Студопедия

КАТЕГОРИИ:


Архитектура-(3434)Астрономия-(809)Биология-(7483)Биотехнологии-(1457)Военное дело-(14632)Высокие технологии-(1363)География-(913)Геология-(1438)Государство-(451)Демография-(1065)Дом-(47672)Журналистика и СМИ-(912)Изобретательство-(14524)Иностранные языки-(4268)Информатика-(17799)Искусство-(1338)История-(13644)Компьютеры-(11121)Косметика-(55)Кулинария-(373)Культура-(8427)Лингвистика-(374)Литература-(1642)Маркетинг-(23702)Математика-(16968)Машиностроение-(1700)Медицина-(12668)Менеджмент-(24684)Механика-(15423)Науковедение-(506)Образование-(11852)Охрана труда-(3308)Педагогика-(5571)Полиграфия-(1312)Политика-(7869)Право-(5454)Приборостроение-(1369)Программирование-(2801)Производство-(97182)Промышленность-(8706)Психология-(18388)Религия-(3217)Связь-(10668)Сельское хозяйство-(299)Социология-(6455)Спорт-(42831)Строительство-(4793)Торговля-(5050)Транспорт-(2929)Туризм-(1568)Физика-(3942)Философия-(17015)Финансы-(26596)Химия-(22929)Экология-(12095)Экономика-(9961)Электроника-(8441)Электротехника-(4623)Энергетика-(12629)Юриспруденция-(1492)Ядерная техника-(1748)

Основные параметры распределения. Средняя дисперсия




Статистические гипотезы. Нулевая и альтернативная гипотезы.

Статистическая гипотеза – это предположение о свойствах случайных величин или событий, которое мы хотим проверить по имеющимся данным. Примеры статистических гипотез в педагогических исследованиях:

Гипотеза 1. Успеваемость класса вероятностно зависит от уровня обучаемости учащихся.

Гипотеза 2. Усвоение начального курса математики не имеет существенных различий у учащихся, начавших обучение с 6 или 7 лет.

Гипотеза 3. Проблемное обучение в первом классе эффективнее по сравнению с традиционной методикой обучения в отношении общего развития учащихся.

Каждая проверка гипотез предполагает наличие основной (нулевой) и альтернативной гипотез.

Принято считать, что нулевая гипотеза H0 – это гипотеза о сходстве, а альтернативная H1–гипотеза о различии. Т.о. принятие нулевой гипотезы H0 свидетельствует об отсутствии различий, а гипотеза H1 o наличии различий. Альтернатив­ная гипотеза - это то, что мы хотим до­казать, поэтому иногда ее называют экспериментальной гипотезой.

Нулевая гипотеза - это гипотеза об отсутствии различий. Она обозначается как H0 и называется нулевой потому, что содержит число 0: X1- Х2=0, где X1, X2 - сопоставляемые значения признаков.

Нулевая гипотеза - это то, что мы хо­тим опровергнуть, если перед нами стоит задача доказать значимость различий.

Альтернативная гипотеза - это гипотеза о значимости различий. Она обозначается как H1.

 

24.Правило принятия гипотез.
Если эмпирическое значение критерия = критическому значению (р меньше или =0,05 или превышает его, то Н0 откланяется, но мы еще не можем определенно принять Н1. Если эмпирическое (опытное) значение критерия равно критическому значению (р меньше или =0,01 или превышает его, то Н0 отклоняется и принимается Н1. Исключение: критерий знаков G, критерий T - Вилсоксона, критерий Манна Уитни (U).
Нулевая гипотеза Н0 это гипотеза от отсутствия различия и называется так, потому что содержит 0.
Н0: х1-х2=0, где х1 и х2-сопоставляемые значения признака. Пр: 1а класс не отличается от 1б по уровню тревожности. Н1-наоборот.
Н1-альтернативная гипотеза - гипотеза о значимости различий, это то, что мы хотим доказать, потому её ещё называется экспериментальной.

 

Распределением признака называется закономерность встречаемо­сти разных его значений.

Параметры распределения - это его числовые характеристики, указывающие, где "в среднем" располагаются значения признака, на­сколько эти значения изменчивы и наблюдается ли преимущественное появление определенных значений признака. Наиболее практически важными параметрами являются математическое ожидание, дисперсия, показатели асимметрии и эксцесса.

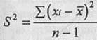
Оценка дисперсии определяется по формуле:

где xi - каждое наблюдаемое значение признака;

- среднее арифметическое значение признака;

n - Количество наблюдений.

Величина, представляющая собой квадратный корень из несме­щенной оценки дисперсии (S), называется стандартным отклонением или средним квадратическим отклонением. Для большинства исследова­телей привычно обозначать эту величину греческой буквой σ (сигма), а не S. На самом деле, σ - это стандартное отклонение в генеральной совокупности, a S - несмещенная оценка этого параметра в исследован­ной выборке. Но, поскольку S - лучшая оценка σ (Fisher R.A., 1938), эту оценку стали часто обозначать уже не как S, а как σ.

27 .Основые параметры распределения. Показатели ассиметрии, эксцесса.

В тех случаях, когда какие-нибудь причины благоприятствуют более частому появлению значений, которые выше или, наоборот, ниже среднего, образуются асимметричные распределения. При левосторон­ней, или положительной, асимметрии в распределении чаще встречаются более низкие значения признака, а при правосторонней, или отрица­тельной - более высокие (см. Рис. 1.5).

Показатель асимметрии (A)вычисляется по формуле:

В тех случаях, когда какие-либо причины способствуют преиму­щественному появлению средних или близких к средним значений, об­разуется распределение с положительным эксцессом. Если же в рас­пределении преобладают крайние значения, причем одновременно и бо­лее низкие, и более высокие, то такое распределение характеризуется отрицательным эксцессом и в центре распределения может образоваться впадина, превращающая его в двувершинное (см. Рис. 1.6).

Показатель эксцесса (E) определяется по формуле:

 

29. Уровень статистической значимости.

Уровень значимости - это вероятность того, что мы сочли разли­чия существенными, а они на самом деле случайны.

Когда мы указываем, что различия достоверны на 5%-ом уровне значимости или при р меньше или равно 0,05, то мы имеем ввиду, что вероятность того, что они все-таки недостоверны, составляет 0,05.

Пример: корреляция между двумя групповыми иерархиями.

Уровнем p-значимости называется самый маленький уровень значимости, при котором будет отвергнута основная гипотеза при допущении, что основная гипотеза является истиной.

Если перевести все это на более формализованный язык, то уро­вень значимости - это вероятность отклонения нулевой гипотезы, в то время как она верна т.е. вероятность ошибки 1-го рода и называется уровнем значимости α

 

Пример про Джозефа гольпе, раховой

Сформулировать гипотезы

 

 




Поделиться с друзьями:


Дата добавления: 2015-05-10; Просмотров: 614; Нарушение авторских прав?; Мы поможем в написании вашей работы!


Нам важно ваше мнение! Был ли полезен опубликованный материал? Да | Нет



studopedia.su - Студопедия (2013 - 2026) год. Все материалы представленные на сайте исключительно с целью ознакомления читателями и не преследуют коммерческих целей или нарушение авторских прав! Последнее добавление




Генерация страницы за: 0.012 сек.