Студопедия

КАТЕГОРИИ:


Архитектура-(3434)Астрономия-(809)Биология-(7483)Биотехнологии-(1457)Военное дело-(14632)Высокие технологии-(1363)География-(913)Геология-(1438)Государство-(451)Демография-(1065)Дом-(47672)Журналистика и СМИ-(912)Изобретательство-(14524)Иностранные языки-(4268)Информатика-(17799)Искусство-(1338)История-(13644)Компьютеры-(11121)Косметика-(55)Кулинария-(373)Культура-(8427)Лингвистика-(374)Литература-(1642)Маркетинг-(23702)Математика-(16968)Машиностроение-(1700)Медицина-(12668)Менеджмент-(24684)Механика-(15423)Науковедение-(506)Образование-(11852)Охрана труда-(3308)Педагогика-(5571)Полиграфия-(1312)Политика-(7869)Право-(5454)Приборостроение-(1369)Программирование-(2801)Производство-(97182)Промышленность-(8706)Психология-(18388)Религия-(3217)Связь-(10668)Сельское хозяйство-(299)Социология-(6455)Спорт-(42831)Строительство-(4793)Торговля-(5050)Транспорт-(2929)Туризм-(1568)Физика-(3942)Философия-(17015)Финансы-(26596)Химия-(22929)Экология-(12095)Экономика-(9961)Электроника-(8441)Электротехника-(4623)Энергетика-(12629)Юриспруденция-(1492)Ядерная техника-(1748)

Геометрической прогрессии




Формула суммы первых n членов

Автор: © 2014, ООО КОМПЭДУ, http://compedu.ru

Описание:

При поддержке проекта http://videouroki.net

 

 

Задание 1

Вопрос:

Укажите геометрическую прогрессию, все члены которой являются отрицательными числами.

 

Выберите несколько из 4 вариантов ответа:

1) b1=3, q=-2

2) b1=-3, q=2

3) b1=-3, q=-2

4) b1=3, q=2

 

 

Задание 2

Вопрос:

Какова сумма первых восьми членов геометрической прогрессии, у которой первый член равен -2 и знаменатель q равен 3?

 

Выберите один из 3 вариантов ответа:

1) 6560

2) 4750

3) -6560

 

 

Задание 3

Вопрос:

Сумма скольких членов геометрической прогрессии, где b1=-3 и q=2, равна -45? В ответе укажите только число.

 

Запишите число:

___________________________

Задание 4

Вопрос:

Найдите сумму первых четырёх членов геометрической прогрессии, у которой первый член равен 5 и знаменатель равен 2.

 

Запишите число:

___________________________

 

 

Задание 5

Вопрос:

Вычислите сумму первых n членов геометрической прогрессии, у которой первый член равен 1 и знаменатель равен 2.

 

Выберите один из 4 вариантов ответа:


1)

2)

3)

4)


 

 

Задание 6

Вопрос:

Среди геометрических прогрессий укажите те, у которых сумма первых пяти членов неотрицательна.

 

Выберите несколько из 4 вариантов ответа:


1) 1; 3; 9; 27;...

2) 1; 2; 4; 8;...

3) -1; 3; -9; 27;...

4) -1; 2; -4; 8;...


 

 

Задание 7

Вопрос:

Вычислите сумму первых семи членов геометрической прогрессии, у которой b1=-1 и q=6.

 

Запишите число:

___________________________

Задание 8

Вопрос:

Найдите знаменатель геометрической прогрессии, если c1=1 и S5=341.

 

Выберите один из 4 вариантов ответа:


1) q=5

2) q=4

3) q=2

4) q=3


 

 

Задание 9

Вопрос:

Установите соответствие между геометрическими прогрессиями и значениями знаменателя q.

 

Укажите соответствие для всех 3 вариантов ответа:


1) -1/3

2) 5

3) 0,1

__ 3; -1;...

__ 7; 0,7;...

__ 5; 25;...


 

 

Задание 10

Вопрос:

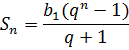
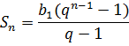
Укажите формулу суммы первых n членов геометрической прогрессии.

 

Выберите один из 4 вариантов ответа:


1)

2)

3)

4)



Ответы:

1) (4 б.) Верные ответы: 2;

2) (4 б.) Верные ответы: 3;

3) (4 б.): Верный ответ: 4.;

4) (4 б.): Верный ответ: 75.;

5) (5 б.) Верные ответы: 1;

6) (3 б.) Верные ответы: 1; 2;

7) (5 б.): Верный ответ: -9331.;

8) (5 б.) Верные ответы: 2;

9) (3 б.) Верные ответы:

1;

3;

2;

10) (3 б.) Верные ответы: 1;

 

Конец

 




Поделиться с друзьями:


Дата добавления: 2015-06-04; Просмотров: 4202; Нарушение авторских прав?; Мы поможем в написании вашей работы!


Нам важно ваше мнение! Был ли полезен опубликованный материал? Да | Нет



studopedia.su - Студопедия (2013 - 2025) год. Все материалы представленные на сайте исключительно с целью ознакомления читателями и не преследуют коммерческих целей или нарушение авторских прав! Последнее добавление




Генерация страницы за: 0.012 сек.