Студопедия

КАТЕГОРИИ:


Архитектура-(3434)Астрономия-(809)Биология-(7483)Биотехнологии-(1457)Военное дело-(14632)Высокие технологии-(1363)География-(913)Геология-(1438)Государство-(451)Демография-(1065)Дом-(47672)Журналистика и СМИ-(912)Изобретательство-(14524)Иностранные языки-(4268)Информатика-(17799)Искусство-(1338)История-(13644)Компьютеры-(11121)Косметика-(55)Кулинария-(373)Культура-(8427)Лингвистика-(374)Литература-(1642)Маркетинг-(23702)Математика-(16968)Машиностроение-(1700)Медицина-(12668)Менеджмент-(24684)Механика-(15423)Науковедение-(506)Образование-(11852)Охрана труда-(3308)Педагогика-(5571)Полиграфия-(1312)Политика-(7869)Право-(5454)Приборостроение-(1369)Программирование-(2801)Производство-(97182)Промышленность-(8706)Психология-(18388)Религия-(3217)Связь-(10668)Сельское хозяйство-(299)Социология-(6455)Спорт-(42831)Строительство-(4793)Торговля-(5050)Транспорт-(2929)Туризм-(1568)Физика-(3942)Философия-(17015)Финансы-(26596)Химия-(22929)Экология-(12095)Экономика-(9961)Электроника-(8441)Электротехника-(4623)Энергетика-(12629)Юриспруденция-(1492)Ядерная техника-(1748)

Ограниченный рост




Т.к. на популяцию оказывают влияние факторы (нехватка ресурса (продовольствия), вызывающая конкуренцию внутри популяции за ресурс, хищничество, конкуренция c другими видами), которые замедляют скорость роста популяции и выход ее численности на стационарный уровень. Т.е. возможности неограниченного роста у популяции нет, поэтому вводятся модели ограниченного роста.

Впервые системный фактор, ограничивающий рост популяции, описал Ферхюльст в уравнении логистического роста (1848):

(3)

Это уравнение обладает двумя важными свойствами. При малых х численность х возрастает экспоненциально (как в уравнении 2) при больших - приближается к определенному пределу К емкость популяции).

К определяется ограниченностью пищевых ресурсов, мест для гнездования, многими другими факторами, которые могут быть различными для разных видов. Таким образом, емкость экологической ниши представляет собой системный фактор,который определяет ограниченность роста популяции в данном ареале обитания.

Уравнение (3) можно также переписать в виде:

(3.1)  

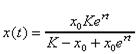
Здесь d - коэффициент внутривидовой конкуренции (за пищевой ресурс, убежища и т. п.) Уравнение (3.1) можно решить аналитически. Решение имеет вид:

(3.2)

Формула (3.2) описывает кинетическую кривую, то есть зависимость численности популяции от времени. Примеры экспериментально наблюдаемой динамики популяций, развивающихся по логистическому закону, приведены на рис. 2 а,б.

Рис. 2. Примеры ограниченного роста популяции. а - жук Rhizoretha dominica в 10-граммовой порции пшеничных зерен, пополняемых каждую неделю (Ccrombie, 1945). б? Водоросль Chlorella в культуре (Pearsall, Bengry, 1940)

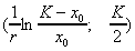
На рис. 2а сплошной линией представлен график функции (3.2).Если выражение (3.2) продифференцировать два раза по t, увидим, что кривая x(t) имеет точку перегиба, с координатами:

Ордината представляет собой половину максимальной численности, а абсцисса зависит как от емкости популяции K, так и от константы собственной скорости роста r - чем выше генетические возможности популяции, тем скорее наступает перегиб на кривой численности.




Поделиться с друзьями:


Дата добавления: 2015-05-10; Просмотров: 2207; Нарушение авторских прав?; Мы поможем в написании вашей работы!


Нам важно ваше мнение! Был ли полезен опубликованный материал? Да | Нет



studopedia.su - Студопедия (2013 - 2026) год. Все материалы представленные на сайте исключительно с целью ознакомления читателями и не преследуют коммерческих целей или нарушение авторских прав! Последнее добавление




Генерация страницы за: 0.012 сек.