Студопедия

КАТЕГОРИИ:


Архитектура-(3434)Астрономия-(809)Биология-(7483)Биотехнологии-(1457)Военное дело-(14632)Высокие технологии-(1363)География-(913)Геология-(1438)Государство-(451)Демография-(1065)Дом-(47672)Журналистика и СМИ-(912)Изобретательство-(14524)Иностранные языки-(4268)Информатика-(17799)Искусство-(1338)История-(13644)Компьютеры-(11121)Косметика-(55)Кулинария-(373)Культура-(8427)Лингвистика-(374)Литература-(1642)Маркетинг-(23702)Математика-(16968)Машиностроение-(1700)Медицина-(12668)Менеджмент-(24684)Механика-(15423)Науковедение-(506)Образование-(11852)Охрана труда-(3308)Педагогика-(5571)Полиграфия-(1312)Политика-(7869)Право-(5454)Приборостроение-(1369)Программирование-(2801)Производство-(97182)Промышленность-(8706)Психология-(18388)Религия-(3217)Связь-(10668)Сельское хозяйство-(299)Социология-(6455)Спорт-(42831)Строительство-(4793)Торговля-(5050)Транспорт-(2929)Туризм-(1568)Физика-(3942)Философия-(17015)Финансы-(26596)Химия-(22929)Экология-(12095)Экономика-(9961)Электроника-(8441)Электротехника-(4623)Энергетика-(12629)Юриспруденция-(1492)Ядерная техника-(1748)

Выпрямительное устройство




 

Выпрямительные устройства служат источником питания усилительных каскадов. К наиболее распространенным однофазным схемам выпрямления относятся: однополупериодная, двухполупериодная, мостовая, схема с выводом средней точки вторичной обмотки. Двухполупериодные выпрямители более эффективны: среднее значение выпрямленных токов и напряжений у них в два раза больше, а пульсации значительно меньше, чем у однополупериодных выпрямителей. Преимуществами однополупериодных выпрямителей является простота конструкции и меньшая стоимость.

Мостовая схема выпрямления применяется наиболее часто. Ее применяют с емкостным, Г- или П-образными LC- и RC-фильтрами. Достоинствами мостовых выпрямителей являются: повышенная частота пульсаций, небольшое обратное напряжение на выпрямительных диодах, эффективное использование трансформатора.

Недостатками являются: повышенное падение напряжения на вентилях, невозможность установки однотипных вентилей на одном радиаторе без изолирующих прокладок.

Для обеспечения надёжной работы диодов в выпрямителях требуется выполнение условий превышения значений прямого тока и обратного напряжения примерно на 30% по сравнению с расчётными.

 

Для мостовой схемы m=2, где m – отношение частоты питающего напряжения к частоте основной гармоники.

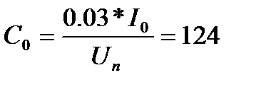
Для выбора вентилей необходимо определить .

, где

Отсюда

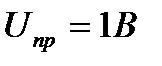
(В).

(А).

С учётом требуемого запаса в 30% по прямому току и максимальному обратному напряжению рассчитываются необходимые параметры диода:

(А).

(В).

На основании выполненных расчётов по справочной литературе выбирают соответствующий тип диода с указанием основных его параметров.

По рассчитанным параметрам подходит диод 2Д123А91.

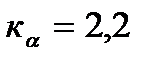
Для него А; В. .

Произведём дополнительные расчёты (найдём необходимые параметры для определения коэффициента трансформации трансформатора):

Для

Найдём из полученных данных:

(Ом),

В.

 

(мкФ),

А,

А,

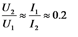
Коэффициент трансформации:

.

Вывод:

В данной работе произвели расчет параметров и проектирование элементов усилителя слабых сигналов низкой частоты на транзисторах, а так же расчет элементов источника электропитания постоянного тока.

Так как данная задача проектирования усилителя низкой частоты (УНЧ) с блоком питания имеет многовариантное решение, поэтому мы выбираем из всех решений оптимальное, учитывая стоимость материала, необходимого для конструирования УНЧ с блоком питания.

 

 

Литература

 

1. В.Г. Гусев, Ю.М. Гусев. Электроника и микропроцессорная техника. Москва «Высшая школа» 2005г.

2. Ю.Ф. Опадчий, О.П. Глудкин, А.И. Гуров. Аналоговая и цифровая электроника. Москва «Горячая линия – Телеком» 2002г.

3. В.И. Лачин, Н.С. Савёлов. Электроника. Ростов-на-Дону «Феникс» 2004г.

4. В.И. Дьяков. М: Высшая школа. 1985г. 193стр. «Типовые расчёты по электрооборудованию».

5. В.Г. Герасимов «Электротехнический справочник».

 




Поделиться с друзьями:


Дата добавления: 2015-06-04; Просмотров: 989; Нарушение авторских прав?; Мы поможем в написании вашей работы!


Нам важно ваше мнение! Был ли полезен опубликованный материал? Да | Нет



studopedia.su - Студопедия (2013 - 2026) год. Все материалы представленные на сайте исключительно с целью ознакомления читателями и не преследуют коммерческих целей или нарушение авторских прав! Последнее добавление




Генерация страницы за: 0.007 сек.