Студопедия

КАТЕГОРИИ:


Архитектура-(3434)Астрономия-(809)Биология-(7483)Биотехнологии-(1457)Военное дело-(14632)Высокие технологии-(1363)География-(913)Геология-(1438)Государство-(451)Демография-(1065)Дом-(47672)Журналистика и СМИ-(912)Изобретательство-(14524)Иностранные языки-(4268)Информатика-(17799)Искусство-(1338)История-(13644)Компьютеры-(11121)Косметика-(55)Кулинария-(373)Культура-(8427)Лингвистика-(374)Литература-(1642)Маркетинг-(23702)Математика-(16968)Машиностроение-(1700)Медицина-(12668)Менеджмент-(24684)Механика-(15423)Науковедение-(506)Образование-(11852)Охрана труда-(3308)Педагогика-(5571)Полиграфия-(1312)Политика-(7869)Право-(5454)Приборостроение-(1369)Программирование-(2801)Производство-(97182)Промышленность-(8706)Психология-(18388)Религия-(3217)Связь-(10668)Сельское хозяйство-(299)Социология-(6455)Спорт-(42831)Строительство-(4793)Торговля-(5050)Транспорт-(2929)Туризм-(1568)Физика-(3942)Философия-(17015)Финансы-(26596)Химия-(22929)Экология-(12095)Экономика-(9961)Электроника-(8441)Электротехника-(4623)Энергетика-(12629)Юриспруденция-(1492)Ядерная техника-(1748)

Элементы теории относительности Эйнштейна




Физическая оптика

 

Формула Название формулы Расшифровка обозначений
Формула дифракционной решётки d – период дифракционной решётки; – угол, под кото­рым виден дифракционный максимум; k – порядок мак­симума; – длина световой волны, падающей на решёт­ку.
Давление света р – давление света; Е – энергия света, падающего на по­верхность площадью S за время t; с – скорость света в вакууме; коэффициент отражения света поверхно­стью.

 

Формула Название формулы Расшифровка обозначений
Относительность линей­ных размеров l – продольная длина тела для наблюдателя в НСО; l0 – продольная длина тела для наблюдателя в ПСО; скорость ПСО относительно НСО; с – скорость света в вакууме.
Относительность проме­жутков времени промежуток времени для наблюдателя в НСО; промежуток времени для наблюдателя в ПСО; –скорость ПСО относительно НСО; с – скорость света в вакууме.
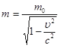
Относительность массы т – масса тела, движущегося со скоростью относи­тельно неподвижного наблюдателя; т0 масса покоя­щегося тела; с – скорость света в вакууме.
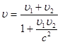
Релятивистский закон сложения скоростей (ча­стный случай) скорость тела относительно НСО; – скорость тела относительно ПСО; скорость ПСО относительно НСО; с – скорость света в вакууме
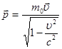
Релятивистский импульс тела импульс тела, движущегося со скоростью ; то масса покоящегося тела; с – скорость света в ва­кууме
Основной закон реляти­вистской динамики вектор силы, действующей на тело; изменение импульса тела; Δ t – время изменения импульса. (, где и релятивистские импульсы)
Связь массы и энергии Е – энергия тела; т – масса тела; то масса покоящего­ся тела; с – скорость света в вакууме; скорость тела относительно НСО.
Энергия покоя е0 энергия покоящегося тела; тд масса покоящегося тела; с – скорость света в вакууме
         



Поделиться с друзьями:


Дата добавления: 2015-06-04; Просмотров: 370; Нарушение авторских прав?; Мы поможем в написании вашей работы!


Нам важно ваше мнение! Был ли полезен опубликованный материал? Да | Нет



studopedia.su - Студопедия (2013 - 2026) год. Все материалы представленные на сайте исключительно с целью ознакомления читателями и не преследуют коммерческих целей или нарушение авторских прав! Последнее добавление




Генерация страницы за: 0.012 сек.