Студопедия

КАТЕГОРИИ:


Архитектура-(3434)Астрономия-(809)Биология-(7483)Биотехнологии-(1457)Военное дело-(14632)Высокие технологии-(1363)География-(913)Геология-(1438)Государство-(451)Демография-(1065)Дом-(47672)Журналистика и СМИ-(912)Изобретательство-(14524)Иностранные языки-(4268)Информатика-(17799)Искусство-(1338)История-(13644)Компьютеры-(11121)Косметика-(55)Кулинария-(373)Культура-(8427)Лингвистика-(374)Литература-(1642)Маркетинг-(23702)Математика-(16968)Машиностроение-(1700)Медицина-(12668)Менеджмент-(24684)Механика-(15423)Науковедение-(506)Образование-(11852)Охрана труда-(3308)Педагогика-(5571)Полиграфия-(1312)Политика-(7869)Право-(5454)Приборостроение-(1369)Программирование-(2801)Производство-(97182)Промышленность-(8706)Психология-(18388)Религия-(3217)Связь-(10668)Сельское хозяйство-(299)Социология-(6455)Спорт-(42831)Строительство-(4793)Торговля-(5050)Транспорт-(2929)Туризм-(1568)Физика-(3942)Философия-(17015)Финансы-(26596)Химия-(22929)Экология-(12095)Экономика-(9961)Электроника-(8441)Электротехника-(4623)Энергетика-(12629)Юриспруденция-(1492)Ядерная техника-(1748)

Ситуаційні задачі 8 страница. 733. Яка з наведених сполук належить до ненасичених:




A. Пентен-2

B. Ізобутан

C. Октен-3;

D. Бутадієн.

E. *Бензен

733. Яка з наведених сполук належить до ненасичених:

A. Хлорметан;

B. Декан;

C. 3-амінопентан;

D. 2,2-диметилбутан.

E. *Бутен-2;

734. Яка з наведених сполук належить до ароматичних:

A. Бутадієн-1,2;

B. Ізобутан

C. Октен-3

D. Циклогексан

E. *Нафталін;

735. Хімічний зв’язок, утворений спільними електронними парами, називається:

A. Іонним;

B. Металічним;

C. Водневим;

D. Пептидним.

E. *Ковалентним;

736. До якого типу реагентів належать вільні атоми або частинки з неспареним електроном, утворені внаслідок гомолітичного розриву ковалентного зв’язку.

A. Аніонні реагенти

B. Катіонні реагенти

C. Протонні реагенти

D. Йонні реагенти.

E. *Радикальні реагенти

737. Атом, або група атомів, які визначають належність сполуки до певного класу і відповідають за її хімічні властивості, називається:

A. Родоначальна структура.

B. Гомологічна різниця.

C. Радикал.

D. Гомологічний ряд.

E. *Функціональна група.

738. Хімічна структура, яка складає основу органічної сполуки, називається:

A. Замісник.

B. Радикал.

C. Функціональна група.

D. Гомологічний ряд.

E. *Родоначальна структура.

739. Виберіть назвy хімічної сполуки циклічної будови:

A. Пентан-2;

B. Октан;

C. Пропілен;

D. 2,2-дихлорпропан.

E. *Фенол

740. Подвійний зв’язок, який є в органічних сполуках, утворений....

A. Двома π-зв’язками.

B. Двома σ- зв’язками.

C. Одним σ-зв’язком і водневим зв’язком.

D. Одним π-зв’язком і водневим зв’язком.

E. *Одним σ- і одним π-зв’язком.

741. До якого типу хімічних реакій належить реакція:

A. Заміщення;

B. Відщеплення;

C. Ізомеризації

D. Перегрупування.

E. *Приєднання;

742. Група споріднених органічних сполук з однотипною структурою, кожен наступний член якої відрізняється від попереднього на -СН2- групу, називається:

A. Родоначальна структура.

B. Замісник невуглеводневий

C. Радикал.

D. Функціональна група.

E. *Гомологічний ряд.

743. До якого типу належить реакція CH3-CH2-Сl + NaOH → CH3-CH2-OH + NaCl:

A. Приєднання;

B. Відщеплення;

C. Окислення;

D. Перегрупування;

E. *Заміщення;

744. В сполуці CH3-CH2-CH2-Cl замісник Cl проявляє такий електронний ефект:

A. +М

B. +І;

C. -М;

D. +І, -М.

E. *-І;

745. Індуктивний ефект якого атому дорівнює нулю:

A. Р

B. S;

C. O;

D. N;

E. *H.

746. Сполука є ароматичною, якщо вона має плоский замкнений цикл і спряжену π-електронну систему, що охоплює всі атоми циклу і містить: (n - кількість циклів)

A. 4n+1 електронів;

B. 4n-2 електронів;

C. 4n електронів;

D. 4n-1 електронів.

E. *4n+2 електронів;

747. Гідроксисполуки - це:

A. Складні ефіри триатомного спирту гліцерину.

B. Похідні вуглеводів, у молекулах яких один або декілька атомів водню заміщені на Оксиген.

C. Похідні вуглеводів, у молекулах яких один або декілька атомів водню заміщені на групу С=О.

D. Похідні солуки вуглеводнів, що мають групи СОН.

E. *Похідні вуглеводнів, у молекулах яких один або декілька атомів водню заміщені на гідроксильну групу.

748. Виберіть правильне твердження. Спирти - це:

A. Сполуки, в яких один або декілька атомів водню заміщені на алкільні радикали;

B. Сполуки, молекули яких складаються з великої кількості структурних ланок;

C. Циклічні структури до складу циклу яких входить Оксиген;

D. Сполуки, в яких атоми водню заміщені на аміногрупи.

E. *Похідні вуглеводнів, у молекулах яких гідроксильна група сполучена з атомом вуглецю, що знаходиться в стані sp3 - гібридизації;

749. Виберіть класифікацію спиртів за місцем розміщення гідроксильних груп:

A. Одноатомні, двоатомні, триатомні;

B. Одноосновні, двохосновні, трьохосновні;

C. Гетероциклічні і гомоциклічні;

D. Аліфатичні, ароматичні та аліциклічні.

E. *Первинні, вторинні, третинні;

750. Із поданих варіантів вибрати спирт:

A. ;

 

B. ;

C. CH2═CH─CH3;

D. НОН.

E. *CH3─CH2─CH2─CH2─ОH;

751. Який з наведених спиртів при окисненні дає ацетон?

A. СН3 - СН 2 -СН 2-СН2 -ОН;

B. ;

C. ;

D. ;

E. * .

752. За допомогою якого з наведених реагентів можна відрізнити гліцерин від етанолу?

A. HBr;

B. FeCl3;

C. KMnO4;

D. [Ag(NH3)2]OH.

E. *Cu(OH)2;

753. Визначте сполуку, яка утворюється при взаємодії одного моля фенолу з трьома молями брому:

A.

B.

C.

D.

E. *

754. Розчинність у воді нижчих аліфатичних спиртів із зростанням молекулярної маси і довжини вуглеводневого ланцюга:

A. Збільшується;

B. Не змінюється;

C. Не залежить від вище вказаного

D. Нижчі спирти не розчинні у воді;

E. *Зменшується.

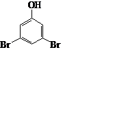
755. Яка сполука утворюється при взаємодії фенолу з бромною водою (випадає в осад)?

A. 4-Бромфенол;

B. 2-Бромфенол;

C. 2,4-Дибромфенол;

D. 3-Бромфенол;

E. *2,4,6-Трибромфенол

756. Відомо, що двохатомні спирти певної будови утворюють з гідроксидом міді (ІІ) гліколят міді - комплексну сполуку синього кольору. Який з наведених діолів дає цю реакцію?

A. Бутандіол-1,4;

B. Пентандіол-1,5;

C. Бутандіол-1,3;

D. Пропандіол-1,3.

E. *Етандіол-1,2;

757. Пропанол-1 має формулу:

F.

G. ;

H. ;

I. .

J. * ;

758. Пентанол-2 має формулу:

F.

G.

H.

I.

J. *

759. Яка з наведених сполук, що належать до ОН-кислот, виявляє найбільші кислотні властивості?

A. Пропанол-2;

B. Бутанол-2;

C. Метанол;

D. Етанол.

E. *Фенол;

760. Яка з формул виражає загальну формулу насичених одноатомних спиртів?

A. CnH2n+2;

B. CnH2n+1COH;

C. CnH2nOH;

D. CnH2n-1OH.

E. *CnH2n+1OH;

761. Як називається функціональна група спиртів?

A. Карбонільна.

B. Карбоксильна.

C. Оксимна.

D. Тіольна.

E. *Гідроксильна.

762. Серед запропонованих формул спиртів вкажіть формулу 3,4-диметилпентанолу-2:

A. ;

B.

C.

D.

E. * ;

763. Виберіть правильну назву спирту, що виражений формулою:

A. 2,3 - диметилпропанол-1.

B. 2,3 - диметилбутанол-4.

C. 3,4 - диметилбутанол-4.

D. 3,4 - диметилпропанол-4.

E. *2,3 - диметилбутанол-1.

764. Яка з реакцій називається реакцією естерифікації?

A. Взаємодія спиртів між собою.

B. Взаємодія спиртів з металічним натрієм.

C. Взаємодія спиртів з галогенами

D. Взаємодія спиртів з водою.

E. *Взаємодія спиртів з карбоновими кислотами.

765. Яка з реакцій називається реакцією етерифікації?

A. Взаємодія спиртів з водою.

B. Взаємодія спиртів з металічним натрієм.

C. Взаємодія спиртів з карбоновими кислотами.

D. Взаємодія спиртів з галогенуючими регентами.

E. *Взаємодія спиртів між собою.

766. Внаслідок внутрішньомолекулярної дегідратації насичених одноатомних спиртів утворюються:

A. Алкани.

B. Алкіни.

C. Альдегіди.

D. Арени.

E. *Алкени.

767. Як називається спирт, що виражений формулою

A. 2-метилбутанол -2.

B. 2,4-диметилбутанол-2.

C. 4-метилпентанол-4.

D. 1,1 -диметилбутанол-1.

E. *2- метилпентанол-2.

768. Яка із схем виражає дегідратацію пропанолу-1?

A. СН3-СН(ОН)-СН3 ® СН2=СН-СН3 + Н2О;

B. СН2=СН-СН3 + Н2О ® СН3-СН2-СН2-ОН;

C. СН2=СН-СН3 + Н2О ® СН3-СН(ОН)-СН3;

D. СН3-СН2-СН2-ОН + Н2О ® НО-СН2-СН2-СН2-ОН + Н2.

E. *СН3-СН2-СН2-ОН ® СН3-СН=СН2 + Н2О;

769. Яка сполука утвориться при внутрішньо-молекулярній дегідратації бутанолу-1?

A. Пропанол-2.

B. Бутан.

C. Дибутановий етер.

D. Етиленгліколь.

E. *Бутен-1.

770. При м’якому окисненні первинних спиртів утворюються:

A. Карбон (IV) оксид.

B. Карбон (ІІ) оксид.

C. Феноли

D. Кетони.

E. *Альдегіди.

771. При окисненні вторинних спиртів утворюється:

A. Карбон (IV) оксид.

B. Карбон (ІІ) оксид.

C. Карбонові кислоти.

D. Альдегіди.

E. *Кетони.

772. До яких спиртів належить сполука виражена формулою:

F. Одноатомних.

G. Двоатомних.

H. Чотириатомних.

I. Триосновних.

J. *Триатомних.


 

773. Назвіть спирт, формула якого:

 

A. Пентанол-1,3.

B. Пентанол-1,4.

C. 1,4- дигідроксипентан.

D. Пентандіол-2,5.

E. *Пентандіол-1,4.

774. Яка із реакцій є якісною на багатоатомні спирти:

A. СН3-СН2-ОН + О2 ®

B.

C.

D.

E. *

775. Внаслідок якої з реакцій утвориться тринітрогліцерин:

A.

B.

C.

D.

E. *

776. Яку з речовин можна визначити свіжоосадженим купрум(ІІ) гідроксидом?

A. Етанол.

B. Бензол.

C. Пропанол.

D. Бутан.

E. *Гліцерин.

777. На якій властивості гліцерину ґрунтується застосування його в медицині для виготовлення мазей?

A. Реагує з гідроксидом купруму (ІІ).

B. Добре розчинний в етанолі.

C. Солодкуватий на смак.

D. Здатний до утворення жиру.

E. *Розм’якшує шкіру і надає їй еластичності.

778. При яких захворюваннях застосовують нітрогліцерин як ліки?

A. Гепатиті.

B. Шлунково-кишкових.

C. Гострих респіраторних.

D. Пташиному грипі.

E. *Серцево-судинних.

779. На якій властивості етанолу, ґрунтується його використання в медицині?

A. Добрий розчинник

B. Добре розчиняється у воді

C. Має високу температуру кипіння

D. Має нижчу ніж вода температуру замерзання.

E. *Проявляє дезинфікуючу дію

780. В результаті приєднання синильної кислоти до альдегідів утворюються:

A. Ацеталі;

B. Гідрати;

C. Напівацеталі;

D. Основи Шиффа.

E. *Ціангідрини;

781. В результаті приєднання амінів до альдегідів утворюються:

A. Ацеталі;

B. Гідрати;

C. Ціангідрини;

D. Напівацеталі;

E. *Основи Шиффа.

782. В результаті приєднання води до альдегідів утворюються:

A. Ацеталі;

B. Ціангідрини;

C. Напівацеталі;

D. Основи Шиффа.

E. *Гідрати;

783. В результаті приєднання однієї молекули спирту до альдегідів утворюються:

A. Ацеталі;

B. Гідрати;

C. Ціангідрини;

D. Основи Шиффа.

E. *Напівацеталі

784. В результаті приєднання двох молекул спирту до альдегідів утворюються:

A. Гідрати;

B. Ціангідрини;

C. Напівацеталі;

D. Основи Шиффа.

E. *Ацеталі;

785. В результаті реакції окиснення альдегідів утворюються:

A. Ацеталі;

B. Гідрати;

C. Спирти;

D. Основи Шиффа.

E. *Карбонові кислоти

786. До якого класу органічних сполук належить сполука:

A. Спиртів

B. Алканів

C. Амінів

D. Карбонових кислот.

E. *Альдегідів

787. Якою з нижченаведених реакцій можна одержати оцтовий альдегід?

A. СН3-СН = СН2 + НОН →;

B. СН2 = СН2 + НОН →;

C. СН3-СООН + НОН →;

D. СН3- СН2-Сl + NaOH →.

E. *НС ≡ СН +НОН →;

788. Проведення проби Троммера і Толленса дозволяє:

A. Виявити окисні властивості альдегідів;

B. Виявити відновні властивості кетонів;

C. Одержати напівацеталь;

D. Підтвердити СН-кислотний характер алкінів.

E. *Виявити альдегідну групу;

789. Формалін - це:

A. Водний розчин етаналю;

B. Водний розчин диметилкетону;

C. Спиртовий розчин оцтового альдегіду;

D. Спиртовий розчин мурашиного альдегіду.

E. *Водний розчин формальдегіду;

790. Атоми карбону карбоксильної групи знаходяться в стані:

A. sp4-гібридизації;

B. sp3-гібридизації;

C. sp-гібридизації;

D. Не гібридизовані.

E. *sp2-гібридизації;

791. До якої групи сполук належить продукт реакції оцтового альдегіду з етанолом за рівнянням реакції:

A. Естери

B. Ацеталі;

C. Альдегідоспирти;

D. Лактони.

E. *Напівацеталі;

792. Йодоформною пробою можна виявити таку сполуку:

A. Бензальдегід;

B. Формальдегід;

C. Бутаналь;

D. Фенол.

E. *Ацетон;

793. Для альдегідів і кетонів властиві реакції:

A. Нуклеофільного заміщення;

B. Електрофільного заміщення;

C. Електрофільного приєднання;

D. Елімінування.

E. *Нуклеофільного приєднання;

794. Яка сполука утворюється в результаті взаємодії формальдегіду з ціанідною кислотою:

A. ;

B. ;

C. ;

D. .

E. * ;

795. Оцтовий альдегід можна виявити за допомогою реактиву:

A. Адамкевича;

B. Люголя;

C. Фоля;

D. Вагнера.

E. *Толенса;

796. Який з наведених реагентів використовують для визначення альдегідної групи ?

A. Br2(H2O);

B. Ca(OH)2;

C. KMnO4;

D. 25% р-н H2SO4.

E. *[Ag(NH3)2]OH;

797. Реакція дисмутації - це:

A. Реакція взаємодії з водою;

B. Реакція взаємодії з воднем;

C. Реакція відщеплення води;

D. Реакція відщеплення СО2.

E. *Реакція оксидо-редукції;

798. Яка з нижченаведених реакцій не властива альдегідам?

A. Приєднання ціановодневої кислоти;

B. Приєднання спиртів;

C. Приєднання води;

D. Приєднання амінів.

E. *Приєднання карбонових кислот;

799. Виберіть продукт реакції CH3-C(О)Н + HCN →

A. СН3 - СН=N;

B. NC-CH2-CH2-CN;

C. СН3-CH2-СН(ОН)-СN;

D. СН3-СН = N-H.

E. *СН3-СН(OH)-СN

800. Якою з нижченаведених реакцій можна одержати альдегіди?

A. Гідролізом нітрилів;

B. Гідратацією алкенів

C. Бродінням глюкози;

D. Омиленням складних ефірів.

E. *Окисненням спиртів;

801. Виберіть продукт реакції

+ HOCH3

 

A. СН3-CH2-СH (OC2H5)-OH;

B. СН3-CH(ОСН3)-Н;

C. СН3-CH2-СН(ОСН3) -OC2H5;

D. СН3-CH2-СН (ОСН3)-ОСН3;

E. *СН3-CH2-СН(OСН3)-ОН

802. За допомогою якого реагенту можна розрізнити дану сполуку:

A. HCN;

B. H2N-NH2;

C. CH3CH2OH(H+);

D. NaHSO3.

E. *I2 + NaOH;

803. Реакція полімеризації властива для такої сполуки:

A. ;

B. С6Н5-С (О)-СН3;

C. CH3─C (О)─C2H5;

D. .

E. * ;

804. Виберіть продукт реакції

+ Н2

 

A. СН3-СН2-СООН;

B. СН3-ОН;

C. СН3-СН2-С(О)Н;

D. СН3-СН2-СН2-ОН.

E. *СН3-СН2-ОН;

805. Виберіть правильну назву альдегіду, вираженого формулою:

:

A. 3-метил-2,4-дибромопентеналь.

B. 3-метил-2,4-дибромобутаналь.

C. 2,4-дибромо-3-метилгексаналь.

D. 3-метил-2,4- бромопентаналь.

E. *2,4-дибромо-3-метилпентаналь.

806. Як називають реакцію приєднання водню до альдегіду?

A. Гідратація.

B. Дегідратація.

C. Дегідрування.

D. Дегідрогідратація.

E. *Гідрування.

807. Внаслідок взаємодії насичених альдегідів із воднем утворюються:

A. Етери.

B. Ненасичені одноатомні спирти.

C. Карбонові кислоти.

D. Ненасичені альдегіди.

E. *Насичені одноатомні спирти.

808. Яка формула альдегіду, що має назву 3-етил-4,4-диметилгексаналь?

A. ;

B. ;

C. ;

D. .

E. * ;

809. В альдегідній групі заряд атома Карбону:

A. Частково негативний.

B. Рівний -1.

C. Рівний +3.

D. Рівний +4.

E. *Частково позитивний.

810. Вкажіть назву речовини, що утворюється в результаті реакції :

A. Етанол.

B. Етанова кислота.

C. Етилен.

D. Поліетилен.

E. *Етаналь.

811. В якому ряду вказано назви однієї речовини?

A. Толуол, стирол, етилбензол.

B. Ацетон, етилен, ацетилен.

C. Оцтова кислота, метилацетат, етанова кислота.

D. Формальдегід, мурашиний альдегід, фенол.

E. *формальдегід, мурашиний альдегід, метаналь.

812.Якого кольору осад випалає при кип’ятінні ацетальдегіду з гідроксидом міді(ІІ):

A. Срібного;

B. Яскраво - синього;

C. Зеленого;

D. Білого.

E. *Оранжево - червоного;

813.Речовина, яка дає реакцію “ срібного дзеркала”, відновлюється воднем і утворена реакцією етину з водою, це:

A. С2Н5ОН;

B. С6Н5ОН;

C. НС(О)Н;

D. СН3СН2ОН.

E. *СН3С(О)Н;

814. Кетони можна одержати:

A. Відновленням одноатомних спиртів;

B. Окисленням первинних спиртів;

C. Відновленням вторинних спиртів;

D. Відновленням двохатомних спиртів.

E. *Окисленням вторинних спиртів;

815. Яка з реакцій виражає реакцію полімеризації метаналю з утворенням параформу?

A. nCH2 = CH2 ® (-CH2-CH2-)n;

B. ;

C. ;

D. nСН≡СН → (-CH2-CH2-)n;

E. *nH2C=O ® (-H2C-O-)n.

816. Сполуки формальдегід і метаналь є:

A. Гомологи.

B. Геометричні ізомери.

C. Структурні ізомери.

D. Оптичні ізомери

E. *Одна і та ж речовина.

817. Формалін використовують для консервування анатомічних препаратів, оскільки:

A. Має приємний запах;

B. Отруйний;

C. Є добрим розчинником;

D. Має високу температуру кипіння.

E. *Має антимікробну властивість;

818. Який з альдегідів вступає в реакцію диспропорціонування?

A. Пентановий альдегід;

B. Масляний альдегід;

C. Пропіоновий альдегід;

D. Оцтовий альдегід;

E. *Бензальдегід.

819. Виберіть формулу метанолу

A. НСООН

B. С3Н7ОН

C. С2Н5СОН

D. С7Н15ОН

E. *СН3ОН

820. Із поданих варіантів виберіть пентанову кислоту

A. С2Н5СООН

B. *С4Н9СООН

C. С8Н17СООН

D. НСООН

E. СН3 СООН

821. Із поданих варіантів виберіть етанову кислоту:

A. С2Н5СООН

B. С4Н9СООН

C. С8Н17СООН

D. НСООН

E. *СН3 СООН

822. Виберіть формулу метанової кислоти:

A. С2Н5СООН

B. С4Н9СООН

C. С8Н17СООН

D. *НСООН

E. СН3 СООН

823. Виберіть формулу оцтової кислоти:

A. С2Н5СООН

B. С4Н9СООН

C. С8Н17СООН

D. НСООН

E. *СН3СООН

824. Із поданих варіантів виберіть бутанову кислоту:

A. С2Н5СООН

B. *С3Н7СООН

C. С8Н17СООН

D. НСООН

E. СН3 СООН

825. Карбонові кислоти містять у своєму складі функціональну групу:

A. -ОН

B. -СОН

C. *–СООН

D. –СН3

E. –ССІ4

826. Одноосновні карбонові кислоти мають карбоксильних груп:

A. *Одну

B. Дві

C. Три

D. Чотири

E. Жодної

827. Насиченими одноосновними карбоновими кислотами називають сполуки, що містять:

A. Насичений вуглеводневий радикал і дві функціональні групи СООН

B. *Насичений вуглеводневий радикал і одну функціональну группу СООН

C. Насичений вуглеводневий радикал і групу ОН

D. Ненасичений вуглеводневий радикал і карбоксильну групу

E. Ненасичений вуглеводневий радикал і функціональну группу СОН

828. Яка із формул відповідає загальній формулі насичених одноосновних карбонових кислот:

A. *СnH2n+1-COOH

B. СnH2n-COOH

C. СnH2n+1-COH

D. СnH2n-COH

E. СnH2n+1-OH

829. Особливістю метанової кислоти, що відрізняє її від інших кислот, є взаємодія з:

A. Металами

B. Лугами

C. *Аміачним розчином аргентум оксиду

D. Водою

E. Кислотами

830. Яка із схем виражає реакцію нейтралізації:

A. СН3СООН + СН3ОН =

B. НСООН + НОН =

C. *НСООН + NаОН =

D. СН3СООН + СН3СООН =

E. НСООН + С2Н5ОН =

831. Утворення димерів етанової кислоти зумовлено:

A. Наявністю вуглеводневого радикала насиченого складу

B. Наявністю вуглеводневого радикала ненасиченого складу

C. Зміщенням електронної густини у функціональній карбоксильній групі

D. Наявністю нерозгалуженого вуглеводневого радикала

E. *Наявністю карбоксильної групи

832. Яка з перечислених реакцій для етанової кислоти призводить до утворення естеру:

A. Взаємодія з лугами

B. *Взаємодія з одноатомними спиртами

C. Взаємодія з металами та лугами

D. Взаємодія з солями

E. Взаємодія з основними оксидами

833. Яка із реакцій, виражених схемами, відбудеться з виділенням водню:

A. *СН3СООН + Са =

B. СН3СООН + СаО=

C. СН3СООН + NаОН =

D. С2Н5СООН + NаОН =

E. С2Н5СООН +КОН =

834. Внаслідок якої з реакцій виділиться карбон(lV) оксид?

A. СН3СООН + NаОН =

B. СН3СООН + КОН =




Поделиться с друзьями:


Дата добавления: 2015-05-24; Просмотров: 2859; Нарушение авторских прав?; Мы поможем в написании вашей работы!


Нам важно ваше мнение! Был ли полезен опубликованный материал? Да | Нет



studopedia.su - Студопедия (2013 - 2026) год. Все материалы представленные на сайте исключительно с целью ознакомления читателями и не преследуют коммерческих целей или нарушение авторских прав! Последнее добавление




Генерация страницы за: 0.01 сек.