Студопедия

КАТЕГОРИИ:


Архитектура-(3434)Астрономия-(809)Биология-(7483)Биотехнологии-(1457)Военное дело-(14632)Высокие технологии-(1363)География-(913)Геология-(1438)Государство-(451)Демография-(1065)Дом-(47672)Журналистика и СМИ-(912)Изобретательство-(14524)Иностранные языки-(4268)Информатика-(17799)Искусство-(1338)История-(13644)Компьютеры-(11121)Косметика-(55)Кулинария-(373)Культура-(8427)Лингвистика-(374)Литература-(1642)Маркетинг-(23702)Математика-(16968)Машиностроение-(1700)Медицина-(12668)Менеджмент-(24684)Механика-(15423)Науковедение-(506)Образование-(11852)Охрана труда-(3308)Педагогика-(5571)Полиграфия-(1312)Политика-(7869)Право-(5454)Приборостроение-(1369)Программирование-(2801)Производство-(97182)Промышленность-(8706)Психология-(18388)Религия-(3217)Связь-(10668)Сельское хозяйство-(299)Социология-(6455)Спорт-(42831)Строительство-(4793)Торговля-(5050)Транспорт-(2929)Туризм-(1568)Физика-(3942)Философия-(17015)Финансы-(26596)Химия-(22929)Экология-(12095)Экономика-(9961)Электроника-(8441)Электротехника-(4623)Энергетика-(12629)Юриспруденция-(1492)Ядерная техника-(1748)

C. А, Е 50 страница




Тіоредоксинредуктаза

Тіоредоксинтрансфераза

Тирозиназа

Тирозинамінотрансфераза

Тіоредоксиндекарбоксилаза

ANSWER: A

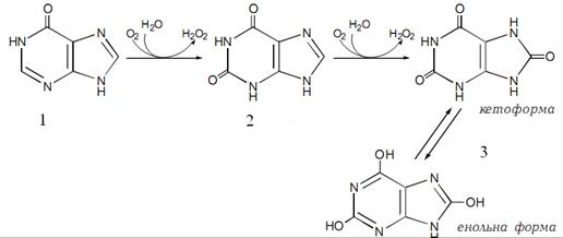
Кінцевими продуктами №1 катаболізму урацилу є:

сечова кислота і СО2

β-уреїдпропіонова кислота

β-аланін і сечовина

рибоза і СО2

гіпоксантин і ФАДН2

ANSWER: С

Спадковий дефект ферменту №2 на рис. характеризується наступними ознаками: затримка росту і розумового розвитку дітей у ранньому віці, мегалобластична анемія. Назвіть цей фермент:

Карбамоілфосфатсинтетаза

Аспартаткарбомоїлтрансфераза

Оротатфосфорибозилсинтетаза

Оротатфосфорибозилтрансфераза

Орнітинкарбамоїлтрансфераза

ANSWER: D

Номером 3 на рис. позначено:

Цитозин

Тимін

Аденін

Гуанін

Уридил

ANSWER: А

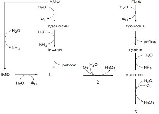
Назвіть проміжний продукт перетворення ІМФ та АМФ, позначений №1 на рисунку:

Аденін

Гуанін

Гуанозин

Гіпоксантин

Інозитол

ANSWER: D

Який фермент №2 на рисунку здійснює перетворення речовини №1 у ксантин?

Ксантинпероксидаза

Аденозиндезаміназа

Ксантиноксидаза

Інозингідратаза

Гіпоксантинамінотрансфераза

ANSWER: С

Назвіть кінцевий продукт №3 на рисунку перетворення АМФ та ГМФ:

Гіпоксантин

Сечовина

СО2 і NH3

Аміноізобутират

Сечова кислота

ANSWER: Е

Кінцевим продуктом №1 на рисунку перетворення інозинмонофосфату (ІМФ) є:

ГМФ

АМФ

ЦМФ

УМФ

ТМФ

ANSWER: В

Вкажіть кінцевий продукт №2 на рисунку перетворення інозинмонофосфату (ІМФ):

ГМФ

ТМФ

ЦМФ

УМФ

АМФ

ANSWER: А

На рисунку зображена схема синтезу:

Сечовини

Сечової кислоти

АМФ

ГМФ

Тиміну

ANSWER: В

Назвіть речовину, зображену на рисунку №1:

Ксантин

Гуанозин

Гіпоксантин

Інозит

Аденін

ANSWER: С

Назвіть речовину зображену на рисунку №2:

Гіпоксантин

Гуанін

Інозин

Ксантин

Аденін

ANSWER: D

Назвіть кінцевий продукт №3 зображеного на рисунку перетворення:

Гіпоксантин

Сечовина

Сечова кислота

Інозит

Гуанін

ANSWER: С

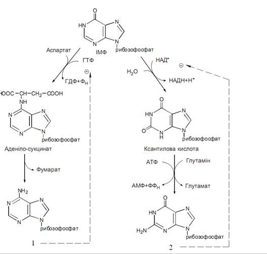
Першим продуктом №2 на рисунку синтезу піримідинових нуклеотидів є:

Карбамідфосфат

Карбамоїлфосфат

Карбамоїласпартат

Карбоангідрид

Карбоксипептид

ANSWER: В

Для синтезу піримідинових основ необхідний один із вихідних продуктів, зазначений №1 на рисунку:

Сечовина

СО2

О2

Аспартат

Гліцин

ANSWER: В

Біохімічним показником, який характеризує спадкове порушення синтезу уридилової кислоти(УМФ), є проміжний продукт №3 на рисунку:

Гомогентизинова кислота

Карбамоїлфосфат

Цитозин

Дигідрооротова кислота

Оротова кислота

ANSWER: Е

Спадкове порушення синтезу піримідинів (УМФ), зображеного на рисунку,відоме як:

Аспартатацидурія

Алкаптонурія

Урацилурія

Оротацидурія

Цитозинурія

ANSWER: D

Пуринове ядро містить 4 атоми азоту. Вказати походження 1 атома азоту на даному рисунку:

Глутамін

Гліцин

Аспартат

Триптофан

Метіонін

ANSWER: C

Вказати походження 7 атома азоту в пуриновому ядрі нуклеотиду:

Глутамін

Гліцин

Аспартат

Триптофан

Метіонін

ANSWER: B

Відомо, що пуринове ядро містить 4 атоми азоту. Вкажіть походження 3 атома азоту на даному рисунку:

Глутамін

Гліцин

Аспартат

Триптофан

Метіонін

ANSWER: A

Вкажіть походження 9 атома азоту в пуриновому ядрі:

Глутамін

Гліцин

Аспартат

Триптофан

Метіонін

ANSWER: A

Пуринове ядро містить 5 атомів вуглецю. Вкажіть походження 4 атома вуглецю на даному рисунку:

СО2

Гліцин

Аспартат

НСО3-

-СООН

ANSWER: B

Вкажіть походження 5 атома вуглецю в гетероциклічному ядрі пурину:

СО2

Гліцин

Аспартат

НСО3-

-СООН

ANSWER: B

Вкажіть походження 6 атома вуглецю в гетероциклічному ядрі пурину:

СО2

СО

–СН3

НСО3-

-СООН

ANSWER: A

Вказати походження 2 атома вуглецю пурину:

СО2

Формілтетрагідрофолієва кислота

Пантотенова кислота

НСО3-

Метенілтетрагідрофолієва кислота

ANSWER: B

Вказати походження 8 атома вуглецю пурину:

СО2

Формілтетрагідрофолієва кислота

Пантотенова кислота

НСО3-

Метенілтетрагідрофолієва кислота

ANSWER: E

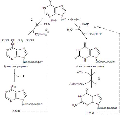
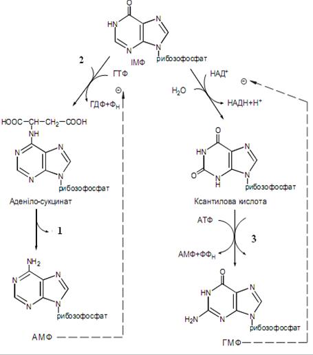
Назвіть сполуку №1 на схемі синтезу пуринових нуклеотидів, яка утворюється в процесі розщеплення аденілосукцинату:

Сукцинат

Піруват

Лактат

Фумарат

Глутамат

ANSWER: D

Яка сполука №2 є донором аміногрупи на шляху синтезу аденозинмонофосфату?

Глутамін

Аспарагінова кислота

Аргінін

Гліцин

Фенілаланін

ANSWER: B

Друга стадія на шляху синтезу гуанозинмонофосфату супроводжується заміщенням кисню на аміногрупу. Вкажіть сполуку №3, яка виступає донором амідної групи:

Аланін

Аспартат

Глутамін

Лейцин

Лізин

ANSWER: C

Перша стадія синтезу гуанозинмонофосфату супроводжується окисненням вуглецю в кільці пурину з утворенням ксантинмонофосфату. Назвіть сполуку №4, яка є акцептором водню в даному випадку:

ФАД

ПАЛФ

НАД+

ТГФК

Ацетил-КоА

ANSWER: C

Назвіть сполуку №1 на рисунку, яка гальмує реакцію синтезу аденілосукцинату з інозинмонофосфату:

АТФ

ГМФ

ГТФ

ГДФ

АМФ

ANSWER: E

Яка сполука №2 на рисунку гальмує реакцію синтезу із інозинмонофосфату ксантилової кислоти?

АМФ

АТФ

УМФ

ІМФ

ГМФ

ANSWER: E

Назвіть фермент, який каталізує зображене на рисунку перетворення:

Аденілосукцинатсинтетаза

Амінотрансфераза

Аденілаткіназа

Аденілатциклаза

Аконітаза

ANSWER: C

Біоенергетика як розділ науки про енергетичні перетворення в організмі вивчає:

джерела енергії

способи запасання енергії

механізми енергоперетворення

шляхи використання енергії

*всі відповіді правильні

Біологічне окиснення органічних речовин до СО2 і Н2О з виділенням енергії - це згоряння цих же речовин, що може відбутися поза організмом. В чому відмінність між згорянням поза організмом і біологічним окисненням?

В організмі процес згоряння (окиснення) відбувається без значного підвищення температури тіла.

Здійснюється за участю ферментів.

Відбувається без виділення диму і полум’я.

Не розсіюється в довкілля через воду, наявну в тканинах.

*Все назване характерне для біологічного окиснення.

Енергія, що звільняється в процесі біологічного окиснення (тканинного дихання), тобто енергія розірваних хімічних зв’язків, використовується головним чином:

спершу перетворюється на теплову енергію, яка далі передається на механічну;

*запасається у вигляді макроергічних зв’язків;

вивітрюється у вигляді електромагнітного випромінювання;

акумулюється в клітинах;

нагромаджується у вигляді тепла.

Біологічне окиснення каталізується ферментами і може здійснюватись такими шляхами, крім:

приєднання кисню до субстрату;

відщеплення водню від субстрату;

відщеплення електронів;

приєднання вільних радикалів кисню;

*відщеплення води від субстрату.

Енергія гідролізу макроергічної сполуки АТФ використовується на всі потреби клітини, крім:

реакції біосинтезу білків, ліпідів, вуглеводів, нуклеїнових кислот;

механічної роботи – скорочення скелетних і гладеньких м’язів, міокарду, руху хромосом при мітозі;

активного транспорту речовин (осмотична робота) через мембрани;

генерація біопотенціалів;

* розщеплення НОН на іони.

Зміна вільної енергії біохімічних реакцій може збільшуватись або зменшуватись, тобто перебігати за енд- або екзергонічним характером. Який зв’язок між цими перетвореннями притаманний біосистемам?

Екзергонічні процеси не пов’язані з ендергонічними.

*В час екзергонічних процесів звільняється енергія, що використовується ендергонічних перетворень.

Ендергонічні служать основою для перебігу екзергонічних процесів.

Екз- і ендергонічні процеси перебігають в різний час.

Екзергонічні процеси призводять до виділення теплової енергії.

АТФ, як і інші нуклеозидтрифосфати, належить до макроергічних сполук, при гідролізі яких звільняється багато енергії макроергічних зв’язків. Енергії макроергічного зв’язку відповідають такі величини:

10 кДж/моль;

15 кДж/моль;

7 кДж/моль;

19 кДж/моль;

*21-30 кДж/моль.

До макроергічних сполук відносяться всі, крім:

АТФ, ЦТФ, ГТФ, ТТФ;

фосфоенолпіруват, 1,3-дифосфогліцерат;

креатинфосфат;

ацетил КоА, сукциніл КоА;

*глюкозо-6-фосфат.

В організмі людини міститься всього 50 г АТФ, а утилізується близько 60 кг АТФ. Виберіть обгрунтоване пояснення цього стану:

Утворений АТФ швидко розкладається на АМФ і Фн.

*Значеа кількість АТФ (60 кг) характеризує не загальну її масу, а швидкість перетворення АТФ до АДФ із виділенням теплоти.

Частина утвореного АТФ вилучається з організму нирками.

Надлишок утвореної АТФ просто руйнується до нуклеозиду і трифосфату.

Кількість утвореної АТФ важко підраховується.

З нижченаведених варіантів вибрати головні шляхи утворення АТФ із АДФ і Фн :

*субстратне і окиснювальне фосфорилювання АДФ;

аденілаткіназна реакція;

креатинфосфокіназне перетворення АДФ;

перетворення глюкозо-1-фосфату;

перетворення-6-фосфату.

Під тканинним диханням розуміють процес окиснювального розщеплення органічних речовин їжі. Воно відбувається в 3 стадії: 1а-шлунково-кишкова, 2а відбувається в цитоплазмі клітин, 3я-в мітохондріях. У якій із них виділяється найбільше енергії у вигляді АТФ?

У першій стадії.

У другій стадії.

У першій і другій разом.

*У третій стадії.

У всіх стадіях однаково.

В процесі катаболізму харчових продктів можна виділити два типи шляхів – специфічний і загальний. Які речовини утворюються на специфічному шляху?

*Специфічним шляхом із білків, ліпідів та вуглеводів утворюється ацетил КоА і піруват.

Жирні кислоти і холестерин.

Нікотинамід.

Лимонна кислота.

Сукциніл КоА.

Загальний шлях катаболізму – це окиснювальне декарбоксилювання ПВК та цикл Кребса. Основним їх призначення є:

*забезпечувати дихальний ланцюг субстратами окиснення (донорами водню);

вилучати енергію АТФ;

завершувати окиснення молочної та піровиноградної кислот;

використовувати як коферменти вітаміни В1, В2, В3 і В5;

активувати цитохромоксидазу.

Основні функції цитратного циклу – всі, крім:

об’єднує катаболізм білків, ліпідів та вуглеводів;

виконує як катаболітичну, так і анаболітичну функцію (деякі субстрати циклу йдуть на синтетичні процеси);

енергетична функція – утворюється 1 молекула АТФ;

основний генератор водню для дихального ланцюга;

*служить джерелом теплової енергії.

Термінальною стадією тканинного дихання є дихальний ланцюг. Тут відбувається доокиснення судстратів, а виділена енергія використовується на утворення АТФ. Яким способом відбувається тут окиснененя?

Приєднанням атомів кисню до субстратів.

Приєднанням цілої молекули кисню.

Відщепленням протонів.

*Відщепленням атомів водню і перенесенням протонів і електронів на молекулярний кисень.

Приєднання кисню до субстрату.

Ферменти, що каталізують окиснення субстратів шляхом дегідруавння називають дегідрогеназами. Розрізняють нікотинамідні і флавінові дегідрогенази. Перші характеризуються такими особливостями за винятком:

коферментом у них є НАД+ або НАДФ+;

нікотинаміддинуклеотиди знаходяться в дисоційованій формі;

зв’язуються з апоферментом тільки в ході реакції;

більшість НАД-залежних дегідрогеназ локалізовані в матриксі мітохондрій;

*утворені під час окиснення субстратів НАДН переносяться безросередньо на цитохром С.

НАДФ-залежним дегідрогеназам притаманні такі властивості, крім:

перебувають у дисоційованому стані;

під час реакцій зв’язуються з апоферментом;

локалізуються переважно в цитоплазмі;

утворений НАДФН не віддає е- до дихального ланцюга, а використовується як відновник;

*утворений НАДФН передається убіхінону.

Флавінові дегідрогенази постачають до дихального ланцюга відновлені коферменти ФМН або ФАД. Для цих коферментів характерним є все, за винятком:

вони міцно зв’язані з апоферментом;

в процесі дегідрування субстратів вони перетворюються на відновлені форми (ФМН)Н2 чи ФАДН2;

флавінові коферменти приєднують по два протони і два електрони;

ФМН і ФАД є простетичною групою НАДН-дегідрогенази;

*ФМН і ФАД можуть знаходитись у дисоційованому стані.

Убіхінон – низькомолекулярна органічна ліпофільна речовина, що вільно переміщається у внутрішній мембрані мітохондрій. У дихальному ланцюзі він бере участь у таких процесах:

приймає електрони і протони від НАДН;

приймає електрони і протони від ФАДН2;

*віддає електрони і протони на цитохром „в”;

переносить електрони на цитохром „в”;

служить акцептором атомів водню і донором „е” для цитохрому „в” та протонів для середовища.

Цитохроми – гемвмісні білки внутрішньої мембрани мітохондрій, що переносять електрони по дихальному ланцюгу від убіхінону послідовно через атоми заліза цитохромів в, с1, с, а1 і а3 на кисень. В основі передачі електронів через цитохромну систему лежить:

*зростання окисно-відновного потенціалу кожного наступного переносника в порівнянні з попереднім;

близьке сусідство – контакт між окремими цитохромами;

зростання спорідненості окремих цитохромів – переносників до кисню;

локальне зменшення в’язкості мембрани між сусідніми цитохромами;

зменшення ОВП між сусідніми цитохромами кожного наступного переносника.

В дихальному ланцюзі розрізняють 4 функціональні комплекси (I, II, III, IV), кожен з яких каталізує певну частину реакцій ланцюга. В цих комплексах здійснюються такі перетворення, крім:

перенос електронів від НАДН до убіхінону;

перенос „е” від сукцинату до убіхінону;

перенос „е” від убіхінону до цитохрому с;

перенос „е” від цитохрому с до кисню;

*перенос „е” від цитохрому „в” до кисню.

Існує ряд речовин, що блокують перенос „е” у дихальному ланцюгу. Так, барбітурати і ротенон інгібують перенос „е” на рівні:

*НАДН - КоQ;

сукцинат – КоQ;

КоQ – цитохром в;

цитохром с – кисень;

цитохром в - цитохром с.

Антибіотик антиміцин А призупиняє транспорт „е” на рівні:

НАДН – КоQ;

сукцинат – КоQ;

КоQ – цитохром в;

*цитохром в - цитохром с;

цитохром с – кисень.

Інгібіторами цитохромоксидази є:

трифторацетон;

антиміцин;

барбітурати;

холестерин;

*ціаніди, СО, сірководень.

При перенесенні 2х „е” від НАДН до О2 ОВП зростає до +0,82 В,при цьому зміна вільної енергії становить 220 кДж, що достатньо для синтезу не менше 4 АТФ, а при переносі „е” від ФАДН2 до О2 кількість вільної енергії менша на 50 кДж/м. Це вказує на те, що:

енергія окиснення виділяється порціями;

наявність трьох ділянок в ланцюзі транспорту „е”, де перепад енергії достатній для утворення 1 молекули АТФ;

частина енергії транспорту „е” витрачається у вигляді тепла;

в міру зростання величини ОВП компонентів дихального ланцюга відбувається розсіювання (зменшення) вільної енергії відщеплених „е”;

*кількість утворених молекул АТФ залежить від виду кофермкнтів дегідрогеназ.

При переносі „е” від НАДН до кисню синтезується 3 молекули АТФ. Вкажіть ділянки дихального ланцюга, де перенос вільної енергії електронів недостатній для утворення 1 молекули АТФ:

НАДН → ФМН;

цитохром в → цитохром с1;

НАДН → ФМН;

цитохроми а1, а3 → кисень;

*ФАДН2 → КоQ.

Кількість АТФ утвореного у дихальному ланцюгу виражають відношенням Р/О (коефіцієнт фосфорилювання), яке відповідає кількості Фн, включеного у АТФ із розрахунку на один атом спожитого кисню. Коефіцієнт фосфорилювання буде менший 2 при окисненні таких субстратів:

ФАДН2;

*аскорбат;

КоQН2;

сукцинат;

НАДН.

До тканинного дихання мають відношення всі речовини, крім:

пантотенова кислота;

тіаміндифосфат;

рибофлавін;

ніацин;

*піридоксальфосфат.

Субстратами тканинного дихання можуть бути всі речовини, крім:

сукцинат;

*лактат;

ізоцитрат;

малат;

α-кетоглутарат.

Потрапляння в організм ціаніду калію викликає смерть протягом кількох хвилин внаслідок утворення міцного комплексу з двовалентним залізом у складі ферменту:

*цитохромоксидази;

АТФ-синтетази;

каталази;

гемоглобіну;

пероксидази.

Дихальний ланцюг у мітохондріях виконує функції:

перенос електронів на цитохроми;

окиснення речовин до СО2 і Н2О;

перетворення речовин і енергії;

забезпечення клітин НАД+ і ФАД;

*перенос електронів від НАДН2 на кисень з утворенням АТФ.

Послідовність компонентів дихального ланцюга визначається:

вибірковою здатністю акцептувати і передавати електрони;

подібністю в структурі сусідніх переносників електронів;

розчинністю у воді;

прагненням пар окиснення-відновлення до розсіювання вільної енергії;

*збільшенням величини окисно-відновного потенціалу між сусідніми компонентами ланцюга.

Для багатьох патологічних процесів характерним є виникнення стану гіпоксії, під час якої при неповному відновленні кисню утворюється пероксид водню. Який фермент розщеплює його?

*Каталаза.

Цитохромоксидаза.

Лактатдегідрогеназа.

Еластаза.

Фосфогексокіназа.

Процес окиснювального фосфорилювання (утворення АТФ із АДФ і Фн) поєднаний із переносом „е” по дихальному ланцюгу. Про це засвідчують такі факти, крім:

окиснення НАДН супроводжується утворенням АТФ;

окиснення у мітохондріях ФАДН2 веде до утворення АТФ;

у присутності інгібіторів дихального ланцюга (ротенон, антиміцин, чадний газ) утворення АТФ зменшується;

у присутності роз’єднувачів дихання і фосфорилювання (вільні жирні кислоти, динітрофенол та ін) транспорт електронів по дихальному ланцюгу не порушується, але АТФ не утворється;

*фосфопіридоксаль та лактат не впливають на утворення АТФ.

Хворий протягом тривалого часу піддавався впливу радіації, внаслідок чого в нього встановлено посилення вільнорадикального пероксидного окиснення. Як це впливає на окисне фосфорилювання АТФ?

зовсім не впливає;

підсилить окисне фосфорилювання;

викличе незначне підсилення окисного фосфорилювання;

*пригнітить окисне фосфорилювання;

в різних тканинах будуть різні зміни в процесі фосфорилювання.

Субстратами дихального ланцюга є продукти, що утворюються переважно:

в цитоплазмі;

в процесі гліколізу;

*в циклі трикарбонових кислот;

в ендоплазматичній сітці;

в ході глюконеогенезу.

До піруватдегідрогеназного шляху входять три ферменти:

піруваткарбоксилаза, лактатдегідрогеназа, цитратсинтаза;

*піруватдегідрогеназа, дигідроліпоілацетилтрансфераза, дигідроліпоілдегідрогеназа;

цитратсинтаза, піруваткарбоксилаза, карбангідраза;

дигідроліпоілдегідрогеназа, сукцинілтіолаза, аргіназа;

ацетилтрансфераза, лактатдегідрогеназа, аконітаза.

При гіпоксичних станах енергопостачання клітин і тканин здійснюється за допомогою:

каталізу;

глюконеогенезу;

окиснення жирних кислот;

пентафосфатного циклу;

*гліколізу.

Найменш енергетичним субстратом дихального ланцюга є:

сукцинат;

НАДН2;

КоQН2;

ФАДН2;

*аскорбат.

Скільки молекул АТФ утворюється при повному окисненні оцтової кислоти до СО2 і Н2О?

1 молекула АТФ;

24 молекули АТФ;

*12 молекул АТФ;

3 молекули АТФ;

38 молекул АТФ.

Скільки молекул АТФ утворюється при повному окисненні піровиноградної кислоти до СО2 і Н2О?

24 молекули АТФ;

12 молекул АТФ;

*15 молекул АТФ;

28 молекул АТФ;

1 молекула АТФ.

Скільки молекул АТФ утворюється при повному окисненні глутамінової кислоти до СО2 і Н2О?

3 молекули АТФ;

6 молекул АТФ;

*9 молекул АТФ;

12 молекул АТФ;

24 молекули АТФ.

Інтенсивність дихання (транспорту електронів) в клітині залежить від співвідношення АДФ:АТФ. Швидкість дихання збільшується за таких умов:

при зростання вмісту АТФ;

при зменшенні вмісту АТФ;

при зменшенні вмісту АДФ;

*при збільшенні вмісту АДФ;

при рівності АДФ=АТФ.

Витрачання в клітині АТФ призводить до зростання рівня АДФ, що автоматично викликає:

пригнічення дихання;

*стимуляцію дихання;

посилення анаболізму вуглеводів, ліпідів, білків;

роз’єднання процесів дихання і фосфорилювання;

не впливає на метаболізм.

Енергетичний заряд клітини знаходиться в межах від 0 до 1.0. В стані спокою величина його близька 0.8. Підвищення величини енергетичного заряду вказує на:




Поделиться с друзьями:


Дата добавления: 2015-05-24; Просмотров: 2448; Нарушение авторских прав?; Мы поможем в написании вашей работы!


Нам важно ваше мнение! Был ли полезен опубликованный материал? Да | Нет



studopedia.su - Студопедия (2013 - 2026) год. Все материалы представленные на сайте исключительно с целью ознакомления читателями и не преследуют коммерческих целей или нарушение авторских прав! Последнее добавление




Генерация страницы за: 0.008 сек.