Студопедия

КАТЕГОРИИ:


Архитектура-(3434)Астрономия-(809)Биология-(7483)Биотехнологии-(1457)Военное дело-(14632)Высокие технологии-(1363)География-(913)Геология-(1438)Государство-(451)Демография-(1065)Дом-(47672)Журналистика и СМИ-(912)Изобретательство-(14524)Иностранные языки-(4268)Информатика-(17799)Искусство-(1338)История-(13644)Компьютеры-(11121)Косметика-(55)Кулинария-(373)Культура-(8427)Лингвистика-(374)Литература-(1642)Маркетинг-(23702)Математика-(16968)Машиностроение-(1700)Медицина-(12668)Менеджмент-(24684)Механика-(15423)Науковедение-(506)Образование-(11852)Охрана труда-(3308)Педагогика-(5571)Полиграфия-(1312)Политика-(7869)Право-(5454)Приборостроение-(1369)Программирование-(2801)Производство-(97182)Промышленность-(8706)Психология-(18388)Религия-(3217)Связь-(10668)Сельское хозяйство-(299)Социология-(6455)Спорт-(42831)Строительство-(4793)Торговля-(5050)Транспорт-(2929)Туризм-(1568)Физика-(3942)Философия-(17015)Финансы-(26596)Химия-(22929)Экология-(12095)Экономика-(9961)Электроника-(8441)Электротехника-(4623)Энергетика-(12629)Юриспруденция-(1492)Ядерная техника-(1748)

Подбор вентагрегатов для остальных вытяжных систем




Подбор фильтров и вентагрегатов для систем П2, П3 и В2.

 

Для воздушного душа П1, П2 по расходу воздуха и давлению, которое он должен обеспечивать, подбираем приточную установку.

L=40000 м3/ч; Рв=280,4 Па.

Принимаем комплект DANVENT DN120

Состоит: заслонка TCA(25 Па), фильтрующая секция TCG(105Па), нагревательная секция ТСН(60 Па). Вентилятор TCV-65/66-FK

 

Для местной вытяжной системы В2 в термическом цехе по расходу воздуха и давлению, которое он должен обеспечивать, подбираем радиальный вентилятор и фильтр.

L=27294 м3/ч; Рв=561,61 Па.

Вентилятор «Русвент» ВР 80-75 № 8

L=17100-32300 м3/ч; Рв=2150-1400 Па.

Электродвигатель АИР 160М4, потребляемая мощность 18.5 кВт.

Число оборотов 1450 мин-1, вес агрегата 312 кг. КПД=0,65.

Фильтр типа ФКГ-Т-20 (500Па)

Условные обозначения: ФКГ-Т-5-1, ФКГ-Н-5-2.

Ф – фильтр, К - кассетный, Г – для гальванических ванн, Т – материал корпуса.

(Т – титан, Н – коррозионно- стойкая сталь, П – полипропилен).

5,0 – производительность, тыс.м3/ч.

1,2 – варианты исполнения:

1 – ый – фильтр с диффузором и конфузором;

2 – ой – фильтр без диффузора и конфузора.

 

 

 

Для данных систем подбираем вентиляторы и фильтры, ориентируясь на расход воздуха.

Подбираем вентагрегаты:

Система В1 – выбираем радиальный вентилятор ВР80-75 № 12.5, фильтр ФКГ-Т-20-1

Система В2 – выбираем радиальный вентилятор ВР80-75 № 8, фильтр ФКГ-Т-20-1

Система В3 – выбираем радиальный вентилятор ВР80-75 № 6.3, фильтр ФКГ-Т-20-1

Система В4 – выбираем радиальный вентилятор ВР80-75 № 2.5

Система В5 – выбираем радиальный вентилятор ВР80-75№ 2.5

Система В6 – выбираем радиальный вентилятор ВР80-75№ 2.5

Система В7 – выбираем радиальный вентилятор ВР80-75№ 4

Система В8 – выбираем радиальный вентилятор ВР80-75№ 2.5

Система В9 – выбираем радиальный вентилятор ВР80-75№ 4

Система П1 – принимаем комплект 1 DANVENT DV 50

Система П2 – принимаем комплект 1 DANVENT DV 50

Система П3 – принимаем комплект 1 DANVENT DV 15

 

14.3. Расчёт и подбор циклонов.

Расчёт и подбор циклона для шлифовального станка.

Для очистки воздуха удаляемого местными отсосами от шлифовального станка, устанавливается циклон, для расчёта которого необходимы следующие данные:

Расход очищаемого воздуха L=2000 м3/ч;

По графику определяем, что данная пыль принадлежит к III группе дисперсности.

Расчёт:

1. По справочным данным принимаем оптимальную скорость движения воздуха в корпусе циклона V0т=3,5 м/с для циклона ЦН-15у.

 

2. Задаёмся числом циклонов n=1 и определяем расчётный диаметр циклона:

D=(4* L/(3600* п* V0* n))0.5= (4* 2000 / (3600* 3,14* 3.5* 1)0.5=0,53 м/с

По величине D из ряда типоразмеров принимаем циклон с ближайшим D=0,5м.

 

3. Определяем фактическую скорость воздуха в сечении циклона:

V0=(4* L/(3600* п* D2* n))= 4* 2000 / (3600* 3,14* 0,52* 1)=3,96 м/с

При этом значение V0=3,96 м/с может отличаться от рекомендуемого справочного значения не более 15% | V0 - V0т/ V0т * 100|<15%

13%<15%, что удовлетворяет условию.

 

4. Определяем потери давления в циклоне:

ΔРц= zц* r*(V0)2/2=250* 1,2* (3,96)2 / 2=2352,24 Па

zц – коэффициент местного сопротивления циклона отнесённой к скорости во входном патрубке:

zц1* К2* zц.о. +Δzц.о = 1*1*250+0=250

К1, К2 – коэффициенты зависящие от вида циклона, его диаметра и концентрации пыли в очищаемом воздухе [8];

zц.о. – коэффициент местного сопротивления циклона при одиночной установке - zц.о.=250; Δzц.о – поправка на групповую установку циклонов Δzц.о =0.

 

По зависимости фракционной эффективности очистки для данного циклона определяем δh=50 – диаметр частиц улавливание которых равно 50%

δh=50 =(1,458* Т1,5 /(Т+ 110,4))* 106=(1,458* 2941,5 / (294+ 110,4))* 106=3,3мкм

μ=18 мкм

так как зависимость фракционной эффективности получены в лабораторных условиях, то величину δh=50 необходимо пересчитать на реальные условия:

δh=50 =548,5* δh=50 *((μ* V0* D)/(rп* V0))0.5=

=548,5* 3,3 ((500* 18* 10-6* 3,5)/ (2670* 3,96))0,5=3 мкм

rп - плотность пыли в реальных условиях rп =2670 кг/м3;

μ – динамическая вязкость в реальных условиях, μ =18*10-6 Па*с;

D – диаметр, при котором определялась эффективность в лабораторных условиях, D=0,5м.

 

По известным величинам h=50% и δh=50 наносим точку на график фракционной эффективности и проводим прямую параллельную фракционной эффективности для данного циклона.

Зная фракционный состав, рассчитываем общую эффективность очистки воздуха в циклоне:

h=Σhфi*gi

=40*0,05+60*0,07+88*0,2+95,5*0,15+98,5*0,12+99,6*0,1+99,9*0,07+100*0,06+100*0,04=76,9%

hфi – определяем по построенной пунктирной прямой для каждой фракции;

gi – доля каждой фракции.

Расчёт и подбор циклона для 2-х заточных станков.

 

Для очистки воздуха удаляемого местными отсосами от шлифовального станка, устанавливается циклон, для расчёта которого необходимы следующие данные:

Расход очищаемого воздуха L=1800 м3/ч;

По графику определяем, что данная пыль принадлежит к III группе дисперсности.

Расчёт:

5. По справочным данным принимаем оптимальную скорость движения воздуха в корпусе циклона V0т=3,5 м/с для циклона ЦН-15у.

 

6. Задаёмся числом циклонов n=1 и определяем расчётный диаметр циклона:

D=(4* L/(3600* п* V0* n))0.5= (4* 1800 / (3600* 3,14* 3.5* 1)0.5=0,43 м/с

По величине D из ряда типоразмеров принимаем циклон с ближайшим D=0,5м.

 

7. Определяем фактическую скорость воздуха в сечении циклона:

V0=(4* L/(3600* п* D2* n))= 4* 1800 / (3600* 3,14* 0,52* 1)=3,55 м/с

При этом значение V0=2,55 м/с может отличаться от рекомендуемого справочного значения не более 15% | V0 - V0т/ V0т * 100|<15%

1.4%<15%, что удовлетворяет условию.

 

8. Определяем потери давления в циклоне:

ΔРц= zц* r*(V0)2/2=250* 1,2* (3,55)2 / 2=1888,0 Па

zц – коэффициент местного сопротивления циклона отнесённой к скорости во входном патрубке:

zц1* К2* zц.о. +Δzц.о = 1*1*250+0=250

К1, К2 – коэффициенты зависящие от вида циклона, его диаметра и концентрации пыли в очищаемом воздухе [8];

zц.о. – коэффициент местного сопротивления циклона при одиночной установке - zц.о.=250; Δzц.о – поправка на групповую установку циклонов Δzц.о =0.

 

По зависимости фракционной эффективности очистки для данного циклона определяем δh=50 – диаметр частиц улавливание которых равно 50%

δh=50 =(1,458* Т1,5 /(Т+ 110,4))* 106=(1,458* 2941,5 / (294+ 110,4))* 106=3,3мкм

μ=18 мкм

так как зависимость фракционной эффективности получены в лабораторных условиях, то величину δh=50 необходимо пересчитать на реальные условия:

δh=50 =548,5* δh=50 *((μ* V0* D)/(rп* V0))0.5=

=548,5* 3,3 ((500* 18* 10-6* 3,5)/ (2670* 3,55))0,5=3.1 мкм

rп - плотность пыли в реальных условиях rп =2670 кг/м3;

μ – динамическая вязкость в реальных условиях, μ =18*10-6 Па*с;

D – диаметр, при котором определялась эффективность в лабораторных условиях, D=0,5м.

 

По известным величинам h=50% и δh=50 наносим точку на график фракционной эффективности и проводим прямую параллельную фракционной эффективности для данного циклона.

Зная фракционный состав, рассчитываем общую эффективность очистки воздуха в циклоне:

h=Σhфi*gi

=40*0,05+60*0,07+88*0,2+95,5*0,15+98,5*0,12+99,6*0,1+99,9*0,07+100*0,06+100*0,04=76,9%

hфi – определяем по построенной пунктирной прямой для каждой фракции;

gi – доля каждой фракции.

 

15. Расчёт системы отопления.

15.1. Расчёт системы воздушного отопления.

 

В термическом отделении устраиваем децентрализованную систему воздушного отопления – т.е. нагрев и циркуляция воздуха в помещении обеспечиваются воздушно-отопительными агрегатами. Эта система выполняет роль дежурного отопления и поддерживает температуру внутреннего воздуха на уровне 5 оС.

 

Исходные данные:

· габариты помещения: А=48м, В=18 м, Н=13,8 м;

· теплопотери помещения в условиях дежурного отопления Qпот.= 132759 Вт;

· допустимые параметры воздуха Dtдоп.=5оС, vдоп.=0,5м/с, К=1,8.

Расчёт:

1. Подбираем тип воздушно-отопительных агрегатов и определяем их количество из условия (при наклонной подаче воздуха):

Qагр. ·Nагр. ³ 1,1· Qпом.

где Qагр. – номинальная теплопроизводительность агрегата, Вт; Nагр. – число принятых к установке агрегатов.

 

Выбираем один агрегат АО2-20-145 с Qагр.= 145200 Вт и следующими характеристиками:

 

· производительность воздушно-отопительного агрегата по воздуху, Lагр.=20000 м3/ч;

· избыточная температура подаваемого воздуха Dto.ном.=32,1 оС;

· скорость воздуха на выходе из агрегата vo= 5,2 м/с;

· расчетная площадь воздухораспределительного устройства Fo=0,34 м2;

· длина зоны эффективно обслуживаемая одним агрегатом L=12-15м;

· максимальные параметры воздуха в рабочей зоне: Dt = 6 oС, v = 0,5 м.

Проверяем выполнение условия-145200*1=145200>1,1·145034–условие выполняется.

 

2. Составляем расчетную схему и назначаем размеры ячейки (согласовав эти раз­меры с данными по воздушно-отопительным агрегатам): L = 18 м, В = 48 м.

 

3. Определяем разницу между температурой воздуха подаваемого агрегатом и температурой внутреннего воздуха:

Dtoр=(3,6*Qпот)/(Nагр* Iагр* rв* Cрв)=(3,6*132759)/(2*20000*1,2*1,005)=9,90 оС

Условие - Dtoном > Dtoр – 32,1 оС > 27,32 оС – выполняется.

 

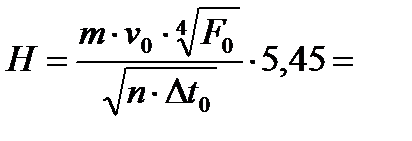
4. Определяем геометрическую характеристику струи:

9,56 м, где

m = 4,5, n = 3,8 - скоростной и температурный коэффициенты;

F0 = 0,34 м2 - расчетная площадь воздухораспределительного устройства;

v0 = 5,2 м/с - скорость воздуха на выходе из агрегата.

 

5. Координаты точки В - вершины приточной струи:

Хв = 0,635 ∙ Н = 0,635 ∙ 9,56 = 6,07 м

Zв = 0,307 ∙ Н = 0,307 ∙ 9,56 = 2,93 м

 

 

6. Уточняем длину помещения эффективно обслуживаемой одним агрегатом и определяем длину оси струи до ее вершины S:

L' = 1,58 ∙ Н = 1,58 ∙ 9,56 = 15,10 м

S = 0,7 ∙ Н = 0,7 ∙ 9,56 = 6,69 м

В реальности полученная величина эффективной обслуживаемой зоны будет увеличена за счёт расположения самого воздушно-отопительного агрегата, его габаритов, а также различными конструкциями в помещении.

 

7. Определяем параметры воздуха на вершине приточной струи:

2,04 м/с

9,05°С

 

8. Проверяем выполнение санитарно гигиенических условий:

vs ≤ vдоп ∙ k; 1,8*0,5 ≤ 2,04, условие не выполняется;

Δts ≤ Δtдоп; 5 ≤ 9,05 условие не выполняется.

Коэффициент k учитывает отличие средней скорости от определённого максимального значения vs и определяется по прил. [3].

 

9. Так как одно из условий не выполняется, то определяем высоту превышения воздушно-отопительного агрегата над рабочей зоной из следующим формулам:

0,70 м

0,84 м.

 

10. Из полученных величин выбираем большую, т.е. hп=0.70 м. Определяем высоту установки воздушно-отопительного агрегата:

h = hр.з + Zв + hп = 2 + 3,4 + 0,70 = 6,1 м.

 

11. Определяем температуру воздуха подаваемого агрегатом:

tг = tр.з + Δt0р = 5 + 27,32 = 32,32°С, где tр.з - температура рабочей зоны, в условиях дежурного отопления tр.з = 5 оС.

 

15.2. Расчёт системы водяного отопления.

 

В насосной двухтрубной системе отопления расчётное давление для создания циркуляции воды определяется по формуле:

 

Δрр= Δрн+0,4*Δре, где

Δрн – давление, создаваемое циркуляционным насосом для обеспечения необходимого расхода воды в системе;

Δре – естественное циркуляционное давление:

Δре = Δре.пр +Δре.тр, где

Δре.пр – естественное циркуляционное давление, возникающие вследствие охлаждения воды в приборах;

Δре.тр – естественное циркуляционное давление, возникающие вследствие охлаждения воды в трубах системы отопления.

 

Величина Δре.пр, Па, для двухтрубных систем отопления, определяется по формуле:

Δре.пр =βgh1(tг-tо), где

β – среднее приращение плотности при понижении температуры воды на 1 оС;

Δ tс= tг-tо – расчётная разность температуры воды в системе, оС;

h1 вертикальное расстояние между условными центрами охлаждения в ветви или отопительным приборе на нижнем этаже и нагревание в системе, м.

 

1. Выбираем основное циркуляционное кольцо:

lоцк= 143,8 м.

2. Δрн =150* lоцк =150*149,4=21570 Па

3. Определяем естественное циркуляционное давление, возникающие в следствие охлаждения воды в трубах системы отопления:

Δре.= Δре.пр =176,4 Па

4. Расчётное циркуляционное давление:

Δрр =12990+0,4*176,4=21640 Па

Целью гидравлического расчёта являются определение диаметров труб на всех участках, обеспечивающих поступление теплоносителя к каждому отопительному прибору в количестве, соответствующем требуемому расходу теплоты. При подборе диаметров труб в циркуляционном кольце исходят из расчётного расхода воды на i-ом участке, кг/ч, и среднего ориентировочного значения удельной линейной потери давления Rср, определяемой по формуле:

 

Rср =(l-k)* Δрр/ Σl, где

Δрр – расчётное циркуляционное давление, Па

k – коэффициент учитывающий долю потерь (k=0,35 для насосных систем водяного отопления); Σl – общая длина последовательных участков, составляющих расчётное циркуляционное кольцо, м.

Rср =0,65* Δрр/ lоцк=0,65*21640/149,4=99,8 Па/м

 

Расход теплоносителя на i-ом участке определяется по формуле:

Gi=3,6*Qуч.i* β1* β2/[Cpw(tг-tо)], где

Qуч.i – тепловая нагрузка участка составляется из тепловых нагрузок приборов обслуживаемых этим участком, Вт;

Cpw – 4,187 кДж/(кг*К) – удельная теплоёмкость воды.

β1=1,04; β2=1,02 – поправочные коэффициенты.

 

По величине расхода теплоносителя на участке Gwi и средней удельной потери давления Rср, используя номограмму, определяют диаметр участка теплопровода. При этом для стояков принимают ближайший меньший диаметр (но не менее dу=15 мм), а для магистральных теплопроводов – ближайший больший.

Для принятых значений диаметров теплопроводов по монограмме определяют фактическое значение удельных потерь на трение на расчётном участке Ri, Па/м, скорость движения теплоносителя wi м/с и динамическое давление рдiw*w2i/2, Па. Все величины заносят в таблицу 15.1.

 

Таблица 15.1

 

Данные по схеме Принято  
№ уч. Q, Вт G, кг/ч l, м dy, мм w, м/с R, Па/м R*I, Па/м Pд, Па  
 
                   
Тепловой Ввод 31522,1 1150,0   0,46 0,41     148,2  
Участок после газогенераторной 25420,2 927,4   0,42 0,33     148,2  
Участок после Участка ТВЧ 10658,2 388,8   0,30 0,14     148,2  
Участок ТВЧ 4103,8 149,7 19,9 0,21 0,85   626,5 86,4  
Радиатор отопления (3 шт.) 1367,9 49,9 20,9 0,14 0,78   626,5 86,4  
Газогенераторная 6101,9 222,6 21,9 0,25 1,26   626,5 86,4  
Радиатор отопления (4 шт.) 1525,5 55,7 22,9 0,15 0,88   626,5 86,4  
Место складирования инструмента 21316,5 777,7 23,9 0,40 1,72   626,5 86,4  
Радиатор отопления (2 шт.) 2664,6 97,2 24,9 0,18 0,86   626,5 86,4  
      149,4            

 

 

Список литературы:

1 Строительные нормы и правила. Отопление вентиляция и кондиционирова­ние: СНиП 41-01-2003. - М: ГУП ЦПП, 2004.- 72 с.

2. Внутренние санитарно-технические устройства. В 3 ч. Ч.3. Вентиляция и кондиционирование воздуха. Кн.1./ В.Н. Богословский, А.И. Пирумов, В.Н. Посохин и др.: Под ред. Н.Н. Павлова и Ю.И. Шиллера М.: Стройиздат, 1992. -319 с. – (Справочник проектировщика).

3. Внутренние санитарно-технические устройства. В 3 ч. Ч.3. Вентиляция и кондиционирование воздуха. Кн.2./ В.В. Баркалов, Н.Н. Павлов, С.С. Амирджанов и др.: Под ред. Н.Н. Павлова и Ю.И. Шиллера М.: Стройиздат, 1992. -416 с. – (Справочник проектировщика).

4. Тепловой и воздушный баланс помещения. Методические указания к выполнению расчетно-графической работы для студентов, обучающихся по специальности 290700 «Теплогазоснабжение и вентиляция». Автор: Герасимов А.А., к.т.н., доцент кафедры «Строительство, теплогазоснабжение и вентиляция». Калининград: КГТУ, 1998, 56 с.

5. Герасимов А.А. Методические указания к выполнению курсовой работы “ Отопление и вентиляция промышленного здания “. Калининград: КГТУ, 2001.

6. Техническая документация фирм «RECAIR», «Remak», «Mamplast Moro», «Salda».

 




Поделиться с друзьями:


Дата добавления: 2015-06-27; Просмотров: 809; Нарушение авторских прав?; Мы поможем в написании вашей работы!


Нам важно ваше мнение! Был ли полезен опубликованный материал? Да | Нет



studopedia.su - Студопедия (2013 - 2026) год. Все материалы представленные на сайте исключительно с целью ознакомления читателями и не преследуют коммерческих целей или нарушение авторских прав! Последнее добавление




Генерация страницы за: 0.011 сек.