Студопедия

КАТЕГОРИИ:


Архитектура-(3434)Астрономия-(809)Биология-(7483)Биотехнологии-(1457)Военное дело-(14632)Высокие технологии-(1363)География-(913)Геология-(1438)Государство-(451)Демография-(1065)Дом-(47672)Журналистика и СМИ-(912)Изобретательство-(14524)Иностранные языки-(4268)Информатика-(17799)Искусство-(1338)История-(13644)Компьютеры-(11121)Косметика-(55)Кулинария-(373)Культура-(8427)Лингвистика-(374)Литература-(1642)Маркетинг-(23702)Математика-(16968)Машиностроение-(1700)Медицина-(12668)Менеджмент-(24684)Механика-(15423)Науковедение-(506)Образование-(11852)Охрана труда-(3308)Педагогика-(5571)Полиграфия-(1312)Политика-(7869)Право-(5454)Приборостроение-(1369)Программирование-(2801)Производство-(97182)Промышленность-(8706)Психология-(18388)Религия-(3217)Связь-(10668)Сельское хозяйство-(299)Социология-(6455)Спорт-(42831)Строительство-(4793)Торговля-(5050)Транспорт-(2929)Туризм-(1568)Физика-(3942)Философия-(17015)Финансы-(26596)Химия-(22929)Экология-(12095)Экономика-(9961)Электроника-(8441)Электротехника-(4623)Энергетика-(12629)Юриспруденция-(1492)Ядерная техника-(1748)

Закон распределения ошибок




Ошибки отдельного измерения Δx также представляют собой случайную величину, которая подчиняется нормальному закону распределения:

(7)

Здесь σ – среднеквадратичная ошибка отдельного измерения.

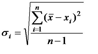
Среднеквадратичные ошибки среднего значения σср и отдельного измерения σi связаны следующим образом. Среднеквадратичная ошибка отдельного измерения вычисляется по формуле:

, (8)

средняя квадратичная ошибка среднего значения:

(9)

Отсюда:

(10)

Величина σср показывает, насколько полученное среднее значение отличается от истинного значения.

Пусть α означает вероятность того, что результат измерений отличается от истинного значения на величину не более Δx:

.

α называется доверительной вероятностью, или коэффициентом надежности.

Доверительный интервал:

Чем больше надежности мы требуем, тем больше получается доверительный интервал. И наоборот: чем шире мы возьмем доверительный интервал, тем больше надежность, т. е. меньше вероятность получить результат, не совпадающий с нашим.

Для α = 0,68:

Для α = 0,95:

Для α = 0,997:

 

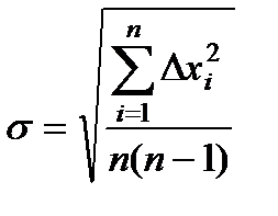
6. Обработка большого числа измерений (n > 30)

Вычисляется среднее арифметическое

Вычисляются отклонения каждого измерения:

Вычисляется среднеквадратичная ошибка среднего значения:

(11)

Величина σ показывает, насколько полученное среднее значение отличается от истинного значения.

Затем выбирается доверительная вероятность α и ошибка вычисляется как

Δx = ±ε*σ,

где ε – коэффициент, зависящий от выбранной надежности α.

Для любой величины доверительного интервала по формуле Гаусса может быть рассчитана соответствующая надежность. Результаты таких расчетов приводятся в справочниках.

 




Поделиться с друзьями:


Дата добавления: 2015-05-10; Просмотров: 1380; Нарушение авторских прав?; Мы поможем в написании вашей работы!


Нам важно ваше мнение! Был ли полезен опубликованный материал? Да | Нет



studopedia.su - Студопедия (2013 - 2026) год. Все материалы представленные на сайте исключительно с целью ознакомления читателями и не преследуют коммерческих целей или нарушение авторских прав! Последнее добавление




Генерация страницы за: 0.012 сек.