Студопедия

КАТЕГОРИИ:


Архитектура-(3434)Астрономия-(809)Биология-(7483)Биотехнологии-(1457)Военное дело-(14632)Высокие технологии-(1363)География-(913)Геология-(1438)Государство-(451)Демография-(1065)Дом-(47672)Журналистика и СМИ-(912)Изобретательство-(14524)Иностранные языки-(4268)Информатика-(17799)Искусство-(1338)История-(13644)Компьютеры-(11121)Косметика-(55)Кулинария-(373)Культура-(8427)Лингвистика-(374)Литература-(1642)Маркетинг-(23702)Математика-(16968)Машиностроение-(1700)Медицина-(12668)Менеджмент-(24684)Механика-(15423)Науковедение-(506)Образование-(11852)Охрана труда-(3308)Педагогика-(5571)Полиграфия-(1312)Политика-(7869)Право-(5454)Приборостроение-(1369)Программирование-(2801)Производство-(97182)Промышленность-(8706)Психология-(18388)Религия-(3217)Связь-(10668)Сельское хозяйство-(299)Социология-(6455)Спорт-(42831)Строительство-(4793)Торговля-(5050)Транспорт-(2929)Туризм-(1568)Физика-(3942)Философия-(17015)Финансы-(26596)Химия-(22929)Экология-(12095)Экономика-(9961)Электроника-(8441)Электротехника-(4623)Энергетика-(12629)Юриспруденция-(1492)Ядерная техника-(1748)

Электромагнитная индукция. Формула Название формулы Расшифровка обозначений Закон электромаг­нитной индукции (ЭДС индукции в замкнутом контуре или в одном




 

Формула Название формулы Расшифровка обозначений
Закон электромаг­нитной индукции (ЭДС индукции в замкнутом контуре или в одном витке) – электродвижущая сила индукции; – изменение маг­нитного потока через поверхность, ограниченную контуром; – время изменения магнитного потока; Ф' – производная магнитного потока по времени.
ЭДС индукции в ка­тушке – ЭДС индукции в катушке; N – число витков в катушке; Δ Ф – изменение магнитного потока через поверхность, ограни­ченную контуром; Δ t – время изменения магнитного потока; Ф' – производная магнитного потока по времени.
Индуктивность L – индуктивность; Ф – магнитный поток; I – сила тока в про­воднике.
Индуктивность ка­тушки L – индуктивность катушки; – магнитная проницаемость сре­ды; – магнитная постоянная; N – число витков катушки; S – площадь поперечного сечения катушки; l – длина катушки.
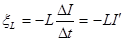
ЭДС самоиндукции – ЭДС самоиндукции; L – индуктивность проводника; Δ I – изменение силы тока в проводнике; Δ t – время изменения силы тока; I' – производная силы тока в проводнике по времени
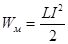
Энергия магнитного поля катушки с то­ком – энергия магнитного поля катушки с током; L – индуктив­ность катушки; I – сила тока в катушке.



Поделиться с друзьями:


Дата добавления: 2015-06-04; Просмотров: 818; Нарушение авторских прав?; Мы поможем в написании вашей работы!


Нам важно ваше мнение! Был ли полезен опубликованный материал? Да | Нет



studopedia.su - Студопедия (2013 - 2026) год. Все материалы представленные на сайте исключительно с целью ознакомления читателями и не преследуют коммерческих целей или нарушение авторских прав! Последнее добавление




Генерация страницы за: 0.011 сек.