Студопедия

КАТЕГОРИИ:


Архитектура-(3434)Астрономия-(809)Биология-(7483)Биотехнологии-(1457)Военное дело-(14632)Высокие технологии-(1363)География-(913)Геология-(1438)Государство-(451)Демография-(1065)Дом-(47672)Журналистика и СМИ-(912)Изобретательство-(14524)Иностранные языки-(4268)Информатика-(17799)Искусство-(1338)История-(13644)Компьютеры-(11121)Косметика-(55)Кулинария-(373)Культура-(8427)Лингвистика-(374)Литература-(1642)Маркетинг-(23702)Математика-(16968)Машиностроение-(1700)Медицина-(12668)Менеджмент-(24684)Механика-(15423)Науковедение-(506)Образование-(11852)Охрана труда-(3308)Педагогика-(5571)Полиграфия-(1312)Политика-(7869)Право-(5454)Приборостроение-(1369)Программирование-(2801)Производство-(97182)Промышленность-(8706)Психология-(18388)Религия-(3217)Связь-(10668)Сельское хозяйство-(299)Социология-(6455)Спорт-(42831)Строительство-(4793)Торговля-(5050)Транспорт-(2929)Туризм-(1568)Физика-(3942)Философия-(17015)Финансы-(26596)Химия-(22929)Экология-(12095)Экономика-(9961)Электроника-(8441)Электротехника-(4623)Энергетика-(12629)Юриспруденция-(1492)Ядерная техника-(1748)

Выборочный коэффициент регрессии




Выборочный коэффициент корреляции

Решение задач.

1.

Выборочное уравнение прямой линии регрессии Y на X имеет вид . Тогда выборочный коэффициент корреляции может быть равен …

· 0,82

· -0,82

· 1,2

· -1,2

Решение:

Значение выборочного коэффициента корреляции, во-первых, принадлежит промежутку , а во-вторых, его знак совпадает со знаком выборочного коэффициента регрессии. Этим условиям удовлетворяет значение 0,82.

 

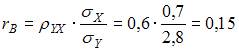
2.

Выборочное уравнение прямой линии регрессии на имеет вид , а выборочные средние квадратические отклонения равны: . Тогда выборочный коэффициент корреляции равен …

 

· 0,15

· -2,4

· 2,4

· -0,15

Решение:

Выборочный коэффициент корреляции можно вычислить из соотношения . Тогда .

1.

При построении выборочного уравнения парной регрессии вычислены выборочный коэффициент корреляции и выборочные средние квадратические отклонения . Тогда выборочный коэффициент регрессии X на Y равен …

· -1,32

· 1,32

· 0,33

· -0,33

 

Решение:

Выборочный коэффициент регрессии X на Y вычисляется по формуле . Тогда .

 

2.

Выборочное уравнение прямой линии регрессии на имеет вид . Тогда выборочный коэффициент регрессии равен …

 

· – 1,5

· 1,5

· 4

· -0,25

Решение:

Если выборочное уравнение парной регрессии имеет вид , то выборочный коэффициент регрессии равен . То есть .

3.

При построении выборочного уравнения парной регрессии вычислены выборочный коэффициент корреляции и выборочные средние квадратические отклонения . Тогда выборочный коэффициент регрессии Y на X равен…

· 1,08

· -1,08

· 0,27

· -0,27

Решение:

Выборочный коэффициент регрессии Y на X вычисляется по формуле . Тогда .

4.

При построении выборочного уравнения прямой линии регрессии Y на X вычислены выборочный коэффициент регрессии , и выборочные средние и . Тогда уравнение регрессии примет вид …

·

·

·

·

 

Решение:

Выборочное уравнение прямой линии регрессии Y на X имеет вид . Тогда , или .




Поделиться с друзьями:


Дата добавления: 2015-07-02; Просмотров: 32439; Нарушение авторских прав?; Мы поможем в написании вашей работы!


Нам важно ваше мнение! Был ли полезен опубликованный материал? Да | Нет



studopedia.su - Студопедия (2013 - 2026) год. Все материалы представленные на сайте исключительно с целью ознакомления читателями и не преследуют коммерческих целей или нарушение авторских прав! Последнее добавление




Генерация страницы за: 0.008 сек.