Студопедия

КАТЕГОРИИ:


Архитектура-(3434)Астрономия-(809)Биология-(7483)Биотехнологии-(1457)Военное дело-(14632)Высокие технологии-(1363)География-(913)Геология-(1438)Государство-(451)Демография-(1065)Дом-(47672)Журналистика и СМИ-(912)Изобретательство-(14524)Иностранные языки-(4268)Информатика-(17799)Искусство-(1338)История-(13644)Компьютеры-(11121)Косметика-(55)Кулинария-(373)Культура-(8427)Лингвистика-(374)Литература-(1642)Маркетинг-(23702)Математика-(16968)Машиностроение-(1700)Медицина-(12668)Менеджмент-(24684)Механика-(15423)Науковедение-(506)Образование-(11852)Охрана труда-(3308)Педагогика-(5571)Полиграфия-(1312)Политика-(7869)Право-(5454)Приборостроение-(1369)Программирование-(2801)Производство-(97182)Промышленность-(8706)Психология-(18388)Религия-(3217)Связь-(10668)Сельское хозяйство-(299)Социология-(6455)Спорт-(42831)Строительство-(4793)Торговля-(5050)Транспорт-(2929)Туризм-(1568)Физика-(3942)Философия-(17015)Финансы-(26596)Химия-(22929)Экология-(12095)Экономика-(9961)Электроника-(8441)Электротехника-(4623)Энергетика-(12629)Юриспруденция-(1492)Ядерная техника-(1748)

Види масштабів. Вимірювання відстаней і площ




 

При створенні топографічних карт спроектовані на поверхню рівня лінійні розміри всіх об’єктів місцевості зменшують у певну кількість разів.

Ступінь зменшення ліній на карті відносно горизонтальних прокладень відповідних їм ліній на місцевості називається масштабом карти.

Масштаб може бути виражений у числовій формі (числовий масштаб) або графічній (лінійний, поперечний масштаб) у вигляді графіка. Оформлення числового та лінійного масштабів вказують на карті (рис. 3.10).

 

Рис. 3.10. Оформлення числового і лінійного масштабів

на топографічних картах і планах

Відстані на карті вимірюють, користуючись здебільшого числовим або лінійним масштабом.

Числовий масштаб – масштаб карти, виражений дробовим числом, чисельник якого – одиниця, знаменник – число, що показує, в скільки разів зменшені на карті горизонтальні лінії місцевості. Наприклад, масштаб 1:50 000 показує, що всі лінійні розміри на карті зменшені в 50 000 разів, тобто 1 см карти на місцевості відповідає 500 м, або 0,5 км.

Відстань на місцевості у метрах або кілометрах, що відповідає 1 см карти, називається величиною масштабу. Її вказують на карті під числовим масштабом. У наведеному прикладі величина масштабу буде 500 м.

Очевидно, що чим менше знаменник числового масштабу, тим зображення на місцевості крупніше, і навпаки, більш крупним буде той масштаб, в якого знаменник менше.

При користуванні числовим масштабом відстань, що вимірюється на карті в сантиметрах, множать на знаменник числового масштабу в метрах.

Наприклад, на карті масштабу 1:50 000 відстань між двома точками дорівнює 14,7 см, на місцевості вона становитиме 14,7×500 = 7 350 м. Якщо відстань, виміряну на місцевості, необхідно відкласти на карті, то її потрібно поділити на знаменник числового масштабу.

Наприклад, на місцевості відстань між двома точками дорівнює 1 525 м, на карті масштабу 1:50 000 вона буде становити 1 525:500 = 3,05 см.

Лінійний масштаб – графічне зображення числового масштабу у вигляді прямої лінії.

На шкалі лінійного масштабу відрізки позначені цифрами й відповідають відстані на місцевості в метрах або кілометрах. Це полегшує процес вимірювання відстані, тому що не потрібні підрахунки. Вимірювання за ліній- ним масштабом виконують за допомогою вимірювального циркуля (рис. 3.11).

“Крок” вимірювального циркуля

а б

Рис. 3.11. Вимірювання відстані за картою вимірювальним циркулем:

а – прямолінійних відрізків; б – довгих прямих та хвилястих відрізків

Довгі прямі та хвилясті лінії на карті вимірюють частинами. Для цього встановлюють крок вимірювального циркуля, що дорівнює 0,5 – 1,0 см, і ним проходять по лінії, що вимірюється, підраховуючи кількість переходів ніжки вимірювального циркуля. Решту відстані вимірюють за лінійним масштабом.

Для визначення відстані множать кількість переходів циркуля на величину кроку в кілометрах і додають до отриманої величини залишок. Якщо немає вимірювального циркуля, його можна замінити смужкою паперу, на якій штрихом відмічають виміряну на карті або відкладену на ній за масштабом відстань.

Вимірювання довжини маршруту. Довжину маршруту вимірюють, як правило, курвіметром (рис. 3.12).

Стандартний курвіметр має дві шкали: з однієї сторони метричну (від 0 до 100 см), з другої сторони дюймову (від 0 до 39,4 дюйма).

Механізм приладу складається з обвідного коліщатка, з’єднаного системою зубчастих передач зі стрілкою.

Для вимірювання довжини на карті необхідно обертанням коліщатка стрілку встановити на нульову поділку, а потім коліщатком провести по вимірюваній лінії зліва направо, або знизу вгору: отриманий відлік у сантиметрах множать на величину масштабу даної карти.

Правильність роботи курвіметра перевіряють шляхом вимірювання відомої довжини лінії, наприклад, відстань між лініями кілометрової сітки на карті.

Похибка у вимірюванні лінії завдовжки 50 см курвіметром має бути не більше 0,25 см.

За відсутності курвіметра по звивистій лінії викладають нитку, а потім, випрямляючи її, визначають довжину лінійкою.

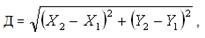
Відстань між двома точками (об’єктами), які розташовуються в одній координатній зоні, можна обчислити за формулою

де Д – відстань на місцевості по прямій між двома точками, м;

Х 1, Y 1 – прямокутні координати першої точки;

Х 2, Y 2 – прямокутні координати другої точки.

Виміряна за картою довжина маршруту завжди буде коротшою за дійсну, тому що топографічна карта – це площина і вона не враховує підйоми та спуски доріг.

У зв’язку з цим у виміряну за картою довжину маршруту потрібно вводити поправку. Поправочні коефіцієнти для різних типів місцевості неоднакові (табл. 3.4).

Практично на картах рівнинної та горбистої місцевості поправка на рельєф не вводиться, вона покривається помилкою вимірювання відстані.

 

Таблиця 3.4




Поделиться с друзьями:


Дата добавления: 2015-05-08; Просмотров: 2546; Нарушение авторских прав?; Мы поможем в написании вашей работы!


Нам важно ваше мнение! Был ли полезен опубликованный материал? Да | Нет



studopedia.su - Студопедия (2013 - 2026) год. Все материалы представленные на сайте исключительно с целью ознакомления читателями и не преследуют коммерческих целей или нарушение авторских прав! Последнее добавление




Генерация страницы за: 0.011 сек.