Студопедия

КАТЕГОРИИ:


Архитектура-(3434)Астрономия-(809)Биология-(7483)Биотехнологии-(1457)Военное дело-(14632)Высокие технологии-(1363)География-(913)Геология-(1438)Государство-(451)Демография-(1065)Дом-(47672)Журналистика и СМИ-(912)Изобретательство-(14524)Иностранные языки-(4268)Информатика-(17799)Искусство-(1338)История-(13644)Компьютеры-(11121)Косметика-(55)Кулинария-(373)Культура-(8427)Лингвистика-(374)Литература-(1642)Маркетинг-(23702)Математика-(16968)Машиностроение-(1700)Медицина-(12668)Менеджмент-(24684)Механика-(15423)Науковедение-(506)Образование-(11852)Охрана труда-(3308)Педагогика-(5571)Полиграфия-(1312)Политика-(7869)Право-(5454)Приборостроение-(1369)Программирование-(2801)Производство-(97182)Промышленность-(8706)Психология-(18388)Религия-(3217)Связь-(10668)Сельское хозяйство-(299)Социология-(6455)Спорт-(42831)Строительство-(4793)Торговля-(5050)Транспорт-(2929)Туризм-(1568)Физика-(3942)Философия-(17015)Финансы-(26596)Химия-(22929)Экология-(12095)Экономика-(9961)Электроника-(8441)Электротехника-(4623)Энергетика-(12629)Юриспруденция-(1492)Ядерная техника-(1748)

Контрольная работа 2 страница




Дистанционного зондирования;

Статистических данных и их обработки;

Полевого картографирования и мониторинга;

Изучения составления биоиндикаторов;

Обобщения материалов из разных источников.

Глава 3 КАРТОГРАФИЧЕСКИЙ МЕТОД ИССЛЕДОВАНИЯ

Картографический метод исследования – это метод, использования карт для познания изображенных на нем явлений. Познание подразумевает под собой изучение по картам структуры, взаимосвязей, динамики и эволюции явлений во времени и пространстве, прогноз их развития, получение всевозможных качественных и количественных характеристик.

Приложения картографического метода исследования в науке и практике весьма многообразны. Как было показано выше, он является одним из основных методов во всех науках о Земнее и планетах, и в смежных с ними социально-экономических науках.

3.1 Система приемов анализа карт

Широкое использование картографического метода исследования в различных отраслях знания привело к возникновению множества приемов анализа карт, в разработке которых активно участвовали картографы, географы, геологи, геофизики, математики, экономисты. Издавна широко использовались картометрия и морфометрия, позднее активное развитие получили приемы математического анализа, математической статистики, теории вероятности и др. В наши дни все методы математики так или иначе испытывают для анализа картографического изображения. Такое многообразие приемов порой даже затрудняет их выбор для каждого конкретного исследования. Наиболее употребительные приемы, получившие достаточно широкое применение, группируются следующим образом:

Описания

Общие

Полиэлементные

Графические приемы

Двумерные графики

Трехмерные графики

Графоаналитические приемы

Картометрия

морфометрия

Математико-картографическое моделирование

Математический анализ

Математическая статистика

Теория информации

Каждая из указанных в этом перечне групп включает множество отдельных способов и их модификаций. Все вместе они образуют целостную систему, позволяющую исследовать объекты с разных сторон. В пределах каждой группы выделяют приемы сплошного, выборочного и ключевого анализов.

Все приемы анализа карт значительно варьируются в зависимости от технического оснащения. Существуют различные уровни механизации и автоматизации исследования по картам:

Визуальный анализ, т.е. чтение карт, глазомерное сопоставление и зрительная оценка изучаемых;

Инструментальный анализ – применение измерительных приборов и механизмов;

Компьютерный анализ, выполняемый в полностью автоматическом или в интерактивном режиме с использованием специальных алгоритмов, программ или геоинформационных систем.

Все приемы на разных уровнях механизации и автоматизации могут быть использованы для работы с отдельной картой либо с сериями карт и атласами.

Описание по картам - это традиционный и общеизвестный прием анализа карт; его цель состоит в том, чтобы выявить наличие на карте изучаемых явлений, особенности их размещения и взаимосвязи. Описание – качественный способ анализа картографического изображения, но в него могут вводиться количественные характеристики, прочитанные по карте.

Техника описания проста, но, тем не менее, подчинена некоторым обязательным требованиям. Приступая к описанию, необходимо прежде всего оценить качество самой карты, серии карт или атласа, получить представление об их современности, детальности, принципах составления, характере искажений, вызываемых картографической проекцией. Следует изучить легенду, уделяя главное внимание принципам классификации изображаемых явлений и самим способом изображения.

Описывая какое-либо явление или территорию, очень важно соблюдать порядок от общего к частному, т.е. дать сперва характеристику основных, определяющих черт, затем детально проанализировать отдельные особенности и частности. В заключение четко формулируется выводы. Всякое научное описание должно быть логично, строго упорядочено, построено по определенному плану, причем хорошо, если этот план ясен читателю.

Основные принципы, которым должно удовлетворять научное описание, составляемое по картам:

логичность, упорядоченность и последовательность описания;

отбор и систематизация фактов;

введение в описание элементов сравнения, аналогии, сопоставления с использованием количественных показателей;

оценка описываемых явлений или процессов с точки зрения конкретных задач исследования;

четкая формулировка выводов и рекомендаций.

Описания по картам широко используются на предварительной стадии исследования для общего ознакомления с изучаемым объектом, планирования исследования, определения рациональной методики, выбора исходных картографических материалов. Описание совершенно необходимо и на заключительном этапе, когда требуется дать содержательную интерпретацию полученных результатов. При хорошо спланированном исследовании математические приемы сочетаются с описаниями, не подменяя и не вытесняя их. Это обеспечивает необходимое равновесие между качественными и количественными методами картографического анализа.

Графические приемы анализа карт состоят в построении по ним различного рода профилей, разрезов, графиков, эпюр, диаграмм и блок-диаграмм. Основное назначение этой группы приемов – дать наглядное двух- или трехмерное изображение изучаемых явлений.

Многие графические построения благодаря своей простоте стали привычными доступными инструментами исследования.

Комплексные профили удобны для анализа карт с разной тематикой. На них могут, например, совмещаться гипсометрический профиль, геологический разрез, почвенно-растительный покров, график гидроклиматических показателей. Аналогичным путем можно построить и комплексный социально-экономический разрез. Подобные построения нужны для наглядного представления связей между явлениями и районирования территории по комплексу показателей.

Графики, эпюры. Графики составляются чаще всего для выявления зависимости между явлениями. При изучении разновременных карт обращаются к составлению графиков, показывающих динамику развития явлений и процессов. Особым видом графика является эпюра, совмещающая на плоскости различные пространственные преобразования.

Диаграммы. Данные, снятые с карты, удобно анализировать с помощью различных диаграмм. В картографии широко употребляются линейные, площадные, объемные диаграммы, которые подобно графикам иллюстрируют зависимость между явлениями или динамику их развития. В исследовательских целях часто используют розы- диаграммы, которые прекрасно передают господствующие и подчиненные направления явлений, локализованных на линиях.

Блок-диаграммы – это трехмерный рисунок, совмещающий перспективное изображение какой-либо поверхности, продольный и поперечный профили.

Графоаналитические приемы анализа карт – картометрия и морфометрия - эти приемы анализа карт используют для измерения и исчисления по картам различных количественных показателей объектов, формы и структуры.

Эти примы наиболее обстоятельно разработаны в картографическом методе исследования. Методы картометрии позволяют непосредственно измерять следующие показатели:

географические и прямоугольные координаты;

длины прямых и извилистых линий, расстояния;

площади;

объемы;

вертикальные и горизонтальные углы и угловые величины;

Кроме того в рамках картометрии исследуется точность измерений по карте.

В отличии от картометрии, морфометрия занимается расчетом показателей формы и структуры объектов. Число их велико – до нескольких сот. Наиболее употребительны следующие группы показателей и коэффициентов:

очертания (форма) объектов;

кривизна линий и поверхностей;

горизонтальное расчленение поверхностей;

вертикальное расчленение поверхностей;

уклоны и градиенты поверхностей;

плотность, концентрация объектов;

густота, равномерность сетей;

сложность, раздробленность, однородность/неоднородность контуров.

Приемы математико-картографического моделирования.

Изначально картографическое изображение хорошо приспособлено для математического анализа. Каждой точке карты с координатами x и y соответствует лишь одно значение картографируемого параметра z, а это позволяет представить изображение данного явления как функцию z=F(x,y). В других случаях картографическое изображение удобно представить как поле случайных величин и воспользоваться для его анализа вероятностно-статистическими методами.

В принципе почти все разделы математики применимы для обработки и анализа картографического изображения. Проблема лишь в том, что бы точно подобрать математическую модель и – главное – дать надежное содержательное истолкование результатам моделирования. Достаточно прочно в картографический анализ вошли некоторые разделы численного анализа, многомерной статистики, теории вероятностей и теории информации.

3.2 Прикладное значение экологического картографирования

Результаты экологического картографирования успешно применяются в экологическом проектировании. В настоящее время значительное число карт вошло в перечни материалов, обязательных или рекомендуемых для включения в пакет документов экологического обоснования инвестиций на разных стадиях инвестиционного процесса. По результатам инженерно-экологических изысканий составляется технический отчет.

На карте современного экологического состояния должны быть отображены: распространение различных типов ландшафтов, функциональное зонирование территории, расположение различных типов источников и их характеристики, возможные пути миграции и участки аккумуляции загрязнений, расположение особо охраняемых участков и зон ограниченного использования, участков особой чувствительности к воздействиям опасных природных и техногенных процессов, результаты геохимических, гидрохимических и радиационных исследований, оценка современного экологического состояния территории и районирование по условиям экологического благополучия природной среды.

На карте прогнозируемого экологического состояния в зависимости от видов и характера воздействий и особенностей природных условий следует отображать динамику предполагаемого распространения различных типов и видов загрязнений; ожидаемые изменения ландшафтной структуры территории, морфоструктуры ландшафтов, отдельных компонентов окружающей среды, общих оценок территории по степени экологического благополучия природной среды.

Экологические карты должны сопровождаться развернутыми легендами, необходимыми разрезами и другими дополнениями. Допускается составление единой инженерно-экологической карты современного экологического состояния территории с элементами прогноза, а так же вынос информации на вспомогательные карты.

3.3 Балльная оценка экологических ситуаций

При проведении оценки экологического состояния природной среды, для выявления экологических проблем и ситуаций часто используется метод балльных оценок.

На первом этапе подобных исследований ставится задача отбора комплекса факторов, формирующих экологическую ситуацию (экологических проблем). Как правило, наиболее значимыми считаются химическое загрязнение (атмосферного воздуха, почвы, питьевой воды, поверхностных вод) и физическое (чаще всего шумовое и радиационное).

Оценка степени остроты экологических проблем проводится на основе утвержденных нормативов и методик. Например, уровень загрязнения атмосферного воздуха может быть определен путем расчета ИЗА или на основе фактических данных – интенсивности пылевой нагрузки и величины суммарного показателя загрязнения пылевых выпадений.

Далее выполняется бальная оценка каждого фактора и суммирование частных оценок для получения интегрального показателя экологической напряженности. На его основе строятся карты районирования городской территории по степени остроты экологической ситуации, комфортности проживания, ценности земельных участков и др. В качестве базовых карт обычно используются карты функционального зондирования городской территории.

Некоторые задачи дальнейшего развития картографического метода исследования

Картографический метод исследования обладает всеми свойствами научного метода. Он имеет четко очерченный круг задач, систему определенных и взаимосвязанных приемов анализа и преобразования картографического изображения. Период быстрого развития и совершенствования метода начался сравнительно недавно, но он уже многократно доказал свою надежность и эффективность. Развитие метода идет по нескольким направлениям. Главные перспективы связаны с прогрессом комплексного тематического картографирования, с созданием карт и атласов нового типа, в том числе – специально предназначенных для проведения по ним научных исследований.

В тесной связи с созданием новых карт и атласов находится проблема совершенствования приемов анализа и преобразования картографического изображения.

Существует еще одна очень важная проблема, тесно связанная с использованием карт. Это - изучение запасов со стороны потребителей. Данная проблема обширная и многоаспектная. Прежде всего, необходимо иметь представление о составе потребителей, использующих карты в научной и практической деятельности.

Изучение запросов потребителей должно выявить наиболее популярные и доступные приемы работы с картами и атласами, показать, в какой мере они удовлетворяют специалистов разного профиля, какие требования предъявляются к точности карт и достоверности результатов исследования.

Широкие возможности, открывающиеся перед картографическим методом исследования, и многообразие проблем, ожидающих разработки, - свидетельство хороших перспектив для развития этого раздела картографии.

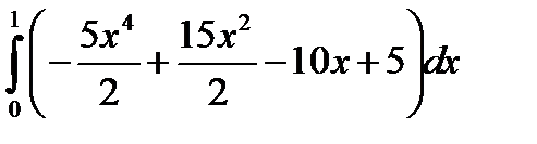
Задача 1. Вычислить.

;

Решение:

=

= = =

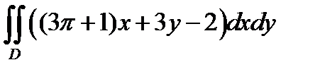
Задача 2. Вычислить.

; .

Решение:

= = =

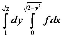
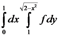
Задача 3. Изменить порядок интегрирования.

+ .

Решение:

= , где . Запишем выражения для границ области так, чтобы значения были функциями от значений , получим = .

Таким же образом для второго интеграла = . , =

+ = + = + .

Ответ: + .

 

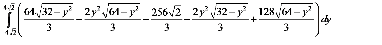
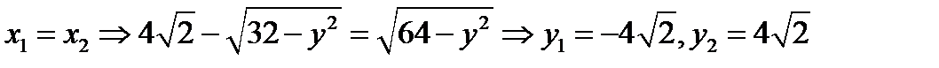
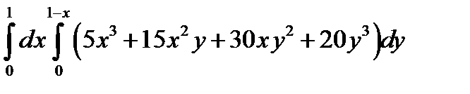
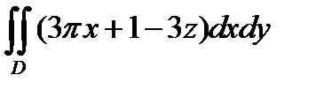
Задача 4. Вычислить

.

Решение:

= = =

=

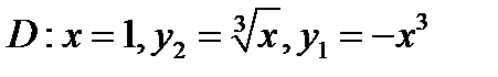
Задача 5. Найти площадь фигуры, ограниченной данными линиями, и выполнить чертеж.

1) , 2) , 3) 4) .

 
 
 
 
D

Площадь фигуры D равна , в полярных координатах . Выразим границу области в полярных координатах. , из кривых (1) и (2) подстановкой значений x и у получаем пределы интегрирования по r: 1) ,2) . Пределы интегрирования по : , .

= = = .

Ответ: .

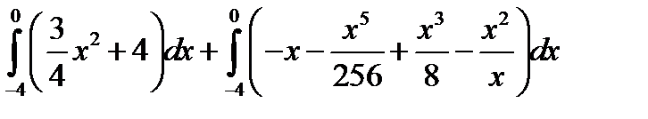
Задача 6. Найти объем тела, заданного ограничивающими его поверхностями, и выполнить чертеж.

1) , 2) , 3) .

Решение:

Объем тела будет равен , функцию z берем с минусом, так как z на области интегрирования меньше нуля. Ниже приведен чертеж области интегрирования D:

2 (при z = 0)
 

Чтобы найти пределы интегрирования по x, выражаем x из уравнения (1) и из (2), при этом в (2) полагаем z = 0. Получим соответственно . .Пределы интегрирования по y найдем из уравнения .

= = = .

Задача 7. Найти объем тела заданного неравенствами.

1) , 2) , 3) .

Решение:

Неравенство (1) задает слой шара между радиусами и . Неравенство (2) определяет перевернутый конус с вершиной в начале координат, образующая конуса с осью Oz составляет угол . Неравенство (3) определяет сектор между углами в плоскости xOy относительно оси Ox равными . Поэтому объем тела в полярных координатах выразится следующей формулой = = = .

Ответ: .

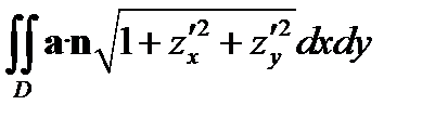
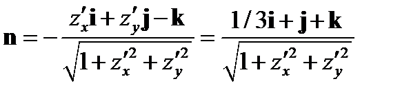
Задача 8. Найти поток векторного поля a через часть плоскости P, расположенную в 1 октане (нормаль образует острый угол с осью Oz).

a = , .

Решение:

Поток вектора равен = , где - единичный вектор нормали к поверхности; часть плоскости P, через которую вычисляется поток векторного поля; D - проекция на xOy (интеграл по - интеграл по поверхности, а интеграл по D – двойной интеграл).

, . ; ; = = .

Область D ограничена следующими линиями: , где линия пересечения плоскости P с плоскостью xOy. Отсюда получаем пределы интегрирования для вычисления двойного интеграла: .

= = = .

Ответ: .

 

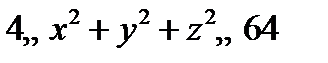
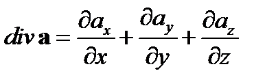
Задача 9. Найти поток векторного поля a через замкнутую поверхность S(нормаль внешняя).

, .

Решение:

Поверхность S – сфера с центром в точке (1; 1; 1) и радиусом R = 1, так как написанное выше уравнение для S эквивалентно следующему . Найдем дивергенцию поля = . Так как дивергенция поля постоянна (не зависит от рассматриваемой точки), то поток векторного поля будет равен объему сферы умноженному на дивергенцию .

Это следует из теоремы Остроградского в векторной форме: поток вектора изнутри замкнутой поверхности равен тройному интегралу по объему, ограниченному этой поверхностью, от дивергенции поля: K = , т.к. дивергенция у нас константа, то ее значение можно выносить за знак интегрирования: = .

Ответ: .

 

Задача 10. Найти работу силы F при перемещении вдоль линии L от точки M к точке N.

, ,

Решение:

Работа равна = .

, , , = .

= =

Ответ:

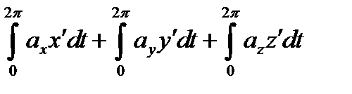
Задача 11. Найти циркуляцию векторного поля вдоль контура (в направлении соответствующем возрастанию параметра t).

;

Циркуляция равна = =




Поделиться с друзьями:


Дата добавления: 2015-06-04; Просмотров: 742; Нарушение авторских прав?; Мы поможем в написании вашей работы!


Нам важно ваше мнение! Был ли полезен опубликованный материал? Да | Нет



studopedia.su - Студопедия (2013 - 2026) год. Все материалы представленные на сайте исключительно с целью ознакомления читателями и не преследуют коммерческих целей или нарушение авторских прав! Последнее добавление




Генерация страницы за: 0.01 сек.