Студопедия

КАТЕГОРИИ:


Архитектура-(3434)Астрономия-(809)Биология-(7483)Биотехнологии-(1457)Военное дело-(14632)Высокие технологии-(1363)География-(913)Геология-(1438)Государство-(451)Демография-(1065)Дом-(47672)Журналистика и СМИ-(912)Изобретательство-(14524)Иностранные языки-(4268)Информатика-(17799)Искусство-(1338)История-(13644)Компьютеры-(11121)Косметика-(55)Кулинария-(373)Культура-(8427)Лингвистика-(374)Литература-(1642)Маркетинг-(23702)Математика-(16968)Машиностроение-(1700)Медицина-(12668)Менеджмент-(24684)Механика-(15423)Науковедение-(506)Образование-(11852)Охрана труда-(3308)Педагогика-(5571)Полиграфия-(1312)Политика-(7869)Право-(5454)Приборостроение-(1369)Программирование-(2801)Производство-(97182)Промышленность-(8706)Психология-(18388)Религия-(3217)Связь-(10668)Сельское хозяйство-(299)Социология-(6455)Спорт-(42831)Строительство-(4793)Торговля-(5050)Транспорт-(2929)Туризм-(1568)Физика-(3942)Философия-(17015)Финансы-(26596)Химия-(22929)Экология-(12095)Экономика-(9961)Электроника-(8441)Электротехника-(4623)Энергетика-(12629)Юриспруденция-(1492)Ядерная техника-(1748)

Термодинамика




Термодинамика – это наука о наиболее общих свойствах макроскопи- ческих физических систем, находящихся в состоянии термодинамическо -

го равновесия, и о процессах перехода между этими состояниями.

Термодинамика, являясь разделом теоретической физики, представляет собой одну из самых обширных областей современного естествознания – науку о превращениях различных видов энергии друг в друга.

Теоретической основой теплотехники является техническая термодинамика. Техническая термодинамика рассматривает закономерности взаимопреобразования теплоты и работы; устанавливает взаимосвязь между тепловыми и механическими процессами, которые совершаются в тепловых и холодильных машинах; изучает процессы, происходящие в газах и парах, а также свойства этих тел при различных физических условиях.

Термодинамическая система

Материальное тело либо совокупность материальных тел, выделенных в пространстве в качестве объекта исследования термодинамическим

методом, называется термодинамической системой.

Термодинамическая система предполагает возможным энергообмен между телами внутри системы, а так же обмен веществом и энергией с окружающей средой.

По роли отдельных тел, входящих в термодинамическую систему, их делят на рабочие тела (РТ), источники теплоты (ИТ) и объекты работы (ОР).

Закрытая термодинамическая система

Термодинамическую систему, которая не обменивается с окружающей средой веществом, называют закрытой.

Энергоизолированная термодинамическая система

Энергоизолированной называют закрытую термодинамическую систему, которая не обменивается с окружающей средой никакими видами энергии.

Адиабатная термодинамическая система

Адиабатной называют закрытую термодинамическую систему, у которой отсутствует теплообмен с окружающей средой.

Состояние системы

В термодинамическую систему могут входить вещества, находящиеся в твердом, жидком. газообразном и ионизированном (плазменном) с о с т о- я н и я х. Состояние системы описывается совокупностью физических величин, именуемых п а р а м е т р а м и с о с т о я н и я.

Термодинамические параметры состояния

К термодинамическим относят те параметры состояния, которые могут быть определены путем измерений (например, давление, температура, масса, объем).

Калорические параметры

Калорические параметры также описывают состояние системы, но их значения определяются только расчетным путем (например, энтальпия, энтропия и др.).

Особенностью калорических параметров является то, что их изменение зависит только от начальных и конечных состояний системы. По этой причине калорические параметры состояния еще называют ф у н к ц и я м и

с о с т о я н и я.

Внутренняя энергия термодинамической системы

Под внутренней энергией понимают калорический параметр, харак-

теризующий совокупность энергии теплового движения микрочастиц сис- темы.

Внутреннюю энергию обозначают U и выражают в джоулях (Дж).

Энтальпия термодинамической системы

Калорический параметр термодинамической системы, равный сумме

внутренней энергии и потенциальной энергии давления, называется энтальпией.

Энтальпия обозначается I. Согласно определению: I = U + pV. За единицу энтальпии принят джоуль (Дж).

 

Энтропия

Энтропия есть калорический параметр состояния термодинамической системы (функция состояния), характеризующий направление проте-

кания процесса теплообмена между системой и внешней средой.

Энтропию обозначают S, выражают в джоулях на кельвин (Дж/К).

 

Теплота

Под теплотой понимают количество энергии, которой термо­динами-

ческая система обменивается с окружающей средой микроскопическим путем (теплообменом).

Теплоту обозначают Q. За единицу теплоты принят джоуль (Дж). В термодинамике подводимую теплоту от среды к системе принято считать положительной, отводимую – отрицательной.

 

Работа

Под работой понимают количество энергии, которой термодинами-

ческая система обменивается с окружающей средой в результате макроскопического упорядоченного направленного движения.

Работа обозначается L. За единицу работы принят джоуль (Дж). Энергия в форме работы, передаваемая от системы к среде принимается положительной, от среды к системе – отрицательной.

 

Равновесное состояние системы

Равновесное состояние термодинамической системы характеризуется

неизменностью ее параметров во времени при отсутствии воздействия внешней среды.

В термодинамике постулируется, что изолированная система с течением времени всегда приходит в состояние термодинамического равновесия и никогда самопроизвольно выйти из него не может.

 

Термодинамический процесс

Процесс перехода системы из одного равновесного состояния в другое равновесное состояние называют термодинамическим процессом.

Равновесный термодинамический процесс

Равновесным считают процесс, при котором в каждый момент времени во всех точках системы одноименные параметры имеют одинаковые значения.

Обратимый термодинамический процесс

Обратимым процессом называют такой термодинамический процесс, который протекает через одни и те же равновесные состояния в прямом и обратном направлениях.

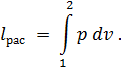
Работа расширения термодинамического процесса

Работа расширения – это часть энергии рабочего тела, затраченной на совершение процесса по увеличению объема РТ.

Приведенную работу расширения обозначают lрас. Для термодинамического процесса 1 – 2 ее определяют, используя выражение

 

Работа техническая термодинамического процесса

Работа техническая или полезная – это работа расширения в термодинамическом процессе без энергии, затраченной на преодоления поля сил давления окружающей среды.

Обозначают приведенную техническую работу l тех и вычисляют

Первый закон термодинамики

Первый закон термодинамики – это не что иное, как закон сохранения и превращения энергии: энергия не возникает из ничего и не исчезает, а переходит из одного вида в другой.

Применительно к процессам, протекающим в термодинамических системах, его формулировка следующая: полная энергия изолированной термодинамической системы при любых происходящих в системе процессах остается неизменной.

Для системы, находящейся в энергетическом взаимодействии с окружающей средой, изменение энергии возможно путем двух форм энергообмена – теплоты и работы, то есть:

Второй закон термодинамики

В общем случае второй закон термодинамики обобщает особенности теплоты, проявляющиеся при ее передаче и преобразовании.

Эквивалентные формулировки второго закона термодинамики:

«Энергия в форме теплоты самопроизвольно переходит от теплых тел к холодным; для обратного перехода надо затратить работу (Р.Клаузиус, 1850 г.).

«В периодически действующем двигателе невозможно всю подведенную теплоту без компенсации превратить в работу» (В.Томсон, 1851 г.).

«Все естественные процессы являются переходом от менее вероятных к более вероятным состояниям» (Л.Больцман, 1870 – 1876 г.г.).

Математической записью второго закона термодинамики является выражение:

dS ,

здесь знак равенства относится к обратимым процессам, а неравенства – к необратимым.

Эксергия

В термодинамике максимально возможную техническую работу

системы называют эксергией.

Обозначают эксергию системы Ex. За единицу эксергию в СИ принят джоуль (Дж). Ее приведенное значение (ex = Еx/m) имеет единицу измерения Дж/кг.

Цикл

Циклом или круговым процессом называют совокупность термодинамических процессов, в результате осуществления которых рабочее тело возвращается в свое первоначальное состояние.

 

Рабочее тело

Рабочим телом термодинамической системы называют материальное тело, посредством которого в термодинамическом процессе осуществляется преобразование теплоты в работу или работы в теплоту.

Рабочими телами, как правило, являются газообразные вещества – газы и пары, которые способны значительно изменять свой объем при изменении внешних условий.

 

Термический КПД

Под термическим КПД понимают отношение теплоты, преобразо-

ванной в полезную работу цикла, ко всей подведенной теплоте.

Обозначают η t и вычисляют с помощью выражения η t = .

Удельная газовая постоянная

Удельная газовая постоянная – физическая величина, равная отношению произведения давления на удельный объем газа к абсолютной температуре.

Обозначают удельную газовую постоянную R, единица измерения джоуль на килограмм-кельвин (Дж/(кг Из определения: R = . При известной молярной массе газа R = .

 

Универсальная газовая постоянная

Газовую постоянную одного моля газа называют универсальной, так как для любого газа при одинаковых состояниях ее числовое значение одно и то же.

Универсальная газовая постоянная обозначается и имеет единицу измерения джоуль на моль-кельвин (Дж/(моль К)). Числовое значение

= 8314 Дж/(моль К).

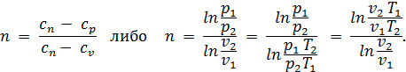
Политропный процесс

Обратимый процесс перехода рабочего тела из начального равновесного состояния в конечное равновесное состояние при условии неизменной теплоемкости называют политропным процессом.

Удельную массовую теплоемкость политропного процесса обознача-ют cn. Характер изменения состояния рабочего тела определяется численным значением c n, которое может быть .

Уравнение политропного процесса имеет вид:

p v n = const.

Показатель степени у удельного объема n называют показателем политропы. Его можно определить, используя выражения

Изобарный процесс

Термодинамический процесс, в котором давление не изменяется, называют изобарным.

В изобарном процессе сn = cp.. Для этого процесса показатель политропы n = 0.

Изохорный процесс

Термодинамический процесс, в котором удельный объем не изменяется, называют изохорным.

В изохорном процессе сn = cv. Этот процесс протекает при n = .

Изотермический процесс

Термодинамический процесс, в котором температура не изменяется, называют изотермическим.

В изотермическом процессе сn = cT = . В изотермическом процессепоказатель политропы n = 1.

Адиабатный процесс

Термодинамический процесс, который протекает без теплообмена с окружающей средой, называют адиабатным.

В адиабатном процессе сn = cq = , тогдапоказатель политропы n = к. Здесь через к обозначено отношение теплоемкости при постоянном давлении к теплоемкости при постоянном объеме, то есть к = . Это отношение в термодинамике называют показателем адиабаты.

Уравнение адиабаты имеет вид:

p v к = const.

 

Влажный воздух

Смесь сухого воздуха с водяным паром называют влажным воздухом.

Абсолютная влажность

Под абсолютной влажностью понимают массу водяного пара находящуюся в одном метре кубическом влажного воздуха.

Из определения следует, что абсолютная влажность – это плотность пара во влажном воздухе, т.е. = Единица измерения абсолютной влажности килограмм на метр кубический (кг/м3).

 

Относительная влажность

Отношение действительного значения абсолютной влажности к максимально возможному ее значению при той же температуре называется

относительной влажностью.

Обозначают относительную влажность : или = .

 

 

Влагосодержание

Массу водяного пара, приходящуюся на 1 кг сухого воздуха, называют

влагосодержанием.

Обозначают влагосодержание через d, измеряют в г/кг. Из определе-

ния следует: d =

 

Степень сухости

Массовая доля сухого пара во влажном называется степенью сухости.

Обозначают степень сухости через x и вычисляют как x = mc /m,

где mc – масса сухого пара; m – масса влажного пара.

Дросселирование

Дросселированием называют процесс понижения давления в газовом

потоке при преодолении местного сопротивления (примеры местных сопротивлений: кран, клапан, задвижка, капиллярная трубка).

Дроссельный эффект

Отношение бесконечно малого изменения температуры к бесконечно малому изменению давления при дросселировании называется дроссельным

эффектом.

Это отношение обозначают , тогда =

Опыты Джоуля и Томсона показали, что для реального газа может менять знак: быть меньше нуля, равным нулю либо больше нулю.

Температура инверсии

Изменение знака дроссельного эффекта именуют инверсией, а температура, при которой = 0, называется температурой инверсии. Ее обозначают Tинв.

 

Тепловая машина Карно

Экзотическая тепловая машина, имеющая максимально возможное значение термического КПД за счет того, что в ней подвод и отвод теплоты осуществляется при изотермическом процессе, а сжатие и расширение рабочего тела происходит в адиабатном процессе.

 

Тепловой двигатель

Тепловой двигатель – это машина, в которой для получения механической работы используется теплота.

Двигатель внутреннего сгорания

Тепловой двигатель, в котором химическая энергия топлива преобразуется в теплоту внутри расширительной машины, называют двигателем внутреннего сгорания (ДВС).

Изохорный ДВС

Изохорным называют тот ДВС, в котором сгорание топлива происходит при постоянном объеме, а для совершения работы используется поршневая машина.

Изобарный ДВС

Изобарным называют тот ДВС, в котором сгорание топлива происходит при постоянном давлении, а для совершения работы используется поршневая машина.

Газотурбинный двигатель

Газотурбинный двигатель относится к ДВС, в котором сгорание топлива осуществляется, в большинстве случаев, в изобарном процессе, а в качестве расширительной машины используется газовая турбина.

Турбореактивный двигатель

Турбореактивный двигатель относится к ДВС, в котором сгорание

топлива осуществляется в изобарном процессе, а в качестве расширительной машины используется газовая турбина и реактивное сопло.

Степень сжатия

Под степенью сжатия в поршневых ДВС понимают отношение полного объема цилиндра к объему камеры сгорания.

Обозначают степень сжатия .

Степень повышения давления

Отношение давления конечного к начальному в процессе сжатия отдельно в ступени (либо в компрессоре целом) называют степенью повышения давления, обозначают ст,то есть ст= ркон.нач.

Объемная подача компрессора

Под объемной подачей понимают количество кубических метров газа, выходящего из компрессора в единицу времени и приведенного к давлению и температуре на входе в компрессор. Обозначают подачу компрессора, и выражают в м3/с.

Холодильная машина

Машина, осуществляющая искусственное охлаждение с помощью под-

водимой энергии, называется холодильной машиной.

Хладагент

Хладагент – рабочее тело холодильной машины.

Холодильный эффект

Холодильный эффект – это количество теплоты (q2), отводимое от

охлаждаемого объекта одним килограммом хладагента.

Холодильная мощность

Количество теплоты, отводимое от охлаждаемого объекта в единицу времени, называют холодильной мощностью. Обозначают холодильную мощность Nx, выражают в ваттах (Вт).

Для определения Nx используют выражение:

Nx = q2 ,

где q2 холодильный эффект;

секундный массовый расход хладагента.

Холодильный коэффициент

Холодильный коэффициент устанавливает энергетическую эффективность холодильных установок и численно равен отношению количества теплоты, отведенного от охлаждаемого тела, к количеству затраченной на охлаждение энергии.

Обозначают холодильный коэффициент , из определения = .

 




Поделиться с друзьями:


Дата добавления: 2015-06-04; Просмотров: 4273; Нарушение авторских прав?; Мы поможем в написании вашей работы!


Нам важно ваше мнение! Был ли полезен опубликованный материал? Да | Нет



studopedia.su - Студопедия (2013 - 2026) год. Все материалы представленные на сайте исключительно с целью ознакомления читателями и не преследуют коммерческих целей или нарушение авторских прав! Последнее добавление




Генерация страницы за: 0.012 сек.