Студопедия

КАТЕГОРИИ:


Архитектура-(3434)Астрономия-(809)Биология-(7483)Биотехнологии-(1457)Военное дело-(14632)Высокие технологии-(1363)География-(913)Геология-(1438)Государство-(451)Демография-(1065)Дом-(47672)Журналистика и СМИ-(912)Изобретательство-(14524)Иностранные языки-(4268)Информатика-(17799)Искусство-(1338)История-(13644)Компьютеры-(11121)Косметика-(55)Кулинария-(373)Культура-(8427)Лингвистика-(374)Литература-(1642)Маркетинг-(23702)Математика-(16968)Машиностроение-(1700)Медицина-(12668)Менеджмент-(24684)Механика-(15423)Науковедение-(506)Образование-(11852)Охрана труда-(3308)Педагогика-(5571)Полиграфия-(1312)Политика-(7869)Право-(5454)Приборостроение-(1369)Программирование-(2801)Производство-(97182)Промышленность-(8706)Психология-(18388)Религия-(3217)Связь-(10668)Сельское хозяйство-(299)Социология-(6455)Спорт-(42831)Строительство-(4793)Торговля-(5050)Транспорт-(2929)Туризм-(1568)Физика-(3942)Философия-(17015)Финансы-(26596)Химия-(22929)Экология-(12095)Экономика-(9961)Электроника-(8441)Электротехника-(4623)Энергетика-(12629)Юриспруденция-(1492)Ядерная техника-(1748)

Энергия электростатического поля




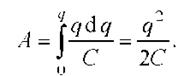
Энергия заряженного конденсатора.

Элементарная работа внешних сил по перенесению малого заряда dq с обкладки 2 конденсатора на обкладку 1

Работа внешних сил при увеличении заряда конденсатора от 0 до q

Энергия заряженного конденсатора (используя )

 

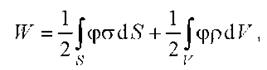
В общем случае электрическую энергию любой системы заряженных неподвижных тел - проводников и непроводников - можно найти по формуле


где σ и ρ- поверхностная и объемная плотности свободных зарядов; ср - потенциал результирующего поля всех свободных и связанных зарядов в точках малых элементов dS и dV заряженных поверхностей и объемов. Интегрирование проводится по всем заряженным поверхностям S и по всему заряженному объему V тел системы.

На примере поля плоского конденсатора выразим энергию поля через его напряженность. Для конденсатора Отсюда

В однородном поле конденсатора его энергия распределена равномерно по всему объему поля V = Sd.

Объемная плотность энергии электростатического поля плоского конденсатора w

Где - электрическое смещение.

Эта формула является отражением того факта, что электростатическая энергия сосредоточена в электростатическом поле. Это выражение справедливо также и для неоднородных полей.

 

Пондеромоторные силы.

Механические силы, действующие на заряженные тела, помещенные в электромагнитное поле, называются пондеромоторными силами (от латинских слов ponderis - тяжесть и motor - движущий).

Например, в плоском конденсаторе сила, с которой пластины конденсатора притягивают друг друга, совершает работу за счет уменьшения потенциальной энергии системы. С учетом и , получаем

 

где знак минус указывает на то, что эта сила является силой притяжения. Под действием этой силы обкладки конденсатора сжимают пластину диэлектрика, помещенного между ними, и в диэлектрике возникает давление

 

Задача №1. Четыре одинаковых положительных точечных заряда величиной qi = 3,3·10-9 Клзакреплены в вершинах квадрата со стороной0,1 м. Найти силу, действующую со стороны трех зарядов на четвертый.

 

qi = 3,3·10-9 Кл; а = 0,1 м.
F –?

Решение: сила, действующая на заряд q4 со стороны трех зарядов q1, q2 и q3, равна:

Учитывая, что

F ≈ 2·10-5 H.

Ответ: сила, действующая на четвёртый заряд равна F ≈ 2·10-5 H.

 

Задача №2. Два точечных отрицательных заряда q1 и q2 находятся на расстоянии ℓ друг от друга. Где надо поместить третий точечный зарядq3,чтобы все три заряда оказались в равновесии? Какова должна быть величина и знак заряда q3?

Решение: заряд q3 должен находиться между зарядами q1 и q2 на прямой, их соединяющей, поскольку только в этом случае силы F31 и F32, с которыми на заряд q3 действуют заряды q1 и q2 будут располагаться на одной прямой и иметь противоположные направления, что необходимо для равновесия. Силы, действующие на каждый из зарядов q1 и q2 со стороны двух других зарядов, будут уравновешены, если знак заряда q3 будет положительным.

Пусть заряд q3 находится на расстоянии x0 от заряда q1. Запишем условие равновесия заряда q3, к которому приложены силы F31 и F32:

F31 = F32 (1)

Подставим в уравнение (1) вместо сил их значения по закону Кулона

Найдем два значения искомого расстояния x :

Отбросим корень x2, поскольку при этом заряд q находится не между зарядами q1 и q2, что невозможно для его равновесия.

Следовательно искомое расстояние x0 равно:

(2)

Чтобы найти величину заряда q3, запишем условие равновесия одного из двух зарядов q1 или q2, например q1:

F12 = F31.

Поставим вместо сил их значения по закону Кулона и получим:

Заменим величину x0 ее значением по формуле (2) и получим:

Ответ: знак заряда q3 отрицателен и равен

 

Задача №3. Два одинаковых маленьких шарика массой m = 0,4 г каждый подвешены на непроводящих нитях длиной ℓ = 1 м к одной точке. После того как шарикам были сообщены одинаковые заряды q,они разошлись на расстояние r = 9 см. Определить заряды шариков и силу натяжения нити. Диэлектрическая проницаемость воздуха ε = 1.

 

m1 = m2 = m = 0,4 г = 4·10-4 кг; r = 9 cм = 9·10-2 м; ε = 1; ℓ1 = ℓ2 = ℓ = 1 м.
q, Т –?

Решение: на каждый шарик (рис.) действуют следующие силы: сила тяжести , сила натяжения нити и сила взаимодействия Шарик находится в равновесии. Следовательно, выполняется условие:

,

поэтому суммы проекций сил на оси ОХ и ОУ равны нулю:

F – Tsinα = 0,

Tcosα – mg = 0,

или Tsinα = F,

Tcosα = mg (1)

 

Разделив равенства (1) почленно первое на второе, получим:

Так как угол α мал то , поэтому:

(2)

По закону Кулона:

Подставим это выражение в равенство (2):

,

откуда

Из уравнения (1) найдем модуль силы натяжения нити:

,

Ответ: заряды имели величину по 1·10-8 Кл, сила натяжения нити 4·10-3 Н.

 

Задача №4. В двух вершинах при основании прямоугольного равнобедренного треугольника расположены точечные заряды q1 = q2 = 2·10-8Кл. Расстояние между зарядами 0,6 м. Найти напряженность и потенциал электрического поля в третьей вершине треугольника, а также по середине между зарядами.

 

q1 = q2 = q = 2·10-8 Кл; ε = 1; ℓ = 0,6 м.
Еа, φа, Ев, φв –?

 

Решение: направления векторов напряженностей в точке А и В показаны на чертеже (рис.). Напряженности и потенциалы в точке А от каждого заряда, удаленного от точки А на , равны:

;

.

Тогда для результирующего поля в точке А:

ЕА ≈ 1,4·103 Н/Кл.

φА ≈ 840 В.

Векторы напряженности в точке В от каждого заряда равны и противоположны, а потенциалы от каждого заряда:

Поэтому для суммарного поля в точке В:

Ев = 0;

φв ≈ 1200 В

Ответ: согласно рисунка для точек А и В: φА = 840 В; ЕА = 1,4·103 Н/Кл; φв = 1200 В; Ев = 0

 

Задача №5. В вертикальном однородном электрическом поле напряженностью Е = 600 В/см находится в равновесии капелька ртути. Заряд капли равен 0,8·10-19 Кл. Найти радиус капли. Плотность ртути 1,36·104 кг/м3.

q = 0,8·10-19 Кл; Е = 600 В/см; ρ = 1,36·104 кг/м3.
r –?

Решение: на капельку ртути действуют сила тяжести mg и электрическая сила F (рис.). По условию равновесия в проекции на вертикаль mg – F = 0.

Масса шарика:

Из этих уравнений с учетом, что F = qE, получим:

Ответ: радиус капли 4,4·10-7 м.

 

Задача №6. Положительно заряженный металлический шар (рис.) создает поле, напряженность которого в точке А ЕА = 100 В/м, а в точке С – Ес = 36 В/м. Какова напряженность поля в точке В, лежащей посередине между точками А и С? Шар находится в воздухе.

ЕА = 100 В/м; Еc = 36 В/м; ε = 1; ε = 8,85·10-12 Ф/.
Ев –?

Решение: обозначим расстояние от центра шара О до точек А, В и С через r1, r2 и r3 соответственно. Тогда напряженность поля в точке В:

(1)

где q – заряд шара.

Учитывая, что АВ = ВС, найдем:

(2)

Напряженности поля в точках А и С равны соответственно:

,

Выразим отсюда расстояния r1 и r3:

,

.

Учитывая эти значения, по формуле (2) находим:

(3)

Подставим значение (3) в формулу (1), получим после преобразований и вычислений:

Ответ: напряженность в т. В равна 56 В/м.

 

Задача №7. Поле образовано зарядом q1 = 166,7·10-9 Кл. Какую работу надо совершить, чтобы одноименный заряд q2 = 3,3·10-9 Кл перенести из точки, удаленной от первого заряда на 50 см в точку, удаленную от первого заряда на 5 см?

q1 = 166,7·10-9 Кл; q2 = 3,3·10-9 Кл; r1 = 50 см = 0,5 м; r2 = 5 см = 0,05 м.
А1 –?

Решение: пусть заряд q2 перемещается из точки В в точку С в электрическом поле, созданном точечным зарядом q1 (рис.). Работа сил поля:

где φв, φА – потенциалы поля, образованного точечным зарядом q1 в точках В и С:

,

Из этих уравнений:

А = –9·10-5 Дж.

Знак минус означает, что электрическая сила направлена в сторону, противоположную движению. Для перемещения заряда к нему должна быть приложена внешняя сила, направленная по движению, работа которой А1 = –А.

Ответ: надо совершить работу А1 = –9·10-5 Дж.

 

Задача №8. Найти скорость электрона, прошедшего разность потенциалов, равную 103 B. Начальная скорость равна нулю.

U = 103 B; m = 9,1·10-31 Кг; e = –1,6·10-19 Кл; U0 = 0.
v –?

Решение: работа сил поля идет на увеличение кинетической энергии электрона:

А = ∆Ек,

где А = |e|U,

Из этих зависимостей:

v = 1,87·107 м/с.

Ответ: электрон получает скорость 1,87·107 м/с.

 

Задача №9. Электрон движется по направлению силовой линии однородного электрического поля из точки, потенциал которой 104 В. Как долго движется электрон в поле до полной потери скорости, если его начальная скорость 3·107 м/с, а перемещение электрона до полной остановки 5·10-3 м? Определить потенциал точки, в которой скорость электрона станет равной нулю. Найти отношение силы тяжести электрона к силе, действующей на него со стороны поля.

φ1 = 104 В; v0 = 3·107 м/с; v = 0; S = 5·10-3 м; q = –1,6·10-19 Кл; m = 9,1·10-31 кг.
φ2, t, n –?

Решение: на электрон действует сила со стороны электрического поля (рис.). Поскольку поле однородное, то , и движение электрона является равнозамедленным. Уравнения кинематики:

Из этих уравнений:

t = 3,3·10-10 c.

Работа поля равна изменению кинетической энергии электрона:

A = ∆Ек

Так как:

то

φ2 = 7,4·103 В.

Из этих формул с учетом равенства найдем требуемое отношение сил:

Ответ: потенциал точки, в которой скорость электрона равна нулю, 7,4·103 В. Отношение mg/F равно 1,1·10-16.

 

Задача №10. 1000 одинаковых заряженных шарообразных капель воды имеют одинаковый потенциал 10-2 В. Определить потенциал большой капли, получившейся в результате слияния малых капель.

φ = 10-2 В; N = 1000.
φ0 –?

Решение: потенциалы большой φ0 и одной малой капель:

где R, q0 – радиус и заряд большой капли,

r, q – радиус и заряд малой капли.

При слиянии N малых капель заряд большой капли:

Объем большой капли равен сумме объемов малых капель:

Из этих уравнений найдем:

Ответ: потенциал большой капли 1 В.

 

Задача №11. Шар радиусом 5·10-2 м имеет заряд 6·10-8 Кл, шар радиусом 1·10-1 м и имеет такой же заряд. Шары соединяют проволокой. Какое количество электричества переместится с одного шара на другой.

r1 = 5·10-2 м; r2 = 1·10-1 м; q = 6·10-8 Кл; ε = 1.
∆q –?

Решение: у шаров одинаковые заряды, но потенциалы разные: большой шар, т.е. с большой емкостью, имеет меньший потенциал. Под действием разности потенциалов заряды будут перетекать по проволоке в направлении от меньшего шара к большему. Это перетекание будет происходить до тех пор, пока потенциалы обоих шаров не выравниваются до одного значения φ. Заряд первого малого шара уменьшится на величину ∆q и будет равен ; заряд второго шара увеличится на ту же величину ∆q и станет равным . Потенциал шаров после соединения:

или .

Отсюда

Ответ: заряд перемещается в 2·10-8 Кл с меньшего шара на больший.

 

Задача №12. Плоский воздушный конденсатор зарядили при помощи источника с напряжением U1 = 200 В. Затем конденсатор был отключен от источника. Каким станет напряжение между пластинами, если расстояние между ними увеличить от d1 = 0,2 мм до d2 = 0,7 мм, а пространство между пластинами заполнить слюдой (ε2 = 7).

U1 = 200 В; d1 = 0,2 мм = 0,2·10-3 м; d2 = 0,7 мм = 0,7·10-3 м; ε1 = 1; ε2 = 7.
U2 –?

Решение: емкость конденсатора и напряжение на нем до раздвижения пластин равны:

(1)

а после раздвижения:

(2)

Так как конденсатор перед раздвижением был отключен от источника напряжения, то заряд на пластинах конденсатора q не изменяется. Поэтому разделив почленно выражение (1) на (2), получим

откуда

U2 = 100 В.

Ответ: напряжение уменьшится до 100 В.

 

Задача №13. Обкладки конденсатора с неизвестной емкостью С1, заряженного до напряжения U1 = ∆φ1 = 80 В, соединяют с обкладками конденсатора емкостью C2 = 60 мкФ, заряженного до U2 = ∆φ2 = 16 В. Определить емкость С1, если напряжение на конденсаторах после их соединения U = 20 B. Конденсаторы соединяются обкладками, имеющими:

а) одноименные заряды;

б) разноименные заряды.

U1 = ∆φ1 = 80 В; U2 = ∆φ2 = 16 В; C2 = 60 мкФ; U = 20 B.
С, С –?

Решение: заряды на каждом конденсаторе до соединения равны:

q1 = C1·U1,

q2 = C2·U2.

Емкость системы конденсаторов после соединения:

C = C1 + C2,

суммарный заряд: q = UC = U·(C1 + C2).

Суммарный заряд системы должен равняться сумме зарядов на конденсаторах до соединения.

Следовательно:

1) для случая a: q1 + q2 = q или C1U1 + C2U2 = (C1 + C2)·U,

2) для случая б: q1 – q2 = q или C1U1 – C2U2 = (C1 + C2)·U,

Ответ: а) С1 = 4 мкФ, б) С2 = 36 мкФ.

 

Задача №14. Однородное электростатическое поле, напряженность которого Е = 1·104 В/м, образовано двумя заряженными параллельными пластинами, расположенными на расстоянии d = 2 см друг от друга в воздухе. Какова разность потенциалов между пластинами? Чему будет равна разность потенциалов, если между пластинами параллельно им поместить металлический лист толщиной d1 = 2 см?

Е = 1·104 В/м; d = 2 см = 2·10-2 м; d1 = 5 см = 5·10-2 м; ε = 1.
U1 –?

Решение: воспользуемся формулой, устанавливающей связь между напряженностью Е однородного электрического поля и разностью потенциалов U:

отсюда U = Ed. (1)

Если между пластинами параллельно им поместить металлический лист толщиной d1 (рис. а), это приведет к образованию двух последовательно соединенных конденсаторов с расстояниями между обкладками d2 и d3 (рис. б). Емкости этих конденсаторов:

(2)

где S – площадь одной пластины.

Пусть С – их общая емкость при последовательном соединении. Тогда:

откуда

Подставляя сюда значения (2) и учитывая, что d2 + d3 = d – d1, получаем:

(3)

Обозначим через С0 емкость конденсатора, образованного двумя заряженными пластинами до внесения металлического листа. Заряд конденсатора до и после внесения листа один и тот же, так как конденсатор отключен от источника тока. Поэтому q = C0·U = C·U1.

Отсюда: (4)

Подставив в формулу (4) а также значения (1) и (3), после очевидных преобразований получим:

U1 = E·(d – d1). (5)

U1 = 2·102 В/м.

Формулы (3) и (5) показывают, что ведение проводящей пластины толщиной d1, между обкладками конденсатора эквивалентно уменьшению расстояния между обкладками на эту толщину. В отключенном от источника тока конденсаторе это приводит к уменьшению разности потенциалов между обкладками.

 

Задача №15. Найти емкость батареи конденсаторов, соединенных по схеме, приведенной на рис. а. Все конденсаторы имеют одинаковую емкость С = 11 мкФ.

Решение: на рис. б изображена схема, эквивалентная данной схеме. Конденсаторы С1, С2 и С3 соединены последовательно. Их общая емкость С′ = С/3. Параллельно этой цепи подключен конденсатор С4. Значит, емкость цепи между точками D и Е:

Теперь имеем схему, изображенную на рис. в. Емкость этой батареи Сб найдем из формулы для последовательного соединения конденсаторов:

откуда

Сб = 4 мкФ.

 

Задача №16. Конденсаторы емкостями С, 2С и Сх соединены по схеме, приведенной на рис. Емкость батареи не изменяется при замыкании ключа К. Определить емкость Сх.

Решение: найдем сначала емкость батареи при разомкнутом ключе. Если соединены последовательно два конденсатора емкостями С1 и С2, то их общая емкость:

Воспользуемся этой формулой и найдем, что при разомкнутом ключе емкость верхней ветви, состоящей из последовательно соединенных конденсаторов емкостями С и 2С, равна:

Емкость нижней ветви, состоящей из последовательно соединенных конденсаторов емкостями Cx и C равна:

Верхняя и нижняя ветви соединены между собой параллельно. Поэтому емкость батареи:

(1)

При замкнутом ключе конденсаторы емкостями C и Cx соединены параллельно; их общая емкость равна;

C + Cx.

Конденсаторы емкостями 2C и C тоже соединены параллельно; их общая емкость равна:

2C + C = 3C.

Ветви, емкости которых C + Cx и 3C соединены последовательно. Значит, при замкнутом ключе емкость батареи:

(2)

По условию C′ = C″, поэтому на основании формул (1) и (2)

Решив это уравнение относительно Сх получим значение искомой емкости:

 

Задача №17. Пространство между пластинами плоского конденсатора заполнено диэлектриком. При некоторой разности потенциалов между пластинами энергия конденсатора W = 2·10-5 Дж. После того как конденсатор отключили от источника напряжения, диэлектрик из конденсатора вынули. При этом против сил электростатического поля надо было совершить работу А = 7·10-5 Дж. Найти диэлектрическую проницаемость диэлектрика.

W = 2·10-5 Дж; А = 7·10-5 Дж.
ε –?

Решение: пусть q – заряд конденсатора, C – его емкость при наличии диэлектрика между пластинами. Тогда энергия заряженного конденсатора:

После того как вынули диэлектрик, емкость конденсатора уменьшилась в ε раз:

заряд остался прежним, а энергия приняла значение:

Изменение энергии равно работе внешних сил:

W1 – W = A или εW – W = A,

отсюда

Ответ: диэлектрическая проницаемость диэлектрика 4,5.

 

 




Поделиться с друзьями:


Дата добавления: 2015-06-04; Просмотров: 896; Нарушение авторских прав?; Мы поможем в написании вашей работы!


Нам важно ваше мнение! Был ли полезен опубликованный материал? Да | Нет



studopedia.su - Студопедия (2013 - 2025) год. Все материалы представленные на сайте исключительно с целью ознакомления читателями и не преследуют коммерческих целей или нарушение авторских прав! Последнее добавление




Генерация страницы за: 0.015 сек.