Студопедия

КАТЕГОРИИ:


Архитектура-(3434)Астрономия-(809)Биология-(7483)Биотехнологии-(1457)Военное дело-(14632)Высокие технологии-(1363)География-(913)Геология-(1438)Государство-(451)Демография-(1065)Дом-(47672)Журналистика и СМИ-(912)Изобретательство-(14524)Иностранные языки-(4268)Информатика-(17799)Искусство-(1338)История-(13644)Компьютеры-(11121)Косметика-(55)Кулинария-(373)Культура-(8427)Лингвистика-(374)Литература-(1642)Маркетинг-(23702)Математика-(16968)Машиностроение-(1700)Медицина-(12668)Менеджмент-(24684)Механика-(15423)Науковедение-(506)Образование-(11852)Охрана труда-(3308)Педагогика-(5571)Полиграфия-(1312)Политика-(7869)Право-(5454)Приборостроение-(1369)Программирование-(2801)Производство-(97182)Промышленность-(8706)Психология-(18388)Религия-(3217)Связь-(10668)Сельское хозяйство-(299)Социология-(6455)Спорт-(42831)Строительство-(4793)Торговля-(5050)Транспорт-(2929)Туризм-(1568)Физика-(3942)Философия-(17015)Финансы-(26596)Химия-(22929)Экология-(12095)Экономика-(9961)Электроника-(8441)Электротехника-(4623)Энергетика-(12629)Юриспруденция-(1492)Ядерная техника-(1748)

Усвоение белков




 

Белки пищи расщепляются ферментами в желудочно-кишечном тракте до составляющих их аминокислот (рис. 1.1). Белки, поступающие в желудок, стимулируют выделение гормона гастрина, который в свою очередь вызывает секрецию соляной кислоты обкладочными клетками желез слизистой желудка, а также пепсиногена главными клетками. Желудочный сок имеет рН от 1,5 до 2,5. Благодаря такой кислотности он действует как антисептик, убивая большинство бактерий и других клеток. Кроме того, в условиях низкого рН желудочного сока глобулярные белки подвергаются денатурации, их молекулы разворачиваются и вследствие этого внутренние пептидные связи полипептидных цепей становятся более доступными для ферментативного гидролиза. Пепсиноген, являющийся неактивным предшественником фермента, или зимогеном, превращается в желудочном соке в активный пепсин в результате ферментативного действия самого пепсина, т.е. путем автокатализа. В ходе этого процесса с N-конца полипептидной цепи пепсиногена отщепляются 42

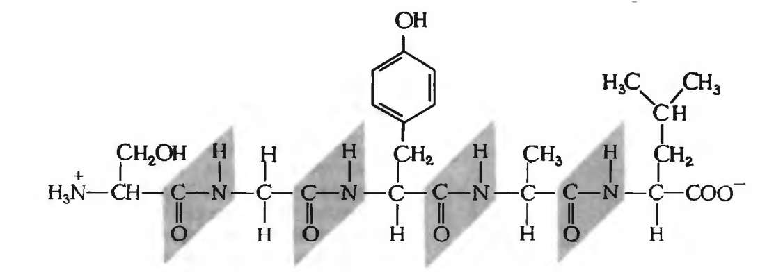
    N-конец     С-конец
Пептидная связь Белок (Se r- Gly - Tyr - Ala - Leu)  

 

Аминокислота

 

Фермент Активность
Пепсин (К.Ф. 3.4.4.1) Атакует пептидные связи образованные: Tyr, Phe, Trp, Leu, Glu, Gln
Трипсин (К.Ф. 3.4.4.4) Атакует пептидные связи образованные: Lys, Arg
Химотрипсин (К.Ф. 3.4.4.5) Атакует пептидные связи образованные: Tyr, Phe, Tr p
Карбоксипептидаза (К.Ф. 3.4.2.1) Последовательное отщепление С-концевых остатков
Аминопептидаза (К.Ф. 3.4.1.1) Последовательное отщепление N-концевых остатков

 

Рис. 1.1. – Переваривание белков: 1 – протеолитические ферменты

 

аминокислотных остатка в виде смеси коротких пептидов. Остающаяся интактной остальная часть молекулы пепсиногена представляет собой ферментативно активный пепсин (К.Ф. 3.4.4.1). В желудке пепсин гидролизует те пептидные связи в белках, которые образованы ароматическими аминокислотами: тирозином, фенилаланином и триптофаном, а также рядом других; в итоге из длинных полипептидных цепей образуется смесь более коротких пептидов.

Как только кислое содержимое желудка попадает в тонкий кишечник, в нем под влиянием низкого рН начинается секреция гормона секретина, поступающего в кровь. Этот гормон в свою очередь стимулирует выделение из поджелудочной железы в тонкий кишечник бикарбоната, что приводит к нейтрализации НС1 желудочного сока. В результате рН резко возрастает от 1,5–2,5, до ≈ 7. В тонком кишечнике переваривание белков продолжается. Поступление аминокислот в двенадцатиперстную кишку вызывает освобождение гормона холецистокинина, который стимулирует секрецию нескольких ферментов поджелудочной железы с оптимумом рН около 7. Три из них: трипсин (К.Ф. 3.4.4.4), химотрпсин (К.Ф. 3.4.4.5) и карбоксипептидаза (К.Ф. 3.4.2.1) – вырабатываются экзокринными клетками поджелудочной железы в виде ферментативно неактивных зимогенов: трипсиногена, химотрипсиногена и прокарбоксипептидазы, соответственно. Благодаря синтезу протеолитических ферментов в виде неактивных предшественников экзокринные клетки не подвергаются разрушению этими ферментами. Попав в тонкий кишечник, трипсиноген, под действием энтерокиназы, специализированного протеолитического фермента, секретируемого клетками кишечного эпителия, превращается в активную форму – трипсин. Свободный трипсин по мере своего образования также участвует в каталитическом превращении трипсиногена в трипсин. Образование свободного трипсина обусловлено отщеплением гексапептида от N-конца полипептидной цепи трипсиногена.

Активный центр трипсина состоит из трех аминокислотных остатков: серин-195 (принято, что нумерация аминокислотных остатков в трипсине соответствует их положениям в проферменте), гистидин-57 и аспарагиновая кислота-102. Сорбционный участок содержит карбоксильную группу аспарагиновой кислоты-189, которая определяет специфичность трипсина к положительно заряженным субстратам. Механизм каталитического гидролиза включает стадию сорбции субстрата, расщепления пептидной связи с образованием ацилфермента и переноса ацильной группы на нуклеофильный акцептор. Трипсин гидролизует пептидные связи, образованные с участием карбонильных групп лизина и аргинина.

Молекула химотрипсиногена представляет собой одну полипептидную цепь с несколькими внутрицепочечными дисульфидными связями. Попав в тонкий кишечник, химотрипсиноген превращается в химотрипсин под действием трипсина, который разрывает длинную полипептидную цепь химотрипсиногена в двух местах, выстригая дипептиды. Три фрагмента, образовавшиеся из исходной цепи химотрипсиногена, удерживаются, однако, вместе посредством перекрестных дисульфидных связей. Химотрипсин гидролизует пептидные связи, образованные остатками фенилаланина, тирозина и триптофана. Следовательно, трипсин и химотрипсин расщепляют полипептиды, образовавшиеся в желудке под действием пепсина, на пептиды меньшей величины. Этот этап переваривания белков протекает с очень высокой эффективностью, поскольку пепсин, трипсин и химотрипсин проявляют при гидролизе полипептидных цепей разную специфичность в отношении пептидных связей, образованных разными аминокислотами.

Деградация коротких пептидов в тонком кишечнике осуществляется другими пептидазами. К ним относится в первую очередь карбоксипептидаза – цинксодержащий фермент, синтезируемый в поджелудочной железе в виде неактивного зимогена прокарбоксипептидазы. Активный центр карбоксипептидазы имеет форму кармана, в полости которого находится атом Zn. В активный центр входят также остатки глутаминовой кислоты, тирозина и аргинина. Функция последнего в механизме катализа – связывание С-концевой карбоксильной группы. Карбоксипептидаза последовательно отщепляет от пептидов С-концевые остатки.

Тонкий кишечник секретирует также аминопептидазу (К.Ф. 3.4.1.1), отщепляющую от коротких пептидов один за другим N-концевые остатки.

В результате последовательного действия этих протеолитических ферментов и пептидаз перевариваемые белки в конечном итоге превращаются в смесь свободных аминокислот, которые далее транспортируются через эпителиальные клетки, выстилающие тонкие кишки. Свободные аминокислоты проникают в капилляры ворсинок и переносятся кровью в печень.

В желудочно-кишечном тракте человека не все белки перевариваются целиком. Большинство животных белков почти полностью гидролизуются до аминокислот, однако ряд фибриллярных белков, например кератин, переваривается только частично. Многие белки растительной пищи, в частности белки зерен злаков, неполностью расщепляются в силу того, что белковая часть семян и зерен покрыта неперевариваемой целлюлозной оболочкой (шелухой).

Известно редкое заболевание стеаторрея (упорный понос), при котором ферменты кишечника не способны переваривать определенные водорастворимые белки зерна, в частности глиадин, повреждающий эпителиальные клетки кишечника. Из пищи таких больных исключают зерновые продукты. Другим заболеванием, связанным с отклонением от нормы активности протеолитических ферментов пищеварительного тракта, является острый панкреатит. При этом заболевании, обусловленном нарушением процесса выделения сока поджелудочной железы в кишечник, предшественники протеолитических ферментов (зимогены) превращаются в соответствующие каталитически активные формы слишком рано, будучи еще внутри клеток поджелудочной железы.

В результате эти мощные ферменты воздействуют на ткань самой железы, вызывая глубокое и очень болезненное разрушение органа, что может привести к смертельному исходу. В норме зимогены, выделяемые поджелудочной железой, не активируются до тех пор, пока не попадут в тонкий кишечник. Поджелудочная железа защищается от самопереваривания и другим путем: в ней синтезируется особый белок – специфический ингибитор трипсина. Поскольку свободный трипсин активирует не только трипсиноген и химотрипсиноген, но также и зимогены двух других пищеварительных ферментов: прокарбоксипептидазу и проэластазу, ингибитор трипсина успешно предотвращает преждевременное образование свободных протеолитических ферментов в клетках поджелудочной железы.

 

 




Поделиться с друзьями:


Дата добавления: 2015-05-29; Просмотров: 1063; Нарушение авторских прав?; Мы поможем в написании вашей работы!


Нам важно ваше мнение! Был ли полезен опубликованный материал? Да | Нет



studopedia.su - Студопедия (2013 - 2026) год. Все материалы представленные на сайте исключительно с целью ознакомления читателями и не преследуют коммерческих целей или нарушение авторских прав! Последнее добавление




Генерация страницы за: 0.014 сек.