Студопедия

КАТЕГОРИИ:


Архитектура-(3434)Астрономия-(809)Биология-(7483)Биотехнологии-(1457)Военное дело-(14632)Высокие технологии-(1363)География-(913)Геология-(1438)Государство-(451)Демография-(1065)Дом-(47672)Журналистика и СМИ-(912)Изобретательство-(14524)Иностранные языки-(4268)Информатика-(17799)Искусство-(1338)История-(13644)Компьютеры-(11121)Косметика-(55)Кулинария-(373)Культура-(8427)Лингвистика-(374)Литература-(1642)Маркетинг-(23702)Математика-(16968)Машиностроение-(1700)Медицина-(12668)Менеджмент-(24684)Механика-(15423)Науковедение-(506)Образование-(11852)Охрана труда-(3308)Педагогика-(5571)Полиграфия-(1312)Политика-(7869)Право-(5454)Приборостроение-(1369)Программирование-(2801)Производство-(97182)Промышленность-(8706)Психология-(18388)Религия-(3217)Связь-(10668)Сельское хозяйство-(299)Социология-(6455)Спорт-(42831)Строительство-(4793)Торговля-(5050)Транспорт-(2929)Туризм-(1568)Физика-(3942)Философия-(17015)Финансы-(26596)Химия-(22929)Экология-(12095)Экономика-(9961)Электроника-(8441)Электротехника-(4623)Энергетика-(12629)Юриспруденция-(1492)Ядерная техника-(1748)

Частина 2




В основу другої частини лабораторної роботи покладене явище дифракції, яке виникає внаслідок внесення в паралельний пучок лазерних променів тонкої перешкоди (наприклад, волосини людини) завтовшки . Хід променів у цьому випадку показаний на рис. 5.2.3.

Випромінювання лазера проходить крізь волосину В й утворює на екрані Е картину дифракції. Формула (5.2.2) для випадку дифракції на одній перешкоді завширшки (товщина волосини) матиме вигляд:

. (5.2.5)

З виразів (5.2.2) і (5.2.3) випливає, що

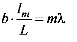
, (5.2.6)

де – відстань від центрального максимуму до дифракційного максимуму -го порядку.

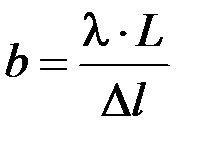
Записавши вираз (5.2.6) для двох сусідніх максимумів та віднявши одне рівняння від іншого, отримуємо формулу для обчислення товщини волосини:

, (5.2.7)

де – довжина хвилі випромінювання лазера, значення якої беруть із результатів обчислень, проведених у першій частині роботи; – відстань від волосини до екрана; – відстань між двома сусідніми максимумами або мінімумами дифракційної картини .

 




Поделиться с друзьями:


Дата добавления: 2015-05-24; Просмотров: 393; Нарушение авторских прав?; Мы поможем в написании вашей работы!


Нам важно ваше мнение! Был ли полезен опубликованный материал? Да | Нет



studopedia.su - Студопедия (2013 - 2026) год. Все материалы представленные на сайте исключительно с целью ознакомления читателями и не преследуют коммерческих целей или нарушение авторских прав! Последнее добавление




Генерация страницы за: 0.011 сек.