Студопедия

КАТЕГОРИИ:


Архитектура-(3434)Астрономия-(809)Биология-(7483)Биотехнологии-(1457)Военное дело-(14632)Высокие технологии-(1363)География-(913)Геология-(1438)Государство-(451)Демография-(1065)Дом-(47672)Журналистика и СМИ-(912)Изобретательство-(14524)Иностранные языки-(4268)Информатика-(17799)Искусство-(1338)История-(13644)Компьютеры-(11121)Косметика-(55)Кулинария-(373)Культура-(8427)Лингвистика-(374)Литература-(1642)Маркетинг-(23702)Математика-(16968)Машиностроение-(1700)Медицина-(12668)Менеджмент-(24684)Механика-(15423)Науковедение-(506)Образование-(11852)Охрана труда-(3308)Педагогика-(5571)Полиграфия-(1312)Политика-(7869)Право-(5454)Приборостроение-(1369)Программирование-(2801)Производство-(97182)Промышленность-(8706)Психология-(18388)Религия-(3217)Связь-(10668)Сельское хозяйство-(299)Социология-(6455)Спорт-(42831)Строительство-(4793)Торговля-(5050)Транспорт-(2929)Туризм-(1568)Физика-(3942)Философия-(17015)Финансы-(26596)Химия-(22929)Экология-(12095)Экономика-(9961)Электроника-(8441)Электротехника-(4623)Энергетика-(12629)Юриспруденция-(1492)Ядерная техника-(1748)

Структура и свойства КЭМП




В соответствии с определением локальной КЭМП [1] запишем в развернутом виде матрицу
(9)


Диагональные элементы ЛКЭМП соответствуют известной классификации энергетических центров: 11 - муладхара; 22 - свадхистхана; 33 - манипура; 44 - анахата; 55 - вишудха; 66 - аджна; 77 - сахасрара. Структура энергий чакр достаточно подробно рассмотрены в литературе по эзотерике. Заметим лишь, что существуют различные классификации энергетических центров человека, доходящие до 11 чакр. В таких случаях изменятся размерность ЛКЭМП. Недиагональные элементы соответствуют взаимодействию между энергетическими центрами. Например 13, 47 соответственно описывают взаимодействию между энергетическими центрами 11, 33 и 44, 77. В связи с выражением (9) интерес представляет вопрос об определении соотношения элементов ЛКЭМП с энергетическими каналами (меридианами и коллатералями) классифицированными в подходе, развитым Китайцами [5]. Отметим, также и то, что, вообще говоря, разделяя энергетику человека на систему чакр мы отражаем определенный этап самоосознания. По мере самоосознания человека происходит слияние различных энергетических центров, превращаясь в единое энергетическое преобразование. Такому изменению соответствует процедура «сворачивания» т.е. уменьшению размерности ЛКЭМП и, в конечном этапе матрица сворачивается в скаляр. Интересно отметить также и то, что уменьшение размерности локальной КЭМП соответствует своеобразной «катастрофе» и динамика уменьшения размерности локальной КЭМП требует привлечения основных понятий известной теории катастроф [6]. Эти чрезвычайно важные исследования несомненно заслуживают пристального и отдельного рассмотрения.

Остановимся на рассмотрим структуры глобальной КЭМП. Поскольку ГКЭМП определяет взаимодействие космических частот, которые обозначим через i, с энергетической структурой человека, то естественно элементы КЭМП зависят и от i,j. В качестве такого выражения можно предложить следующее выражение
(10)

где индекс i - классифицирует космические частоты, индексы j,k - классифицируют соответствующие элементы локальной КЭМП, i,jk - константа взаимодействия космической частоты i с энергетической структурой человека. Отметим, что ранее [1] при определении ГКЭМП было введено обозначение Bi,j с двумя нижними индексами. Мы не уточняли область изменения второго индекса j, так как она зависело от определения ЛКЭМП. В рассматриваем случае j изменятся от 1 до 49. В целях удобства, вместо индекса j с областью изменения от 1 до 49 здесь используем два индекса j,k с областями изменения от 1 до 7. Что же касается области изменение первого индекса i, то он изменятся от 1 до числа равного число космических частот.

Остановимся на анализе константы i,jk - важнейшей характеристике человека, которая определяет какие космические частоты взаимодействуют с энергетической структурой человека. Появление отличных от нуля i,jk и происходит при «сонастройке» человека на космические частоты. Поскольку эту процедуру разработал и внедрил в практику В.А.Петров, фактически создав в том числе и одну из основополагающих позиций практической КОСМОЭНЕРГЕТИКИ, то естественно назовем в дальнейшем i,jk константой Петрова (КП). Важнейшим для КОСМОЭНЕРГЕТИКИ становится вопрос о природе КП. КП это то, что определяет процесс взаимодействия человека с космическими частотами. Можно сказать, «сонастройка» это энергетическое воздействие и причем такое, что появляется отличные от нуля КП т.е. «включается» взаимодействие человека с космическими частотами. Несомненно, для «сонастройки» необходимо и наличие ЛКЭМ в соответствующем состоянии. По своей значимости эта процедура соответствует новому рождению человека, рождению человека на более высоких уровнях космоса. Говоря о природе КП ясно, что она зависит от энергии, которая соответствуют коллективному состоянию космических частот. Знания по достижению состояния самосогласованного взаимодействия с Реальностью, так, чтобы появились отличные от нуля i,jk несомненно важны. Эти знания являются предметом отдельного рассмотрения. Можно лишь отметить, что знания детальной природа i,jk, которая открывает каждому возможность появления отличных от нуля i,jk соответствует высокому уровню цивилизации.

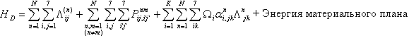
Возвращаясь к выражению для энергии, можно записать выражение

где первое слагаемое соответствует энергии человека, второе соответствует взаимодействию человека с реальностью. К – равно числу космических частот. В случае множества людей выражение для энергии можно записать в виде



здесь матрица Р описывает взаимодействие энергетической структуры между людьми [1], N – число взаимодействующих людей (семья, временная группа, народность, земляне). Хотелось бы отметить, что можно рассмотреть и другие вклады в энергию. Однако это также отдельный вопрос, который на качественном уровне детально обсужден всем развитием нашей цивилизации. Здесь лишь отмечены очевидные составляющие структуры тонкой энергии.




Поделиться с друзьями:


Дата добавления: 2015-05-07; Просмотров: 237; Нарушение авторских прав?; Мы поможем в написании вашей работы!


Нам важно ваше мнение! Был ли полезен опубликованный материал? Да | Нет



studopedia.su - Студопедия (2013 - 2025) год. Все материалы представленные на сайте исключительно с целью ознакомления читателями и не преследуют коммерческих целей или нарушение авторских прав! Последнее добавление




Генерация страницы за: 0.012 сек.