Студопедия

КАТЕГОРИИ:


Архитектура-(3434)Астрономия-(809)Биология-(7483)Биотехнологии-(1457)Военное дело-(14632)Высокие технологии-(1363)География-(913)Геология-(1438)Государство-(451)Демография-(1065)Дом-(47672)Журналистика и СМИ-(912)Изобретательство-(14524)Иностранные языки-(4268)Информатика-(17799)Искусство-(1338)История-(13644)Компьютеры-(11121)Косметика-(55)Кулинария-(373)Культура-(8427)Лингвистика-(374)Литература-(1642)Маркетинг-(23702)Математика-(16968)Машиностроение-(1700)Медицина-(12668)Менеджмент-(24684)Механика-(15423)Науковедение-(506)Образование-(11852)Охрана труда-(3308)Педагогика-(5571)Полиграфия-(1312)Политика-(7869)Право-(5454)Приборостроение-(1369)Программирование-(2801)Производство-(97182)Промышленность-(8706)Психология-(18388)Религия-(3217)Связь-(10668)Сельское хозяйство-(299)Социология-(6455)Спорт-(42831)Строительство-(4793)Торговля-(5050)Транспорт-(2929)Туризм-(1568)Физика-(3942)Философия-(17015)Финансы-(26596)Химия-(22929)Экология-(12095)Экономика-(9961)Электроника-(8441)Электротехника-(4623)Энергетика-(12629)Юриспруденция-(1492)Ядерная техника-(1748)

Оценка точности результатов измерений




Свойства случайных ошибок измерений

Теория ошибок изучает только случайные ошибки. Это означает, что измеренные значения xэксп случайным образом разбросаны вокруг истинного значения X. Соответственно, величины Δx случайным образом распределены вокруг нуля.

Случайные ошибки имеют следующие свойства:

1. Чем меньше по абсолютной величине случайная ошибка, тем она чаще встречается при измерениях.

2. Одинаковые по абсолютной величине случайные ошибки одинаково часто встречаются при измерениях.

3. При данных условиях измерений величина случайной погрешности по абсолютной величине не превосходит некоторого предела. Под данными условиями подразумевается один и тот же прибор, один и тот же наблюдатель, одни и те же параметры внешней среды. Такие измерения называют равноточными.

4. Среднее арифметическое из случайных ошибок стремиться к нулю при неограниченном возрастании числа измерений.

Три первых свойства случайных ошибок достаточно очевидны. Четвертое свойство вытекает из второго.

Под точностью измерений понимается степень близости результата измерения к истинному значению измеряемой величины. Точность результата измерений зависит от условий измерений.

Теория говорит, что при произведении серии измерений наиболее близко к истинному значению измеряемой величины лежит среднее арифметическое серии измерений:

. (3)

Распределение случайной величины вокруг среднего значения описывается функций вероятности. Функция, удовлетворяющая свойствам случайных ошибок, имеет следующий вид:

Рис.1.

Распределение случайной величины вокруг среднего значения

 

Функция f(x) называется функцией вероятности распределения. Каждое значение функции f(x) на этом графике равно вероятности того, что случайная величина с данным значением x попадет в интервал [x, x+dx]. Здесь m – это среднее значение измеряемой величины при бесконечно большом количестве измерений:

(4)

В математике эту величину называют математическим ожиданием случайной величины и обозначают как M[x]. Считается, что при бесконечно большом числе измерений математическое ожидание равно истинному значению измеряемой величины. В дальнейшем вся математическая теория строится в предположении n–>∞, а для конечного числа измерений вводят соответствующие поправки.

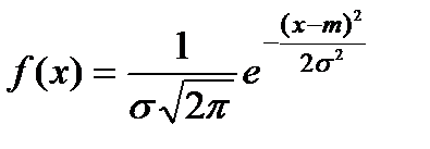
Наиболее распространенное выражение для функции f(x) – так называемое нормальное распределение Гаусса:

(5)

Величина σ называется средним квадратичным отклонением (или ошибкой) величины x, а σ2 называется дисперсией.

Функция f(x) нормирована на 1:

,

т. е. площадь под кривой равна 1. Обычно в теории принимают m = 0 и кривые рисуют в следующем виде:

Рис.2.

Математическое ожидание m = 0. Кривая I соответствует самому большому значению σ, кривая III – самому малому

 

Правило тех сигма: диапазон возможных значений случайной величины укладывается в интервал:

(6)

Рис.3.

Заштрихованные области имеют площадь, обозначенную соответствующими цифрами

 

 




Поделиться с друзьями:


Дата добавления: 2015-05-10; Просмотров: 752; Нарушение авторских прав?; Мы поможем в написании вашей работы!


Нам важно ваше мнение! Был ли полезен опубликованный материал? Да | Нет



studopedia.su - Студопедия (2013 - 2026) год. Все материалы представленные на сайте исключительно с целью ознакомления читателями и не преследуют коммерческих целей или нарушение авторских прав! Последнее добавление




Генерация страницы за: 0.012 сек.