Студопедия

КАТЕГОРИИ:


Архитектура-(3434)Астрономия-(809)Биология-(7483)Биотехнологии-(1457)Военное дело-(14632)Высокие технологии-(1363)География-(913)Геология-(1438)Государство-(451)Демография-(1065)Дом-(47672)Журналистика и СМИ-(912)Изобретательство-(14524)Иностранные языки-(4268)Информатика-(17799)Искусство-(1338)История-(13644)Компьютеры-(11121)Косметика-(55)Кулинария-(373)Культура-(8427)Лингвистика-(374)Литература-(1642)Маркетинг-(23702)Математика-(16968)Машиностроение-(1700)Медицина-(12668)Менеджмент-(24684)Механика-(15423)Науковедение-(506)Образование-(11852)Охрана труда-(3308)Педагогика-(5571)Полиграфия-(1312)Политика-(7869)Право-(5454)Приборостроение-(1369)Программирование-(2801)Производство-(97182)Промышленность-(8706)Психология-(18388)Религия-(3217)Связь-(10668)Сельское хозяйство-(299)Социология-(6455)Спорт-(42831)Строительство-(4793)Торговля-(5050)Транспорт-(2929)Туризм-(1568)Физика-(3942)Философия-(17015)Финансы-(26596)Химия-(22929)Экология-(12095)Экономика-(9961)Электроника-(8441)Электротехника-(4623)Энергетика-(12629)Юриспруденция-(1492)Ядерная техника-(1748)

Показатели численности населения




11.

Вариацией признака называется различие численных значений признака у отдельных единиц совокупности. Размеры вариации позволяют судить, насколько однородна изучаемая группа и, следовательно, насколько характерна средняя по группе. Статистические данные представлены в рядах распределения. В зависимости от признака, положенного в основу группировки данных, различают атрибутивные и вариационные ряды. Числовые значения признака, встречающиеся в данной совокупности, называется вариантами значений. Статистические данные без какой-либо систематизации образуют первичный ряд.

При наличии достаточно большого количества вариантов значений признака для его изучения необходимо упорядочения первичный ряд, т.е. проранжировать – расположить все варианты ряда в возрастающем (или убывающем) порядке.

При рассмотрении ранжированных данных можно увидеть, что варианты значений признака у отдельных единиц повторяются. Число повторений отдельных вариантов называют частотой повторения ().

По характеру вариации различают дискретные и непрерывные признаки. Дискретные признаки отличаются друг от друга на некоторое прерывное число.

Таблица 16

Распределение рабочих цеха по квалификации

Тарифный разряд () Число рабочих ) Частости () Накопленные частоты (Fi)
II   0,05  
III   0,25  
IV   0,40  
V   0,20  
VI   0,10  
Итого:   1,00  

Вместо абсолютного числа рабочих, имеющих определенный разряд, можно установить долю рабочих этого разряда. Частоты, представленные в относительном выражении, называют частостями и обозначают :

.

Частости могут быть выражены в долях единицы или в процентах. Накопленные частоты определяют последовательным суммированием частот.

Непрерывные признаки могут отличаться один от другого на сколь угодно малую величину и в определенных границах принимать любые значения. Для построения ряда распределения непрерывных признаков, значения вариантов указываются в интервалах «от – до». При построении интервальных рядов необходимо определить число интервалов и определить величину интервала:

.

Если вариационный ряд дан в неравных интервалах, то для правильного представления о характере распределения необходимо рассчитать абсолютную и относительную плотности распределения. Абсолютная плотность:

,

где – величина интервала.

Относительная плотность:

,

где – частость.

Эти показатели используют для преобразования интервалов, если данные собраны по различным совокупностям и по-разному обработаны:

.

Для характеристики размера вариации используются специальные показатели колеблемости: размах вариации, средне линейное отклонение, среднее квадратическое отклонение, коэффициент вариации.

Размах вариации – величина разности между максимальным и минимальным значениями признака:

.

Среднее линейное отклонение – это средняя арифметическая из абсолютных отклонений индивидуальных значений признака от среднего значения.

Для первичного ряда: .

Для ряда распределения: .

Так как согласно свойству средней арифметической алгебраическая сумма отклонений индивидуальных значений признака от средней арифметической равна нулю, то для расчета суммируются абсолютные значения индивидуальных отклонений независимо от знака.

Среднее линейное отклонение показывает, насколько в среднем отличаются индивидуальные значения признака от среднего их значения.

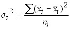
Среднее квадратическое отклонение равно квадратному корню из среднего квадрата отклонений индивидуальных значений признака от средней арифметической.

Для первичного ряда: .

Для ряда распределения: .

Среднее линейное и среднее квадратическое отклонения показывают, на сколько в среднем колеблется величина признака у единиц изучаемой совокупности: > . Для умеренно асимметричных рядов распределения установлено следующее соотношение: или .

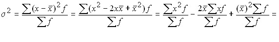
12. В статистике дисперсия это среднее арифметическое из квадратов отклонений наблюденных значений (x1, x2,...,xn) случайной величины от их среднего арифметического.Дисперсия имеет самостоятельное значение в статистике и относится к числу важнейших показателей:

Для первичного ряда: .

Для вариационного ряда: .

Следовательно: .

В статистике часто возникает необходимость сравнения вариации различных признаков. В таких случаях используют показатель относительного рассеяния – коэффициент вариации:

.

Коэффициент вариации показывает, на сколько процентов в среднем индивидуальные значения отличаются от средней арифметической. Он является критерием надежности средней: если он превышает 40%, то это свидетельствует о большой колеблемости признака и, следовательно, средняя недостаточно надежна.

Линейный коэффициент вариации: .

Дисперсия обладает рядом свойств.

1. Дисперсия постоянного числа равна нулю. Если то

.

2. Если все варианты одного ряда увеличить или уменьшить на какое-либо число, то дисперсия нового ряда не изменится.

Пусть , но тогда

.

3. Если все варианты ряда уменьшить или увеличить в раз, то дисперсия нового ряда уменьшится (или увеличится) в .

Пусть , тогда

.

Моментом распределения называется средняя арифметическая тех или иных степеней отклонений индивидуальных значений признака от определенной исходной величины. В общем виде момент можно записать следующим образом:

,

где А – величина, от которой определяются отклонения;

к – степень отклонения (порядок момента).

В зависимости от величины к моменты могут быть рассчитаны любого порядка, но практическое применение находят моменты первых четырех порядков.

В качестве постоянной величины А может быть принято любое число. В зависимости от того, что принимается за постоянную величину, различают следующие три вида моментов:

1) если в качестве постоянной величины принят нуль, т.е. А = 0, то моменты именуют начальными. В общем виде их можно записать:

и соответственно моменты первых четырех порядков;
;
– средняя арифметическая из квадратов вариантов;
;
.

2) если в качестве постоянной величины принята средняя арифметическая ряда, т.е. А = , то моменты именуют центральными:

;
согласно свойству средней арифметической;
дисперсия;
для расчета показателя эксцесса.

3) если в качестве постоянной величины принято любое число, отличное от нуля, то момент именуют условным:

;
;
;
;
.

Используя начальные моменты первого и второго порядка можно получить формулу для расчета дисперсии:

Вычислить дисперсию можно также следующим образом:

Следовательно, дисперсия может быть определена как разность среднего квадрата вариантов и квадрата их средней.

В вариационных рядах с равными интервалами дисперсия может быть вычислена способом моментов и способом отсчета от условного нуля.

Расчет производится по формуле:

,

где:

- ширина интервала;
, х0 – условный нуль, в качестве которого удобно использовать середину интервала, обладающего наибольшей частотой;
– момент второго порядка;
– квадрат момента первого порядка.

Единицы изучаемых явлений могут характеризоваться такими признаками, которыми одни единицы совокупности обладают, а другие – нет. Такой признак называется альтернативным.

Наличие признака обозначается единицей, а его отсутствие – нулем. Доля единиц, обладающих этим признаком, обозначается p, а доля, им не обладающая – q. Следовательно, p + q = 1, q = 1 – p. Среднее значение альтернативного признака равно:

.

Таким образом, среднее значение альтернативного признака равно величине той доли единиц, которая им обладает.

Определим дисперсию:

.

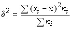
Для оценки влияния различных факторов, определяющих колеблемость индивидуальных значений признака можно воспользоваться разложением дисперсии на составляющие: межгрупповую и внутригрупповую дисперсии.

Вариацию, обусловленную влиянием фактора, положенного в основу группировки, характеризует межгрупповая дисперсия, которая является мерой колеблемости частных средних по группам от общей средней:

,

где – групповые средние,

– общая средняя для всей совокупности,

– численность отдельных групп.

Вариацию, обусловленную влиянием прочих факторов, характеризует в каждой группе групповая дисперсия:

,

а по совокупности в целом – средняя из внутригрупповых дисперсий:

.

Следовательно, общая вариация признака в совокупности должна определяться как сумма вариации групповых средних (за счет одного выделенного фактора) и остаточной вариации (за счет остальных факторов). Это равенство находит отражение в правиле сложения дисперсий .

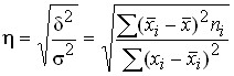
Отношение межгрупповой дисперсии к общей дает коэффициент детерминации , который характеризует долю вариации результативного признака, обусловленную вариацией факторного признака (положенного в основу группировки).

Коэффициент эмпирического корреляционного отношения характеризует тесноту связи между результативным и факторным признаками.

 

 

14. Цепные индексы получают путем сопоставления текущих уровней с предшествующим, при этом база сравнения постоянно меняется.

Базисные индексы получают путем сопоставления с тем уровнем периода, который был принят за базу сравнения.

В качестве примера можно привести цепные и базисные индексы цен.

Цепные индивидуальные индексы цен имеют следующий ряд расчета:

.... (10.15)

Базисные индивидуальные индексы цен:

.... (10.16)

Следует помнить, что произведение цепных индивидуальных индексов цен равно последнему базисному индексу:

(10.17)

16. Статистические показатели динамики социально-экономических явлений

Для количественной оценки динамики социально-экономических явлений применяются статистические показатели: абсолютные приросты, темпы роста и прироста, темпы наращивания и др.

В основе расчета показателей рядов динамики лежит сравнение его уровней. В зависимости от применяемого способа сопоставления показатели динамики могут вычисляться на постоянной и переменной базах сравнения.

Важнейшим статистическим показателем динамики является абсолютный прирост, который определяется в разностном сопоставлении двух уровней ряда динамики в единицах измерения исходной информации.

Базисный абсолютный прирост aj^ исчисляется как разность между сравниваемым

уровнем у- и уровнем, принятым за постоянную базу сравнения у п,:

Абсолютный прирост может иметь и отрицательный знак, показывающий, насколько уровень показателя изучаемого периода ниже базисного.

Между базисными и цепными абсолютными приростами имеется связь: сумма цепных абсолютных приростов ^Д^,,, равна базисному абсолютному приросту последнего периода ряда динамики A^g„:

Распространенным статистическим показателем динамики является темп роста. Он характеризует отношение двух уровней ряда и может выражаться в виде коэффициента или в процентах.

Базисные темпы роста Tpg исчисляются делением сравниваемого уровня у, на уровень, принятый за постоянную базу сравнения уо,:

Цепные темпы роста Трб исчисляются делением сравниваемого уровняв, на предыдущий уровень y0i:

Если темп роста больше единицы (или 100%), то это указывает на увеличение изучаемого уровня по сравнению с базисным. Темп роста, равный единице (или 100%), показывает, что уровень изучаемого периода по сравнению с базисным не изменился. Темп роста меньше единицы (или 100%) указывает на уменьшение уровня изучаемого периода по сравнению с базисным. Темп роста всегда имеет положительный знак.

Темпы прироста характеризуют абсолютный прирост в относительных величинах. Исчисленный в процентах темп прироста показывает, на сколько процентов изменился изучаемый уровень по сравнению с уровнем, принятым за базу сравнения.

Базисный темп прироста Tg вычисляется делением сравниваемого базисного абсолютного прироста Ауд на уровень, принятый за постоянную базу сравнения уoi:

Если уровни ряда динамики сокращаются, то соответствующие показатели темпа прироста будут со знаком минус, так как они характеризуют относительное уменьшение прироста уровня ряда динамики.

Важным статистическим показателем динамики социально-экономических процессов является темп наращивания, который в условиях интенсификации экономики измеряет наращивание во времени экономического потенциала.

Вычисляются темпы наращивания Тн делением цепных абсолютных приростов Av,

на уровень, принятый за постоянную базу сравнения уц,:

Из преобразований в формуле (17.3.10) следует, что темпы наращивания можно непосредственно определять по базисным темпам роста:

Формула (17.3.11) удобна для практики, так как статистическая информация о динамике социально-экономических явлений публикуется чаще всего в виде базисных рядов динамики.1

 

 

Статистика населения – древнейшая отрасль статистической науки, которая изучает население и процессы, связанные с его динамикой, с количественной стороны в конкретных условиях общественного развития. Таким образом, предметом изучения этой отрасли статистики являются население и закономерности его развития.

Население – это совокупность людей, проживающих в пределах определенной территории, части страны, всей страны, группы стран, всего земного шара.

К числу демографических процессов относится:

а) процессы естественного движения населения и смены поколений, т.е. воспроизводства;

б) процессы изменения структуры населения (по полу, возрасту, социальному и экономическому составу, уровню образования и грамотности, этническим группам);

в) процессы изменения размещения населения по территории;

г) процессы миграции населения

Единицами учета в статистике населения является человек, семья, домохозяйство и населенный пункт.

Основным источником данных о населении и семье являются переписи населения, которые проводятся, как правило, один раз в десять лет. При проведении переписи населения единицей наблюдения является человек. Относительно каждого человека должны быть собраны сведения демографические (пол, дата, место рождения, состояние в браке и др.), экономические (занятость, вид экономической деятельности, источник средств существования и др.), образовательные (уровень образования, тип учебного заведения и др.), этнические (национальность, родной язык и др.). В связи в переходом на международные стандарты предполагается определить численность и состав не только семей, но и домохозяйств.

В промежутках между переписями ведется текущий учет демографических событий по мере их наступления (рождений, смертей, браков, разводов, прибытий и выбываний) на основе обработки сведений актов гражданского населения, данных органов внутренних дел, специальных выборочных обследований миграции населения.

В первичных документах фиксируется не только факт наступления события, но и ряд характеристик того лица, с которым это событие произошло. Это позволяет органам государственной статистики при обработке первичных документов отнести каждое событие к определенной социально-демографической группе населения, месту и времени.

В промежутках между переписями текущую оценку численности населения получают с использованием итогов последней переписи и данных текущего учета рождаемости, смертности, миграции населения.

Численность населения на начало каждого года рассчитывается на основе следующего балансового уравнения: ,

где Нt и Нt+1 - численность населения на начало года t и года t + 1 соот­ветственно;

чРt - число родившихся в году t;

чУt - число умерших в году t;

чПt - число прибывших на данную территорию в году t;

чВt - число выбывших с данной территории в году t.

При проведении переписей населения различают две категории на­селения: постоянное (ПН) и наличное (НН). Постоянное население — это совокупность лиц, обычно проживающих на данной территории, не­зависимо от их местонахождения на момент учета. Из состава постоян­ного населения можно выделить группу лиц, находящихся на момент учета за пределами населенного пункта или территории. Такую группу лиц называют временно отсутствующими (ВО), например, выехали в командировку, на временную работу, на отдых, на практику и т.д.

Наличное население — это совокупность лиц, находящихся на дан­ной территории на момент учета, независимо от их места постоянного жительства. Из состава наличного населения можно выделить времен­но проживающих (ВП) — лиц, находящихся на момент учета на дан­ной территории, но имеющих постоянное место жительства за ее пре­делами. Между указанными категориями населения существует сле­дующая зависимость:

ПН = НН – ВП + ВО;




Поделиться с друзьями:


Дата добавления: 2015-04-24; Просмотров: 466; Нарушение авторских прав?; Мы поможем в написании вашей работы!


Нам важно ваше мнение! Был ли полезен опубликованный материал? Да | Нет



studopedia.su - Студопедия (2013 - 2026) год. Все материалы представленные на сайте исключительно с целью ознакомления читателями и не преследуют коммерческих целей или нарушение авторских прав! Последнее добавление




Генерация страницы за: 0.009 сек.