Студопедия

КАТЕГОРИИ:


Архитектура-(3434)Астрономия-(809)Биология-(7483)Биотехнологии-(1457)Военное дело-(14632)Высокие технологии-(1363)География-(913)Геология-(1438)Государство-(451)Демография-(1065)Дом-(47672)Журналистика и СМИ-(912)Изобретательство-(14524)Иностранные языки-(4268)Информатика-(17799)Искусство-(1338)История-(13644)Компьютеры-(11121)Косметика-(55)Кулинария-(373)Культура-(8427)Лингвистика-(374)Литература-(1642)Маркетинг-(23702)Математика-(16968)Машиностроение-(1700)Медицина-(12668)Менеджмент-(24684)Механика-(15423)Науковедение-(506)Образование-(11852)Охрана труда-(3308)Педагогика-(5571)Полиграфия-(1312)Политика-(7869)Право-(5454)Приборостроение-(1369)Программирование-(2801)Производство-(97182)Промышленность-(8706)Психология-(18388)Религия-(3217)Связь-(10668)Сельское хозяйство-(299)Социология-(6455)Спорт-(42831)Строительство-(4793)Торговля-(5050)Транспорт-(2929)Туризм-(1568)Физика-(3942)Философия-(17015)Финансы-(26596)Химия-(22929)Экология-(12095)Экономика-(9961)Электроника-(8441)Электротехника-(4623)Энергетика-(12629)Юриспруденция-(1492)Ядерная техника-(1748)

Народонаселение 5 страница




 

 

С.-А. С. Штатов 26,8
Англии, Шотландии и Ирландии 27,3
Германии 27,5
Австро-Венгрии 27,5

 

Замечу, что средний возраст совокупности жителей России и Франции равен 27,3.

На этих беглых заметках и кончу теперь свое исследование о возрастном составе народонаселения. Занимался я им потому, что он нужен для дальнейшего изложения моих мыслей, и еще потому, что числа, сюда относящиеся, почти никто не изучал, а они, по всей видимости, сами по себе достойны большого внимания.

Все сведения, касающиеся распределения жителей по возрастам, естественного прироста и т. п., для их сравнимости и наглядности должны быть выражены в процентах или вообще в относительных количествах; действительность же сводится в большинстве случаев на абсолютное число жителей, потому что при прочих равных условиях этим определяется величина силы. При этом обычными единицами служат, конечно, целые государства, потому что люди в заботах о благосостоянии своем и своего потомства давно додумались до необходимости сложения в крупные единицы, называемые государствами. Из мелких единиц, подобных семьям, родам, кланам и т. п., постепенно, но настойчиво слагались крупные государственные единицы, и у этого объединения и подчинения очевидна тенденция к образованию возможно крупных единиц, хотя и связанных некоторыми общими интересами, вызванными просвещением, но в действительности остающихся еще надолго и долго разобщенными, как видно от китайской стены до Монроэ, провозгласившего Америку для американцев. Тут и сила сказалась, и видна скорбь мира, ни добро, ни зло, а историческая необходимость, и свобода и рабство, и равенство и различие, и кажущаяся законченною неподвижность, соединенная с порывом двинуться вперед, средняя пропорциональная между замкнутым индивидуализмом и расширенным до пределов единством здесь выразились в ярком виде. Общечеловечности или реализованной международности (интернационализма) не только поныне остаются лишь обрывки или клочки, но и впереди видно лишь мало простора — пока земли хватает и пока народы

 

не перемешались,, не породнились, не достигли относительного равенства просвещения и всей промышленности. К этому обособленному государственному сложению призвала людей вся история их размножения, т. е. не только материальные стороны жизни, но и весь духовный строй, верования, язык, предания, характер, убеждения. Хотя последние стороны и не подлежат измерению, но и они косвенно выражаются в числах материального свойства, потому что дух и вещество соединились в человеке нераздельными связями, если смотреть на предмет не с идеалистической точки зрения, а проще, реальнее, по действительным проявлениям человеческих отношений. В смысле абсолютного количества жителей данного государства или страны должно иметь в виду, во-первых, абсолютное число жителей на определенной поверхности государства в данное время и, во-вторых, действительный прирост населения во времени, считая, как общепринято, за единицу год. Вследствие громадной сложности обстоятельств, влияющих на сложение людей в отдельные государства и на ход в нем всей истории, можно думать на первый раз, что ни в числе жителей государств, ни в приросте этого числа не может быть следов какой-либо общей правильности, но в действительности она видна и тут, как стараюсь показать далее.

Однако предварительно необходимы некоторые условные объяснения. Действительный прирост населения государства должно в наше время ясно отличать от естественного, считая последний равным перевесу рождаемости над смертностью, тогда как действительный прирост государственного населения определяется (в алгебраическом смысле) суммою естественного прироста с переселением, считая прибыль переселенцев (иммиграцию) с плюсом, а убыль переселенцев (эмиграцию) с минусом. Прибыль переселенцев увеличивает естественный прирост и зависит, без всякого сомнения, от суммы природных условий страны и от условий развития в ней благосостояния частных жителей, потому что переселенец оставляет насиженную страну, ища или свободного места, которого у него в прежней стране не было, или, как в последнее время по преимуществу, ища больших условий развития и приложения своей инициативы и трудоспособности в той стране, куда идет, сравнительно с той, откуда эмигрирует. Таким образом, перевес действитель-

 

ного прироста над естественным показывает для данной страны и ее богатство, и достоинство порядков, в ней господствующих. В этом смысле особенно поучительны данные, касающиеся С.-А. С. Штатов, в которые идут эмигранты не только из-за богатства и производительности почвы, но и вследствие уверенности в возможности там лучше, чем здесь, применить свои силы к достижению личного и семейного блага. На первый взгляд кажется, что в абсолютных числах жителей данной страны и ее действительного прироста нельзя ждать правильного, или нормального, порядка, т. е. видимой эмпирической законности, потому что тут, в деле переселения, уже совершенно явно играют роль личные человеческие обстоятельства, по видимости не поддающиеся никаким численным законностям. Но уже Кетлэ давно показал, что даже для таких капризных действий, как забывчивость выставлять адреса на письмах, существует своя строгая численная точность и правильность средних больших чисел. По этой причине я пытался 15 отыскать общую правильность в возрастании с течением времени общего числа жителей С.-А. С. Штатов как страны, для которой лучше, чем для всех других, известны и вполне описаны все данные, относящиеся к числу жителей за период, начавшийся с 1790 г., так как переписи в Штатах ведутся через каждые десять лет со всей возможной точностью. Из отчета об 11-м цензу се 1890 г. заимствуем следующую таблицу общего числа жителей Штатов, выраженную в миллионах:

15 Эта первая попытка помещена мною на стр. 12 1-го выпуска моего незаконченного сочинения под названием «Учение о промышленности» (1900). Это сочинение назначено было взойти в I том обширной «Библиотеки промышленных знаний», начавшей издаваться в 1900 г. под моей редакцией известною издательскою фирмою «Брокгауз — Ефрон» в С.-Петербурге. Но издатели отказались в 1901 г. от издания всей библиотеки, которой вышло уже 17 выпусков и в которой предполагалось иметь XX томов и около 80 выпусков. В своем «Учении о промышленности», в 2 выпусках, я успел изложить часть того, что предположил вместить, но незаконченность этого сочинения послужила первым поводом к началу издания тех «Заветных мыслей», которые теперь предлагаются. Очевидно, что кое-что из излагаемого здесь уже содержится в явившихся выпусках «Учения о промышленности», но я надеюсь на то, что в предлагаемых статьях читатели найдут не только расширение прежней программы, но и большую, чем прежде, полноту многих данных.

 

 

Перепись Год Миллионы жителей
1-я   3,9
2-я   5,3
3-я   7,2
4-я   9,6
5-я   12,9
6-я   17,1
7-я   23,2
8-я   31,4
9-я   38,6
10-я   50,2
11-я   62,6

 

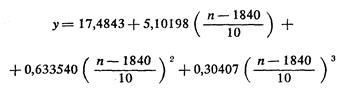
Для этих чисел, как и для всякого рода наблюдаемых естественных величин, во-первых, замечается естественность правильного их изменения, и, во-вторых, по существу дела необходимо допустить некоторую погрешность, доходящую, по всей вероятности, до сотен тысяч, т. е. до десятых миллиона. Принимая это во внимание, можно искать эмпирическую зависимость между изменением времени и измеренным числом жителей по способу наименьших квадратов. Указанный ряд чисел выражается следующей зависимостью:

 

Это получено без каких бы то ни было предположений и может давать свои непосредственные следствия, первое из коих, выведенное мною еще в 1899 г., относится к числу жителей Штатов для переписи 1900 г., когда не было известно действительное число жителей по 12-й переписи 1900 г. Это число можно вывести по приведенной формуле, подставив 1900 г. По формуле надо ждать на этот год 77,5 млн жителей. К середине 1900 г. уже стало известным, что 12-я перепись дала 76,2 млн всех жителей Штатов. Разность между расчетом и действительностью менее 2%, и, следовательно, расчет приближается к действительности. Это показывает, что в абсолютном числе жителей страны замечается своя правильность, которая и позволяет выводить близкие к действительности следствия. Рассматривая вслед за тем прилагаемое со-

 

поставление наблюденного и разочтенного числа жителей Штатов, видим, что наибольшая разность (как абсолютная, так и процентная) для прежних лет падает на 1860 и 1870 гг., что объясняется междоусобною войною, бывшей в Штатах в 60-х годах. Эта междоусобица, очевидно, уменьшила прибыль за то время как переселенцев, так и естественно рожденных, что и должно было уменьшить возрастание числа жителей по переписи 1870 г., как и наблюдается. Малое же число этого года повлияло на вывод всей зависимости, что и отразилось в малости разочтенного числа для 1860 г. Среднее для 1860 и 1870 гг. по переписи равно 35,0 миллиона, а по расчету 34,9 миллиона, т. е. разность менее возможных погрешностей и не превосходит 0,3. Убыль же действительности против расчета для 1900 г. объясняется уменьшением числа свободных плодородных земель и некоторыми новыми законами для прибывающих эмигрантов, что должно было отразиться и отразилось на прибыли переселенцев из других стран. Но обратимся к действительному годовому приросту. Если вычесть число жителей данного года из такого же числа за 10 лет и разделить разность на 10, получится арифметический средний годовой прирост для среднего года, а среднее из двух соседних чисел даст вероятный прирост, соответствующий году переписи. Полученные числа даны в табл. 8. Рядом даны числа, полученные по формуле, считая действительный прирост производного от числа жителей. Эти числа, вероятно,

 

Таблица 8

 

Год Миллионы жителей   Годовой процент   Прирост в процентах
По переписи по расчету разность по переписи, миллионов по расчету, миллионов
  3,9 4,0 —0,1     0,10 2,5
  5,3 5,3   0,17 1,15 2,8
  7,2 7,1 +0,1 0,21 0,21 3,0
  9,6 9,6   0,27 0,29 3,0
  12,9 13,0 —0,1 0,37 0,39 3,0
  17,1 17,5 —0,4 0,52 0,51 2,9
  21,2 21,3 —0,1 0,82 0,65 3,0
  31,4 30,5 +0,9 0,91 0,80 2,6
  38,6 39,3 —0,7 0,99 0,97 2,5
  50,2 50,0 +0,2 1,20 1,16 2,3
  62,6 62,6   1,30 1,37 2,2
  76,2 77,5 —1,3 _   1,60 2,1

 

ближе предшествующих к действительности. Кроме абсолютных чисел прироста в таблице дан и процент годового прироста по числу жителей.

Действительный годовой прирост в числе жителей С.-А. С. Штатов, долго державшийся около 3% (что отвечает удвоению в 23,4 года), в последние десятилетия быстро опускается и стремится сравняться с естественным приростом, который для Штатов за период 1850— 1890 гг., судя по данным о числе переселенцев, был близок к 1,3%, а за последнее время, по всем сведениям, падал. Если бы действительный прирост за текущее время так же падал (от убыли числа переселенцев и естественного прироста), как он падал с 1860—1870 гг. по 1900 г., то он бы достиг 1% примерно к середине XX в., когда число жителей Штатов достигло бы почти до 180 миллионов. Ждать именно этого и должно, потому что и тогда при поверхности всей земли Штатов около 9,8 млн кв. км, отделив даже две трети некультурных земель, в Штатах было бы около 320 млн га для земледелия, т. е. на жителя приходилось бы всей земли более 5 га, а культурной — около 2 га, т. е. населенность была бы еще раз в 5 меньшая, чем в современной Германии. Таким образом, в С.-А. С. Штатах без всяких замыслов расширения территории не только имеется еще лет на 100 или 150 довольно земель для роста обеспеченного благосостояния, но и весь рост возрастания населенности обещает еще надолго перевес над странами Западной Европы, т. е. это народ будущего, уже сложившийся и понявший значение всех видов промышленности и потому для нас наиболее достойный внимания.

По этой-то причине, а также потому, что там статистическое собрание всяких сведений более совершенно развито, чем где бы то ни было, я часто возвращаюсь к числам, до этой страны относящимся. Не теперь, когда уже разбогатели, а за столетие, когда страна была почти чисто земледельческою и отчасти пустынною, Штаты не жалели средств и усилий для собрания статистических данных о всякой деятельности жителей, и я вполне убежден в том, что эта сторона дела глубоко влияла на быстрый рост страны, так как возбуждала сознательность. По этой причине, не входя в сложные подробности, я закончу эту часть моих мыслей, высказывая горячее пожелание, чтобы, не отлагая вдаль, немедленно организо-

 

валось бы у нас обстоятельное, независимое, например при Государственном Совете, центральное статистическое учреждение, а с ним рядом не завяли бы, а развивались и всемерно поощрялись местные, земские статистические учреждения, обещающие по тому, что уже сделали по сих пор, сильно восполнить запас наших знаний о нашей родине. Разрозненные и ограниченные усилия местных органов не могут дать того, что может доставить хорошо обставленное, независимое центральное учреждение, имеющее возможность обобщить и сделать планомерными местные усилия. Самые жизненные вопросы времени, например о развитии благосостояния народного, влияния покровительства на рост этого благосостояния, о распределении его и т. п., остаются у нас или без ответов, или на них отвечают по отрывочным данным и по предубежденности, внушаемой преданиями, предрассудками и общими литературными, эпизодическими, качественными суждениями, в которых такие живописцы, как Ж. Ж. Руссо и граф Л. Н. Толстой, конечно, берут верх. Не пифагоровские отвлеченные числа, а именованные, реальные нужны для правильного понимания действительности и предстоящего.

Если в слове — начало, то в числе — продолжение сознательности, просвещения и всего успеха или прогресса человечества.

В заключение этой статьи моих «Заветных мыслей» мне следовало бы ради ясности и поучительности привести выводы, связывающие содержание изложенного с общею целью всех статей, носящих одно общее заглавие. Не делаю, однако, этого, совершенно ясно сознавая, что краткие выводы не могут усилить впечатления, внушаемого рядами чисел и мыслей, которые мне хотелось здесь собрать, и что связь изложенного с тем, что собираюсь написать, выступит понемногу сама собою, когда изложение будет подходить к концу. Поэтому прошу взглянуть на статью о народонаселении как на отдельный, самостоятельный этюд. Притом я надеюсь на то, что и без всяких с моей стороны указаний внимательный читатель сам усмотрит необходимость и пользу сравнительных численных данных, относящихся к России, для правильного, взвешенного суждения о «благе народном» и о способах его возрастания. Мне придется затем столь часто касаться указаний на наши недостатки, что счел долгом

 

с самого начала выставить те задатки лучшего будущего, которые, судя по числам, дают свое ручательство за предстоящее. Укажу в виде грубого примера хотя бы на то, что общее положение Финляндии и Польского края многими и часто сравнивается с положением Ирландии, числа же быстрого прироста жителей в первых странах (стр. 78—79) при сравнении с явною убылью жителей в Ирландии (стр. 73) ясно указывают полное здесь различие основных условий народной жизни. Они так сложны, что разбирать их можно только понемножку, что и пытаюсь сделать как умею, стремясь к объективности и стараясь больше всего избежать предвзятых, хотя бы и любимых суждений.

К какому бы предмету, относящемуся до общенародного блага, ни направилась мысль, она всегда встретится с вопросами, касающимися народонаселения на данной площади земли и на меру его увеличения, а потому было совершенно естественным в начале изложения говорить именно об этих предметах. Переходим в следующих главах к обзору внешних торговых оборотов и заработков, доставляемых фабриками и заводами, но и здесь уже по существу дела вопросы о народонаселении играют огромное значение, так как внешняя торговля, как и фабрики, возникает только вследствие возрастания народонаселения.

 

 

ГЛАВА ТРЕТЬЯ




Поделиться с друзьями:


Дата добавления: 2015-06-26; Просмотров: 331; Нарушение авторских прав?; Мы поможем в написании вашей работы!


Нам важно ваше мнение! Был ли полезен опубликованный материал? Да | Нет



studopedia.su - Студопедия (2013 - 2026) год. Все материалы представленные на сайте исключительно с целью ознакомления читателями и не преследуют коммерческих целей или нарушение авторских прав! Последнее добавление




Генерация страницы за: 0.009 сек.