Студопедия

КАТЕГОРИИ:


Архитектура-(3434)Астрономия-(809)Биология-(7483)Биотехнологии-(1457)Военное дело-(14632)Высокие технологии-(1363)География-(913)Геология-(1438)Государство-(451)Демография-(1065)Дом-(47672)Журналистика и СМИ-(912)Изобретательство-(14524)Иностранные языки-(4268)Информатика-(17799)Искусство-(1338)История-(13644)Компьютеры-(11121)Косметика-(55)Кулинария-(373)Культура-(8427)Лингвистика-(374)Литература-(1642)Маркетинг-(23702)Математика-(16968)Машиностроение-(1700)Медицина-(12668)Менеджмент-(24684)Механика-(15423)Науковедение-(506)Образование-(11852)Охрана труда-(3308)Педагогика-(5571)Полиграфия-(1312)Политика-(7869)Право-(5454)Приборостроение-(1369)Программирование-(2801)Производство-(97182)Промышленность-(8706)Психология-(18388)Религия-(3217)Связь-(10668)Сельское хозяйство-(299)Социология-(6455)Спорт-(42831)Строительство-(4793)Торговля-(5050)Транспорт-(2929)Туризм-(1568)Физика-(3942)Философия-(17015)Финансы-(26596)Химия-(22929)Экология-(12095)Экономика-(9961)Электроника-(8441)Электротехника-(4623)Энергетика-(12629)Юриспруденция-(1492)Ядерная техника-(1748)

Вказівки до виконання роботи. Контрольні запитання




Лабораторна робота № 7.1. ВИЗНАЧЕННЯ АКТИВНОСТІ РАДІОАКТИВНОГО ПРЕПАРАТУ

Контрольні запитання

Порядок виконання роботи

1. Ознайомитись з лабораторною установкою.

2. Встановити фотоелемент так, щоб кут a = 0. Ввімкнути джерело світла. Змінюючи відстань r від джерела світла до фотоелемента (5 − 7 значень), записати показники мікроамперметра I.

3. Повторити операції п.2 для кута a = 600.

4. Значення сили світла джерела j та площі фотоелемента S (вказані на установці) записати в табл. 6.3.1.

5. За формулою (6.3.3) визначити світловий потік Ф для кожного значення r. Результати вимірювань записати в табл. 6.3.1.

6. Побудувати світлову характеристику фотоелемента I = f (Ф).

7. Визначити інтегральну чутливість qi фотоелемента. Для цього на лінійній ділянці графіка I = f (Ф) визначити приріст променевого потоку d Ф та віповідний йому приріст фотоструму dI та скористатися формулою (6.3.2).

Таблиця 6.3.1

№ пор. r, м I, А j, Кд S, м2 Ф, лм
           

 

1. Що називають власною та домішковою провідністю напівпровідників?

2. У чому полягає внутрішній фотоефект?

3. Що називають «червоною межею» внутрішнього фотоефекту?

4. Покажіть схематично будову вентильного фотоелемента та поясніть принцип його роботи.

5. Як у вентильному фотоелементі відбувається пряме перетворення світлової енергії в електричну?

6. Що таке спектральна чутливість фотоелемента?

7. Наведіть приклади використання фотоелементів.

8. Які причини зумовлюють низький ККД фотоелементів?

 

Мета роботи: ознайомлення з різними видами радіоактивного випромінювання та способами їхньої реєстрації; визначення активності радіоактивного джерела за допомогою лічильника Гейгера – Мюллера.

Для виконання роботи потрібно засвоїти такий теоретичний матеріал: будова атомного ядра; масове число та заряд ядра; види радіоактивного випромінювання; закон радіоактивного розпаду; правила зміщень; методи спостереження та реєстрації радіоактивних випромінювань.

Література: [ 1, т.3 §§ 15.9–15.13; 2, §§ 251, 254–259; 3, §§ 17.8–17.12; 4, т.3 §§ 14, 66–68, 70].

 

Атомне ядро – це центральна частина атома, в якій зосереджено позитивний заряд та майже вся його маса. Воно складається з нуклонів (позитивно заряджених протонів і нейтральних нейтронів ), які утримуються разом ядерними силами. Кількість протонів у ядрі називається зарядовим числом Z, яке дорівнює порядковому номеру елемента у таблиці Менделєєва. Кількість нейтронів у ядрі називається ізотонічним числом N. Сума чисел Z + N показує загальну кількість нуклонів ядра A і приблизно середню масу атома. Ядро позначають як . Ядра з однаковим числом Z та різними N називають ізотопами, з однаковим числом N та різними Zізотонами, з однаковим A, проте різними Z та Nізобарами.

Відомо, що нестабільні ядра, а також всі ядра у збудженому стані перетворюються спонтанно, що призводить до зміни складу ядра і його внутрішньої енергії. Такі спонтанні процеси ядерних перетворень називаються радіоактивністю.

Закон, за яким відбувається радіоактивний розпад ядер, пов’язує початкову кількість ядер (N 0), які розпадаються, із кількістю ядер, що не розпалися (N) за певний проміжок часу (t):

, (7.1.1)

де – стала розпаду, яку можна виразити через період напіврозпаду
( – час, за який розпадеться половина початкових ядер):

.

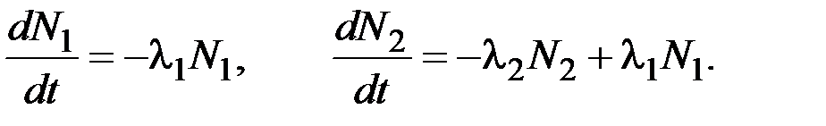
Проте такий закон справедливий лише для випадку, коли дочірні ядра є стабільними. У решті випадків буде спостерігатися подальший розпад утворених ядер, для яких стала розпаду є іншою. Таку послідовність розпаду описують системами диференційних рівнянь:

Якщо материнського ядра дочірнього ізотопу, то .

До основних типів радіоактивних перетворень належать α -, β+ -,
β- розпади, γ - випромінювання, е - (К -) поглинання, спонтанний поділ, протонна радіоактивність тощо. Розглянемо деякі основні типи радіоактивних перетворень.

1. Випромінювання α -частинки. Розпад ядра відбувається з вильотом ядра атома . Правило зміщення Содді, яке дає змогу визначити місце ізотопу – продукту розпаду у періодичній системі елементів, для альфа-розпаду можна записати таким чином:

Для того щоб відбувся альфа-розпад, потрібно, щоб енергія зв’язку дочірнього ядра та α-частинки окремо були більшим за енергію зв’язку материнського ядра, а це означає, що в цьому процесі виділяється енергія. α-частинка має заряд, тому для того, щоб вона покинула ядро, їй треба подолати кулонівський бар’єр. Внаслідок цього α-розпад відбувається за час 10-10 ÷ 10-7с.

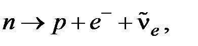
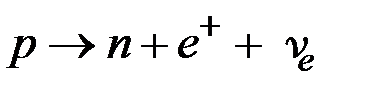
2. Випромінювання β -частинки. Ядро випромінює електрон/позитрон. Процес відбувається лише всередині ядра, коли один з нейтронів (протонів) розпадається, утворюючи протон та електрон (нейтрон та позитрон).

,

де , – електронне антинейтрино та нейтрино, які випромінюються під час процесу β-розпаду.

Існування цих частинок було передбачене теоретично для обґрунтування спектра енергій β-частинок. Нейтрино/антинейтрино має нульові заряд та масу спокою і спін ħ /2.

Вільний нейтрон може розпадатися (Т 1/2 ≈ 11-15 хв) поза межами ядра, а в ядрі може залишатися стабільним. Протон, навпаки, вважається стабільною частинкою (Т 1/2 ≈ 1029 років) поза межами ядра і може розпадатися у нейтрон всередині.

3. γ -випромінювання – це електромагнітні хвилі з високою про-никністю, які не відхиляються ні в електричному, ні в магнітному полях. Воно не виникає самостійно, а супроводжує α-, β- розпади, виникає в ядерних реакціях, в процесах гальмування заряджених частинок, в процесі їхнього розпаду тощо. γ-спектр має лінійчату структуру. Цей вид радіоактивного випромінювання не описується правилом зміщення тому, що А та Ζ ядра залишаються незмінними в цих процесах.

Основними механізмами взаємодії γ-випромінювання з речовиною, що призводять до послаблення його інтенсивності, є фотоефект, комптон-ефект і народження електронно-позитронних пар (див. лаб. роб. №7.2).

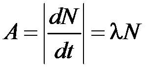
Важливою характеристикою радіоактивного джерела є його активність (А), яка показує, скільки ядер (d ) відповідного ізотопу розпадається за одиницю часу:

. (7.1.2)

Одиниці виміру радіоактивності [1Кі] = [3,7·1010 Бк] =
= [3,7·1010 розпадів/с].

Перетворення ядра завжди супроводжується випромінюванням
γ-квантів, тому активність препарату можна оцінити за кількістю γ-квантів, які випромінює джерело за одиницю часу і які реєструє лічильник.

Щоб визначити кількість ядер () у масі речовини (), можна скористатися визначенням моля речовини:

, (7.1.3)

де – стала Авогадро, – молярна маса речовини.

За допомогою формул (7.1.2) та (7.1.3) знаходимо масу радіоактивного препарату:

(7.1.4)

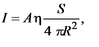
У цій лабораторній роботі для визначення активності радіоактивного препарату знаходять кількість γ-квантів, зареєстрованих за допомогою лічильника за одиницю часу (І, імп/с). Зважаючи на те, що випромінювання поширюється в усіх напрямках рівномірно, на лічильник, площа перерізу якого S, на відстані R від джерела припадає частини випромінювання (рис. 7.1.2).

Крім того, лічильник реєструє тільки частину η випромінювання, яке на нього падає (η називають "ефективністю лічильника"). Тому
швидкість рахування лічильником γ-квантів становить:

(7.1.5)

де R – відстань від джерела до лічильника.

Співвідношення (7.1.5) визначає інтенсивність випромінювання у точці на відстані R від джерела і називається законом обернених квадратів.

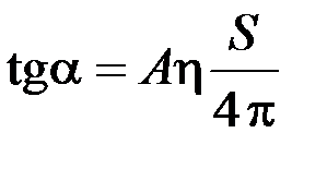
Із співвідношення (7.1.5) видно, що графіком залежності від R -2 є пряма лінія, тангенс кута нахилу якої до осі R -2 дорівнюватиме:

. (7.1.6)

Слід мати на увазі, що визначена з дослідів швидкість відліку містить також значення інтенсивності I Ф, зумовлене наявністю природного фону. Тому значення I у формулі (7.1.5) треба розраховувати як різницю значень I х та I Ф, тобто I= I хI Ф.

Для реєстрації випромінювання застосовують різні детектори заряджених частинок, які можна поділити на лічильники та трекові детектори, іонізаційні, іскрові та пропорційні камери. У цій роботі використовується лічильник Гейгера – Мюллера. Цей лічильник є газорозрядним, принцип дії якого заснований на явищі самостійного газового розряду, що буде існувати без зовнішньої іонізації газу, якщо його примусово не загасити.

Лічильник є тонкостінною, зазвичай скляною герметичною камерою циліндричної форми. Із зовнішнього боку камера вкрита тонким шаром металу, який виконує роль катода 1 (рис. 7.1.1). Анод – це тонка (діаметром близько 0,05 мм) металева нитка 2, протягнута вздовж осі циліндра. Така асиметрія геометрії електродів призводить до того, що електричне поле має високу напруженість лише на малій ділянці навколо анодної нитки і малу – в решті простору всередині лічильника.

Трубка всередині заповнюється розрідженим газом, найчастіше аргоном або неоном. Коли γ-кванти радіоактивного ізотопу попадають на стінки лічильника, вони вибивають електрони, які попадають всередину і рухаються у газовому просторі. Зустрівши атоми газу, електрони іонізують їх (утворюють вільний електрон і додатний іон). Електричне поле між катодом і анодом прискорює електрони до енергій, за яких починається ударна іонізація. Виникає лавина іонів, і струм, який тече через лічильник, різко зростає.

При цьому на опорі 3 (рис. 7.1.1) виникає імпульс напруги, який передається до реєстраційного приладу. Щоб лічильник зміг зареєструвати наступну частинку, яка до нього попадає, лавинний розряд треба загасити. Це відбувається автоматично, адже в момент появи імпульсу струму на опорі виникає велике падіння напруги, тому напруга між анодом і катодом різко зменшується настільки, що розряд зникає і лічильник знову може приймати імпульс.

 
Випрямляч
 
 
 
 
 
Рис. 7.1.2
 
 

Схему лабораторної установки зображено на рис. 7.1.2, де 1 – радіоактивне джерело на рухомій платформі; 2 – лічильник Гейгера – Мюллера; 3 – лінійка; 4 – високовольтний випрямляч; 5 – секундомір;
6 – лічильник імпульсів; 7 – шторка.




Поделиться с друзьями:


Дата добавления: 2015-05-24; Просмотров: 1122; Нарушение авторских прав?; Мы поможем в написании вашей работы!


Нам важно ваше мнение! Был ли полезен опубликованный материал? Да | Нет



studopedia.su - Студопедия (2013 - 2026) год. Все материалы представленные на сайте исключительно с целью ознакомления читателями и не преследуют коммерческих целей или нарушение авторских прав! Последнее добавление




Генерация страницы за: 0.01 сек.