Студопедия

КАТЕГОРИИ:


Архитектура-(3434)Астрономия-(809)Биология-(7483)Биотехнологии-(1457)Военное дело-(14632)Высокие технологии-(1363)География-(913)Геология-(1438)Государство-(451)Демография-(1065)Дом-(47672)Журналистика и СМИ-(912)Изобретательство-(14524)Иностранные языки-(4268)Информатика-(17799)Искусство-(1338)История-(13644)Компьютеры-(11121)Косметика-(55)Кулинария-(373)Культура-(8427)Лингвистика-(374)Литература-(1642)Маркетинг-(23702)Математика-(16968)Машиностроение-(1700)Медицина-(12668)Менеджмент-(24684)Механика-(15423)Науковедение-(506)Образование-(11852)Охрана труда-(3308)Педагогика-(5571)Полиграфия-(1312)Политика-(7869)Право-(5454)Приборостроение-(1369)Программирование-(2801)Производство-(97182)Промышленность-(8706)Психология-(18388)Религия-(3217)Связь-(10668)Сельское хозяйство-(299)Социология-(6455)Спорт-(42831)Строительство-(4793)Торговля-(5050)Транспорт-(2929)Туризм-(1568)Физика-(3942)Философия-(17015)Финансы-(26596)Химия-(22929)Экология-(12095)Экономика-(9961)Электроника-(8441)Электротехника-(4623)Энергетика-(12629)Юриспруденция-(1492)Ядерная техника-(1748)

Реферати




Модульна контрольна робота № 1

Лабораторна робота 1. Вимірювання маси тіла

Лабораторна робота 2. Визначення модуля пружності гуми

1.Закони збереження в механіці.

2.Деформація тіл та ії віди.

3. Механічні властивості твердих тіл.

4.Гравітаційна взаємодія.

5.Рух штучних супутників Землі.

6.Реактивний рух.

 

Модуль 2. МОЛЕКУЛЯРНА ФІЗИКА І ТЕРМОДИНАМІКА

2.1 Властивості газів, рідин, твердих тіл.

1.Основні положення молекулярно-кінетичної теорії.

2. Броунівський рух.

3. Маса і розміри атомів і молекул. Кількість речовини.

4.Температура та її вимірювання.

5.Властивості газів. Тиск газу.

6.Основне рівняння молекулярно-кінетичної теорії ідеального газу.

7. Рівняння Мендєлєєва-Клапейрона.

8. Ізопроцеси. Газові закони.

9. Пароутворення і конденсація. Насичена і ненасичена пара.

10.Вологість повітря та її вимірювання. Точка роси.

11.Властивості рідин. Поверхневий натяг.

12.Змочування. Капілярні явища. Явища змочування і капілярності в живій природі й техніці.

13.Особливості будови та властивості твердих тіл.

14.Кристалічні та аморфні тіла. Рідкі кристали та їх властивості.

2.1.1.Екзаменаційні питання по темі «Властивості газів, рідин, твердих тіл»

11. Основні положення молекулярно-кінетичної теорії. Пояснення агрегатних станів речовини на основі МКТ. Маса і розмір молекул. Стала Авогадро.

12.Температура, її фізичний зміст. Вимірювання температури. Температурні шкали.

13. Ідеальний газ. Рівняння стану ідеального газу.

14.Поверхневий натяг. Капілярні явища. Явища змочування і капілярності у природі і техніці.

15. Кристалічні та аморфні тіла. Поняття про рідкі кристали.

2.1.2.Питання для самостійного відпрацювання

1. Взаємодія атомів і молекул речовин у різних агрегатних станах.

2.Швидкість молекул ідеального газу. Дослід Штерна.

3.Пароутворення і конденсація. Насичена і ненасичена пара.

4. Випаровування рідин. Насичуюча і ненасичуюча пара. Тиск насичуючої пари. Вологість повітря, її вимірювання

5.Кипіння. Залежність температури кипіння рідини від тиску.

6.Властивості рідин.

7. Полімери: їх властивості та застосування.

2.1.3. Задачі для самостійного розв’язування

1. Визначити кількість речовини і кількість молекул, що містяться в 1кг вуглекислого газу. Відповідь: v =22,7 моль, N =1,4·1025.

2. На виріб, площа поверхні якого становить 20 см2, нанесли шар срібла завтовшки 1 мкм. Скільки атомів срібла міститься в покритті? Відповідь: N =1,4·1022.

3. Вважаючи, що діаметр молекул водню становить близько 2,3·10-10м, підрахувати, яку довжину мала б нитка, коли б усі молекули, що містяться в 1 мг цього газу, розташувати в один ряд щільно одна до одної. Порівняти довжину цієї нитки із середньою відстанню від Землі до Місяця (3,8·105 км). Відповідь: 6,9·1010 м, 180 разів.

4. Густина алмазу 3500 кг/м3. Який об’єм займуть 1022 атомів цієї речовини?

Відповідь: V =5,7·10-8м3.

5. У скільки разів кількість атомів у 12кг вуглецю перевищує кількість молекул в 16кг кисню? Відповідь: у 2 рази.

6.Як зміниться тиск газу, якщо концентрація його молекул збільшиться утричі, а середня швидкість молекул зменшиться утричі? Відповідь: зменшиться в 3 рази.

7. Обчислити середню кінетичну енергію молекули одноатомного газу під тиском 20кПа.

Концентрація молекул цього газу під даним тиском становить 3·1025 м-3. Відповідь: 10-21 Дж.

8. У скільки разів середня квадратична швидкість молекул кисню менша, ніж середня квадратична швидкість молекул водню, якщо температури цих газів однакові?

Відповідь: 4 рази.

9. Визначити середню кінетичну енергію молекули одноатомного газу і концентрацію молекул при температурі 290К і під тиском 0,8 МПа. Відповідь: 6· 10-21Дж; 2 · 1026м-3.

10. У скільки разів середня квадратична швидкість молекул повітря в літній день при температурі 30°С більша, ніж у зимовий день при температурі -30°С? Молярна маса повітря становить 0,029 кг/моль. Відповідь: у 1,12 рази.

11. Чому дорівнює молярна маса газу, якщо він при температурі 27 0С і тиску 2·105 Па має густину, яка дорівнює 2,6 кг/м3? Відповідь: m = 0,032кг/моль.

12. Скільки молів і скільки молекул міститься в посудині місткістю 250 см3, якщо тиск газу 566мм. рт. ст., а температура дорівнює 100С? Відповідь: ν=8·10-3 моль, N = 48·1020.

13. Який має бути найбільший об’єм балона, щоб він вміщував т= 6,4 кгкисню t= 200 C, якщо його стінки витримують тиск р= 16 МПа? Відповідь: V= 0,0304м3.

14. Балон, що містить газ при тиску 1·105 Па, має об’єм 5·10-3м3. Як зміниться тиск газу в балоні, якщо його з’єднати з другим балоном, що практично не містить газу і має об’єм 10·10-3м3? (Т=const). Відповідь: знизиться на 0,67·105 Па.

15. Повітря міститься в гумовій камері при нормальному атмосферному тиску. Камеру стиснули так, що її об’єм зменшився на 1/4 попереднього об’єму. Під яким тиском буде газ в камері? Процес ізотермічний. Відповідь: 4/3 р0.

16. Яка маса повітря т вийде з кімнати, що має об’єм V= 60 м3, у результаті підвищення температури від Т1= 280 Кдо Т2= 300 Кпри нормальному тиску? Відповідь: т= 5 кг.

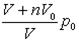
17. У посудині, об’єм якої V, нагнітають повітря поршневим насосом, об’єм циліндра якого V0. Чому дорівнюватиме тиск повітря в посудині після п качань? Початковий тиск в посудині дорівнює зовнішньому тискові р0. Відповідь: .

18. Скільки треба затратити теплоти, щоб 0,5кг води при температурі 200С довести до температури кипіння і перетворити у пару? Відповідь: 1,3·106 Дж.

19. Яка температура установиться у залізному калориметрі масою 0,07кг, у якому міститься 0,2кг води при температурі 180С, якщо у воду впустили 0,01кг пари при 1000С?

Відповідь: 319,5 К.

20. На електроплитці потужністю 600 Вт, яка має ККД 45%, нагрілося 1,5кг води, взятої при 100С, до 1000С, при цьому 5% її перетворилось в пару. Визначити час нагрівання.

Відповідь: 45 хв.

21. Температура повітря 150С, відносна вологість повітря 40%. Знайти точку роси і абсолютну вологість повітря. Відповідь: 274 К, ρа=0,005 кг/м3.

22. У посудині, що містить 10кг льоду при температурі 00С, влили 3кг води при 900С. Яка установиться температура? Чи розплавиться весь лід? Якщо ні, то яка його частина залишиться в твердому стані. Теплоємність посудини не враховувати. Відповідь: 00С. Ні. 66%.

23. У 4м3 повітря при температурі 160С міститься 40г водяної пари. Визначити відносну вологість. Відповідь: 74 %.

24. Відносна вологість повітря ввечері при температурі 180С дорівнює 55%. Чи випаде роса, якщо вночі температура знизиться до 80С? Відповідь: не випаде.

25. Визначити вагу водяної краплі, яка відривається від трубки діаметром 10-3м, вважаючи, що діаметр шийки краплі дорівнює внутрішньому діаметру трубки. Відповідь: 22,6·10-5Н.

26. У трубці вода піднімається на висоту 0,06м, а гас – на висоту 31,2·103м. Знайти коефіцієнт поверхневого натягу гасу, якщо коефіцієнт поверхневого натягу води 0,07 Н/м.

Відповідь: 0,029 Н/м.

27. Яку роботу треба виконати, щоб надути мильну бульбашку радіусом 4см? Коефіцієнт поверхневого натягу мильного розчину дорівнює 40мН/м. Відповідь: 16мДж.

28. Визначити масу води, що піднялась по капілярній трубці діаметром 0,5мм.

Відповідь: m = 12 мг.

29. У капілярній трубці, радіус якої 0,5мм, рідина піднялась на висоту 11мм. Визначити густину цієї речовини, якщо її коефіцієнт поверхневого натягу становить 0,022 Н/м.

Відповідь: 820 кг/м3.

30. На скільки опуститься вода у капілярній трубці радіусом 0,1·10-3м при підвищенні температури на 80°С, якщо з підвищенням температури на 1°С коефіцієнт поверхневого натягу зменшується на 1,5 · 10-4Н/м? Відповідь: Δ h =12· 10-3м.

2.2. Основи термодинаміки

1.Внутрішня енергія тіл. Два способи зміни внутрішньої енергії тіла. Робота газу.

2. Перший закон термодинаміки. Застосування першого закону термодинаміки до ізопроцесів.

3.Рівняння теплового балансу для найпростіших теплових процесів.

4.Адіабатний процес.

5.Теплові машини. Холодильна машина.

2.2.1.Екзаменаційні питання по темі «Основи термодинаміки»

16. Внутрішня енергія, способи її зміни. Кількість теплоти та робота. Перший закон термодинаміки.

17. Принцип дії теплових двигунів. ККД теплового двигуна. Проблеми захисту навколишнього середовища від забруднення.

2.2.2.Питання для самостійного відпрацювання

1.Способи зміни внутрішньої енергії тіла.

2.Необоротність теплових та інших процесів

2.2.3. Задачі для самостійного розв’язування

1. Газ, який займає об’єм 20л за нормальних умов, ізобарно нагріто до 80°С. Визначити роботу розширення газу.

Відповідь: 550 ДЖ.

2. В циліндрі під тиском 19,6 · 104 Па міститься 1м3 повітря при 273К. Яка буде виконана робота при ізобаричному нагріванні його на 10К?

Відповідь: А = 7330 Дж.

3. Повітря перебуває при 273К під тиском 14,7 · 104Па. Яку роботу виконує 103м3 повітря при ізобаричному розширенні, якщо температура його підвищиться до 273К?

Відповідь: 11 Дж.

4. Під час ізотермічного розширення ідеальний газ виконав роботу 20 Дж. Яку кількість теплоти надано газу?

Відповідь: 20 Дж.

5. Коли у воду, що має температуру 10°С, вкинули тіло, нагріте до 100°С, через якийсь час встановилась загальна температура 40°С. Яку температуру матиме вода, якщо, не виймаючи першого тіла, в неї кинули ще одне таке саме тіло, нагріте теж до температури 100°С?

Відповідь: 55°С.

6. Для приготування ванни, місткість якої 200л, змішали холодну воду при температурі 10°С з гарячою при температурі 60°С. Які об’єми холодної і гарячої води треба взяти, щоб у ванні встановилася температура 40°С?

Відповідь: 80л, 120л.

7. Для ізобарного нагрівання 800 молів газу на 500К їм було надано 9,4 МДж теплоти. Визначити роботу газу, а також його внутрішню енергію.

Відповідь: 3,3 МДж, 6,1 МДж.

8. Температура нагрівника ідеальної теплової машини становить 117°С, а холодильника 27°С. Кількість теплоти, що її дістає машина від нагрівника за 1с, дорівнює 60 кДж. Обчисліть ККД машини, кількість теплоти, яку збирає холодильник за 1с, і потужність машини.

Відповідь: h = 23%, Q= 46 кДж, Р =14 кВт.

9. В ідеальній тепловій машині за рахунок кожного кілоджоуля енергії, що її дає нагрівник, виконується робота 300Дж. Визначити ККД машини і температуру нагрівника, якщо температура холодильника 280К.

Відповідь: h = 30%; Тн= 400 К.

10. У паровій турбіні витрачається 0,35кг дизельного пального на 1 кВт·год. Температура пари, яка надходить у турбіну, дорівнює 250°С, температура холодильника 30°С.Обчислити фактичний ККД турбіни і порівняти його з ККД ідеальної теплової машини, яка працює за тих самих температурних умов.

Відповідь: h 1 = 24%; h 2 = 42%.

11. Двигун внутрішнього згорання витрачає за 1 год. 25, 3кг нафти. ККД двигуна 25%. Визначити потужність двигуна.

Відповідь: 81 кВт.

12. Якби кінетична енергія автомобіля «Волга» масою 1500кг, що рухається із швидкістю 33,3 м/с, раптово перетворилася на тепло, то скільки б теплоти виділилося?

Відповідь: 816,75 кДж.




Поделиться с друзьями:


Дата добавления: 2015-05-23; Просмотров: 1545; Нарушение авторских прав?; Мы поможем в написании вашей работы!


Нам важно ваше мнение! Был ли полезен опубликованный материал? Да | Нет



studopedia.su - Студопедия (2013 - 2026) год. Все материалы представленные на сайте исключительно с целью ознакомления читателями и не преследуют коммерческих целей или нарушение авторских прав! Последнее добавление




Генерация страницы за: 0.013 сек.