Студопедия

КАТЕГОРИИ:


Архитектура-(3434)Астрономия-(809)Биология-(7483)Биотехнологии-(1457)Военное дело-(14632)Высокие технологии-(1363)География-(913)Геология-(1438)Государство-(451)Демография-(1065)Дом-(47672)Журналистика и СМИ-(912)Изобретательство-(14524)Иностранные языки-(4268)Информатика-(17799)Искусство-(1338)История-(13644)Компьютеры-(11121)Косметика-(55)Кулинария-(373)Культура-(8427)Лингвистика-(374)Литература-(1642)Маркетинг-(23702)Математика-(16968)Машиностроение-(1700)Медицина-(12668)Менеджмент-(24684)Механика-(15423)Науковедение-(506)Образование-(11852)Охрана труда-(3308)Педагогика-(5571)Полиграфия-(1312)Политика-(7869)Право-(5454)Приборостроение-(1369)Программирование-(2801)Производство-(97182)Промышленность-(8706)Психология-(18388)Религия-(3217)Связь-(10668)Сельское хозяйство-(299)Социология-(6455)Спорт-(42831)Строительство-(4793)Торговля-(5050)Транспорт-(2929)Туризм-(1568)Физика-(3942)Философия-(17015)Финансы-(26596)Химия-(22929)Экология-(12095)Экономика-(9961)Электроника-(8441)Электротехника-(4623)Энергетика-(12629)Юриспруденция-(1492)Ядерная техника-(1748)

Последовательность расчета сложной электрической цепи с несколькими источниками питания методом непосредственного применения законов Кирхгофа




Согласование источника и нагрузки по напряжению, току и мощности.

Согласование источника и нагрузки — это выбор соотношения сопротивления нагрузки и внутреннего сопротивления источника с целью достижения заданных свойств полученной системы.

· Согласование по напряжению — получение в нагрузке максимального напряжения. Для этого сопротивление нагрузки должно быть как можно большим. Данный тип согласования применяется в электронных системах, когда носителем сигнала является напряжение, и его необходимо передать от источника к нагрузке с минимальными потерями.

· Согласование по току — получение в нагрузке максимального тока. Для этого сопротивление нагрузки должно быть как можно меньшим, по крайней мере, много меньше, чем внутреннее сопротивление источника. Применяется в электронных системах, когда носителем сигнала является ток.

· Согласование по мощности — обеспечивает получение в нагрузке (что эквивалентно отбору от источника) максимально возможной мощности. В цепях постоянного тока: сопротивление нагрузки должно быть равно внутреннему сопротивлению r источника.

 

Для расчета цепи по законам Кирхгофа составляется система независимых уравнений, общее число которых равно числу ветвей, не содержащих источники тока. Цепь мысленно делится на независимые (не содержащие источников тока) контуры. Произвольно выбираются пути обхода и направления токов. Входящие в узел токи берем со знаком «минус», выходящие – со знаком «плюс». 1-ый закон: , 2-ой закон:

Основным методом расчета является метод непосредственного применения первого и второго законов Кирхгофа.

В качестве примера рассмотрим цепь, схема которой приведена на рис. 1.26. Схема цепи содержит 6 ветвей (m=6) и 4 узла: a, b, c, d (n=4). По каждой ветви проходит свой ток, следовательно число неизвестных токов равно числу ветвей, и для определения токов необходимо составить m уравнений. При этом по первому закону Кирхгофа (1.3) составляют уравнения для (n–1) узлов. Недостающие m–(n–1) уравнения получают по второму закону Кирхгофа (1.4), составляя их для m–(n–1) взаимно независимых контуров. Рекомендуется выполнять операции расчета в определенной последовательности.

Рис. 1.26

1. Обозначение токов во всех ветвях. Направление токов выбираем произвольно, но в цепях с источниками ЭДС рекомендеются, чтобы направление токов совпадало с направлением ЭДС.

2. Составление уравнений по первому закону Кирхгофа. Выбираем 4–1=3 узла (a, b, c) и для них записываем уравнения:

узел a: I1−I2−I3=0;

узел b: I2−I4+I5=0;

узел c: I4−I5+I6=0.

3. Составление уравнений по второму закону Кирхгофа. Необходимо составить 6–3=3 уравнения. В схеме на рис. 1.26 выбираем контура I, II, III и для них записываем уравнения:

контур I: E1=I1(r01+R1)+I3R3;

контур II: 0=I2R2+I4R4+I6R7−I3R3;

контур III: −E2=−I5(r02+R5+R6)−I4R4.

4. Решение полученной системы уравнений и анализ результатов. Полученная система из шести уравнений решается известными математическими методами. Если в результате расчетов численное значение тока получено со знаком «минус», это означает, что реальное направление тока данной ветви противоположно принятому в начале расчета. Если в ветвях с ЭДС токи совпадают по направлению с ЭДС, то данные элементы работают в режиме источников, отдавая энергию в схему. В тех ветвях, где направления тока и ЭДС не совпадают, источники ЭДС работает в режиме потребителя.

5. Проверка правильности расчетов. Для проверки правильности произведенных расчетов можно на основании законов Кирхгофа написать уравнения для узлов и контуров схемы, которые не использовались при составлении исходной системы уравнений:

узел d: I3+I6−I1=0

внешний контур схемы: E1−E2=I1(r01+R1)+I2R2−I5(r02+R5+R6)+I6R7.

Независимой проверкой является составление уравнения баланса мощностей (1.8) с учетом режимов работы элементов схемы с ЭДС:

.

Если активная мощность, поставляемая источниками питания, равна по величине активной мощности, израсходованной в пассивных элементах электрической цепи, то правильность расчетов подтверждена

 

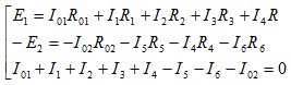
24. Для цепи

 

I=I1+I2+I3+I4+I5+I6

E1-E2=I1R1+I2R2+I3R3+I4R4+I5R5+I6R6+IR01+IR02

 

25. Метод

Метод наложения следует из принципа наложения, согласно которому ток в цепи равен алгебраической сумме токов, создаваемых в ней несколькими источниками, действующими независимо друг от друга.




Поделиться с друзьями:


Дата добавления: 2015-06-04; Просмотров: 1271; Нарушение авторских прав?; Мы поможем в написании вашей работы!


Нам важно ваше мнение! Был ли полезен опубликованный материал? Да | Нет



studopedia.su - Студопедия (2013 - 2025) год. Все материалы представленные на сайте исключительно с целью ознакомления читателями и не преследуют коммерческих целей или нарушение авторских прав! Последнее добавление




Генерация страницы за: 0.04 сек.