)Полиграфия-(1312)Политика-(7869)Право-(5454)Приборостроение-(1369)Программирование-(2801)Производство-(97182)Промышленность-(8706)Психология-(18388)Религия-(3217)Связь-(10668)Сельское хозяйство-(299)Социология-(6455)Спорт-(42831)Строительство-(4793)Торговля-(5050)Транспорт-(2929)Туризм-(1568)Физика-(3942)Философия-(17015)Финансы-(26596)Химия-(22929)Экология-(12095)Экономика-(9961)Электроника-(8441)Электротехника-(4623)Энергетика-(12629)Юриспруденция-(1492)Ядерная техника-(1748)

Метод корреляционных полей




Метод корреляционных таблиц.

Метод групповых таблиц.

Групповыми называются таблицы, имеющие в подлежащем группировку единиц совокупности по одному признаку.

Распределение населения России по полу на 1 января 2007 г.
  млн.чел в % к итогу
Численность населения — всего 142,0 100,0
В том числе:    
Мужчины 65,8 46,3
Женщины 76,4 53,7

 

Корреляционный анализ — это количественный метод определения тесноты и направления взаимосвязи между выборочными переменными величинами.

Линейная корреляция:

Данная корреляция характеризует линейную взаимосвязь в вариациях переменных. Она может быть парной (две коррелирующие переменные) или множественной (более двух переменных), прямой или обратной — положительной или отрицательной, когда переменные варьируют соответственно в одинаковых или разных направлениях.

Если переменные — количественные и равноценные в своих независимых наблюдениях при их общем количестве , то важнейшими эмпирическими мерами тесноты их линейной взаимосвязи являются коэффициент прямой корреляции знаков австрийского психолога Г.Т.Фехнера (1801-1887) и коэффициенты парной, чистой (частной) и множественной (совокупной) корреляции английского статистика-биометрика К.Пирсона (1857-1936).

Коэффициент парной корреляции знаков Фехнера определяет согласованность направлений в индивидуальных отклонениях переменных и от своих средних и . Он равен отношению разности сумм совпадающих () и несовпадающих () пар знаков в отклонениях и к сумме этих сумм:

Величина Кф изменяется от -1 до +1. Суммирование в (1) производится по наблюдениям , которые не указаны в суммах ради упрощения. Если какое-то одно отклонение или , то оно не входит в расчет. Если же сразу оба отклонения нулевые: , то такой случай считается совпадающим по знакам и входит в состав . В таблице 12.1. показана подготовка данных для расчета (1).

Таблица 12.1 Данные для расчета коэффициента Фехнера.

Магазин Число работников, тыс. чел. Товарооборот, у.е. Отклонение от средних и Сравнение знаков и
совпа-дение (Ск) несов-падение (Нк)
  0,2 3,1 +0,0 -0,9    
  0,1 3,1 -0,1 -0,9    
  0,4 5,0 +0,2 +1,0    
  0,2 4,4 +0,0 +0,4    
  0,1 4,4 -0,1 +0,4    
Итого 1,0 20,0 - -    

По (1) имеем Кф = (3 — 2)/(3 + 2) = 0,20. Направление взаимосвязи в вариациях!!Средняя численность работников|численности работников]] и объема товарооборота — положительное (прямолинейное): знаки в отклонениях и и в своем большинстве (в 3 случаях из 5) совпадают между собой. Теснота взаимосвязи переменных по шкале Чеддока — слабая.

Коэффициенты парной, чистой (частной) и множественной (совокупной) линейной корреляции Пирсона, в отличие от коэффициента Фехнера, учитывают не только знаки, но и величины отклонений переменных. Для их расчета используют разные методы. Так, согласно методу прямого счета по несгруппированным данным, коэффициент парной корреляции Пирсона имеет вид:

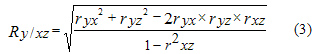
Этот коэффициент также изменяется от -1 до +1. При наличии нескольких переменных рассчитывается коэффициент множественной (совокупной) линейной корреляции Пирсона. Для трех переменных x, y, z он имеет вид

Этот коэффициент изменяется от 0 до 1. Если элиминировать (совсем исключить или зафиксировать на постоянном уровне) влияние на и , то их "общая" связь превратится в "чистую", образуя чистый (частный) коэффициент линейной корреляции Пирсона:

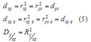
Этот коэффициент изменяется от -1 до +1. Квадраты коэффициентов корреляции (2)-(4) называются коэффициентами (индексами) детерминации — соответственно парной, чистой (частной), множественной (совокупной):

Каждый из коэффициентов детерминации изменяется от 0 до 1 и оценивает степень вариационной определенности в линейной взаимосвязи переменных, показывая долю вариации одной переменной (y), обусловленную вариацией другой (других) — x и y. Многомерный случай наличия более трех переменных здесь не рассматривается.

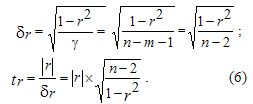
Согласно разработкам английского статистика Р.Э. Фишера (1890-1962), статистическая значимость парного и чистого (частного) коэффициентов корреляции Пирсона проверяется в случае нормальности их распределения, на основании -распределения английского статистика В.С. Госсета (псевдоним "Стьюдент"; 1876-1937) с заданным уровнем вероятностной значимости и имеющейся степени свободы , где — число связей (факторных переменных). Для парного коэффициента имеем его среднеквадратическую ошибку и фактическое значение -критерия Стьюдента:

Для чистого коэффициента корреляции при расчете его вместо (n-2) надо брать , т.к. в этом случае имеется m=2 (две факторные переменные x и z). При большом числе n>100 вместо (n-2) или (n-3) в (6) можно брать n, пренебрегая точностью расчета.

Если tr > tтабл., то коэффициент парной корреляции — общий или чистый является статистически значимым, а при tr ≤ tтабл. — незначимым.

Значимость коэффициента множественной корреляции R проверяется по F — критерию Фишера путем расчета его фактического значения

При FR > Fтабл. коэффициент R считается значимым с заданным уровнем значимости a и имеющихся степенях свободы и , а при Fr≤ Fтабл — незначимым.

В совокупностях большого объема n > 100 для оценки значимости всех коэффициентов Пирсона вместо критериев t и F применяется непосредственно нормальный закон распределения (табулированная функция Лапласа-Шеппарда).

Наконец, если коэффициенты Пирсона не подчиняются нормальному закону, то в качестве критерия их значимости используется Z — критерий Фишера, который здесь не рассматривается.

Условный пример расчета (2) — (7)дан в табл. 12.2, где взяты исходные данные табл.12.1 с добавлением к ним третьей переменной z — размера общей площади магазина (в 100 кв. м).

Таблица 12.2. Подготовка данных для расчета коэффициентов корреляции Пирсона

Мага-зин Показатели
к xk yk zk xkyk xkzk ykzk      
  0,2 3,1 0,1 0,62 0,02 0,31 0,04 9,61 0,01
  0,1 3,1 0,1 0,31 0,01 0,31 0,01 9,61 0,01
  0,4 5,0 1,0 2,00 0,40 5,00 0,16 25,00 1,00
  0,2 4,4 0,2 0,88 0,04 0,88 0,04 19,36 0,04
  0,1 4,4 0,6 0,44 0,06 2,64 0,01 19,36 0,36
Итого 1,0 20,0 2,0 4,25 0,53 9,14 0,26 82,94 1,42

Согласно (2) — (5), коэффициенты линейной корреляции Пирсона равны:

Взаимосвязь переменных x и y является положительной, но не тесной, составляя по их парному коэффициенту корреляции величину и по чистому — величину и оценивалась по шкале Чеддока соответственно как "заметная" и "слабая".

Коэффициенты детерминации dxy =0,354 и dxy.z = 0,0037 свидетельствуют, что вариация у (товарооборота) обусловлена линейной вариацией x (численности работников) на 35,4% в их общей взаимосвязи и в чистой взаимосвязи — только на 0,37%. Такое положение обусловлено значительным влиянием на x и y третьей переменной z — занимаемой магазинами общей площади. Теснота ее взаимосвязи с ними составляет соответственно rxz=0,677 и ryz=0,844.

Коэффициент множественной (совокупной) корреляции трех переменных показывает, что теснота линейной взаимосвязи x и z c y составляет величину R = 0,844, оцениваясь по шкале Чеддока как "высокая", а коэффициент множественный детерминации — величину D=0,713, свидетельствуя, что 71,3 % всей вариации у (товарооборота) обусловлены совокупным воздействием на нее переменных x и z. Остальные 28,7% обусловлены воздействием на y других факторов или же криволинейной связью переменных y, x, z.

Для оценки значимости коэффициентов корреляции возьмем уровень значимости . По исходным данным имеем степени свободы для и для . По теоретической таблице находим соответственно tтабл.1. = 3,182 и tтабл.2. = 4,303. Для F-критерия имеем и и по таблице находим Fтабл. = 19,0. Фактические значения каждого критерия по (6) и (7) равны:

Все расчетные критерии меньше своих табличных значений: все коэффициенты корреляции Пирсона статистически незначимы.

 

Построение корреляционных полей - гра­фическое изображение функций от фактора с целью предварительно­го определения тесноты и формы связи между функцией и каждым фактором.

Корреляционные поля построены по исходным статистическим данным X1 — Х4 (факторы) и Y (функция). Анализ корреляционных полей показывает, что:

· между Y и X4 теснота связи слабая, по форме она линейная, обратно пропорциональная;

· между Y и Х1 теснота связи высокая, по форме она линейная, прямо пропорциональная;

· между Y и Х3 связи нет, т.к. функцию Y = f(X3) можно прове­сти в любом направлении;

· между Y и Х4 теснота связи высокая, форма связи — гипербо­лическая, после линии А—А фактор Х4 на Y уже не оказывает влияния.

Корреляционное поле и корреляционная таблица являются исходными данными при корреляционном анализе. Пусть , , – результаты парных наблюдений над случайными величинами Х и Y. Изображая полученные результаты в виде точек в декартовой системе координат, получим корреляционное поле. По характеру расположения точек поля можно составить предварительное представление о форме зависимости случайных величин (например, о том, что одна из них в среднем возрастает или убывает с возрастанием другой).

 




Поделиться с друзьями:


Дата добавления: 2015-04-24; Просмотров: 664; Нарушение авторских прав?; Мы поможем в написании вашей работы!


Нам важно ваше мнение! Был ли полезен опубликованный материал? Да | Нет



studopedia.su - Студопедия (2013 - 2026) год. Все материалы представленные на сайте исключительно с целью ознакомления читателями и не преследуют коммерческих целей или нарушение авторских прав! Последнее добавление




Генерация страницы за: 0.013 сек.