Студопедия

КАТЕГОРИИ:


Архитектура-(3434)Астрономия-(809)Биология-(7483)Биотехнологии-(1457)Военное дело-(14632)Высокие технологии-(1363)География-(913)Геология-(1438)Государство-(451)Демография-(1065)Дом-(47672)Журналистика и СМИ-(912)Изобретательство-(14524)Иностранные языки-(4268)Информатика-(17799)Искусство-(1338)История-(13644)Компьютеры-(11121)Косметика-(55)Кулинария-(373)Культура-(8427)Лингвистика-(374)Литература-(1642)Маркетинг-(23702)Математика-(16968)Машиностроение-(1700)Медицина-(12668)Менеджмент-(24684)Механика-(15423)Науковедение-(506)Образование-(11852)Охрана труда-(3308)Педагогика-(5571)Полиграфия-(1312)Политика-(7869)Право-(5454)Приборостроение-(1369)Программирование-(2801)Производство-(97182)Промышленность-(8706)Психология-(18388)Религия-(3217)Связь-(10668)Сельское хозяйство-(299)Социология-(6455)Спорт-(42831)Строительство-(4793)Торговля-(5050)Транспорт-(2929)Туризм-(1568)Физика-(3942)Философия-(17015)Финансы-(26596)Химия-(22929)Экология-(12095)Экономика-(9961)Электроника-(8441)Электротехника-(4623)Энергетика-(12629)Юриспруденция-(1492)Ядерная техника-(1748)

Назначение выходных реле Y




Назначение входных реле Х

Типовые операции

 
 

 


«AND»

 

«OR»

 

· Входные реле Х считывают состояния внешних физических устройств (кнопки, переключатели, контакты реле и др.) непосредственно подключенных к входным клеммам ПЛК.

· Каждый входной контакт Х может использоваться в программе неограниченное число раз.

· Выходные реле Y управляют состоянием физических выходных контактов ПЛК (релейных или транзисторных), а следовательно и устройствами нагрузки (лампы, ТЭНы, катушки реле и др.) непосредственно подключенными к выходным клеммам ПЛК.

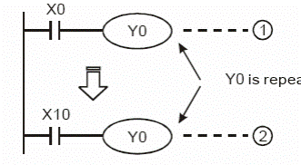
· Каждый выходной контакт Y может использоваться в программе неограниченное число раз, но выходную катушку Y рекомендуется использовать в программе не более одного раза, т.к. при повторении катушки Y, состояние выхода будет определяться последним Y в скане.

 

Состояние выхода Y0 будет определяться только контактом Х10. Состояние сигналов входов/выходов может опрашиваться в программе с помощью

различных инструкций.

Для запоминания двоичных результатов логических связей (состояний сигналов "0" или "1") внутри программы применяется промежуточная память (внутреннее реле). Они соответствуют промежуточным реле в системах управления на релейной логике.

 

В контроллерах DVP используется три типа внутренних реле:

1. Общие, которые не сохраняют свое состояние при отключении питания;

2. Энергонезависимые, которые сохраняют свое состояние при отключении питания;

3. Специальные, которые предоставляют в распоряжение пользователя специальные функции

 

Внутренние реле программируются как выходы. Однако отсутствует возможность присоединить к ним внешние устройства. Они могут использоваться в программе неограниченное число раз.

 

Для многих процессов управления необходимы реле времени. В релейной технике для этого применяются реле времени с задержкой на включение или выключение. В ПЛК для этих целей используются внутренние элементы памяти, называемые таймеры, характеристики которых могут определяться программой.

 

В ПЛК для подсчета событий используются внутренние элементы памяти, называемые счетчиками, которые могут быть нескольких видов.

Работа и назначение счетчиков:

Когда входной сигнал счетчика изменяет свое состояние с 0 на 1, текущее значение счетчика С увеличится/уменьшится на единицу и когда оно станет равным заданному значению (уставке), рабочий контакт счетчика включится.

 




Поделиться с друзьями:


Дата добавления: 2015-05-09; Просмотров: 978; Нарушение авторских прав?; Мы поможем в написании вашей работы!


Нам важно ваше мнение! Был ли полезен опубликованный материал? Да | Нет



studopedia.su - Студопедия (2013 - 2025) год. Все материалы представленные на сайте исключительно с целью ознакомления читателями и не преследуют коммерческих целей или нарушение авторских прав! Последнее добавление




Генерация страницы за: 0.01 сек.