Студопедия

КАТЕГОРИИ:


Архитектура-(3434)Астрономия-(809)Биология-(7483)Биотехнологии-(1457)Военное дело-(14632)Высокие технологии-(1363)География-(913)Геология-(1438)Государство-(451)Демография-(1065)Дом-(47672)Журналистика и СМИ-(912)Изобретательство-(14524)Иностранные языки-(4268)Информатика-(17799)Искусство-(1338)История-(13644)Компьютеры-(11121)Косметика-(55)Кулинария-(373)Культура-(8427)Лингвистика-(374)Литература-(1642)Маркетинг-(23702)Математика-(16968)Машиностроение-(1700)Медицина-(12668)Менеджмент-(24684)Механика-(15423)Науковедение-(506)Образование-(11852)Охрана труда-(3308)Педагогика-(5571)Полиграфия-(1312)Политика-(7869)Право-(5454)Приборостроение-(1369)Программирование-(2801)Производство-(97182)Промышленность-(8706)Психология-(18388)Религия-(3217)Связь-(10668)Сельское хозяйство-(299)Социология-(6455)Спорт-(42831)Строительство-(4793)Торговля-(5050)Транспорт-(2929)Туризм-(1568)Физика-(3942)Философия-(17015)Финансы-(26596)Химия-(22929)Экология-(12095)Экономика-(9961)Электроника-(8441)Электротехника-(4623)Энергетика-(12629)Юриспруденция-(1492)Ядерная техника-(1748)

Выбора заготовки




Технико-экономическое обоснование

Проводимые на первом этапе исследования позволяют определить рекомендуемые способы получения заготовок для чертежей деталей ТМ1— ТМ10. Окончательное решение о выборе конкретного способа из полученного перечня (результаты первого этапа) принимается после определения и сравнения себестоимости получения заготовки для каждого из рекомендуемых видов.

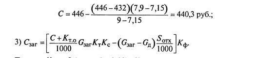
Себестоимость производства заготовок, без учета затрат на предварительную механическую обработку, для способов литья и обработки давлением определяется по зависимости

 

 

(1.1)

 

где С —базовая стоимость 1 т заготовок, руб./т (табл. 1.9—1.12);

Кт.о —коэффициент доплаты за термическую обработку и очистку заготовок, руб./т (табл. 1.13);

Сг— масса заготовки, кг;

Кт—коэффициент, учитывающий точностные характеристики заготовок (табл.1.14);

Кс—коэффициент, учитывающий серийность выпуска заготовок (табл. 1.15—1.17);

Gд—масса детали, кг (см. чертеж детали);

Sотх—стоимость 1 т отходов (стружки), руб.;

Kф—коэффициент, учитывающий инфляцию (по

отношению к ценам 1991 г.).

 

Таблица 1.9 – Оптовая цена 1 т отливок из чугуна, руб.

Таблица 1.10 – Оптовая цена 1 т отливок из стали, руб.

 

Таблица 1.11 – Оптовая цена 1 т поковок, руб.

Масса заготовки

 

 

где Кв.т —коэффициент весовой точности (см. табл. 1.6).

 

Таблица 1.12 – Оптовая цена 1 т штамповок, руб.

Таблица 1.13 – Доплаты за термообработку и очистку заготовок

Таблица 1.14 – Коэффициент Кт, учитывающий класс точности размеров


в зависимости от способов литья

 

 

Таблица 1.15 – Коэффициент Кс, учитывающий серийность выпуска заготовок-поковок массой 2,5—10 кг

Таблица 1.16 – Коэффициент Кс, учитывающий серийность выпуска штамповок

Таблица 1.17 – Коэффициент Кс, учитывающий серийность выпуска отливок

 

Сравнение способов производства заготовок по их себестоимости позволяет выбрать оптимальный метод и способ.

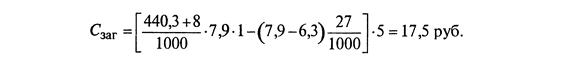
Задача 1.2. Определить себестоимость изготовления заготовки для детали «вал-шестерня», полученной штамповкой на молотах, — черт. ТМ1 (см. прил.А). Годовая программа выпуска — 10 000 шт.

Решение. Себестоимость производства заготовки — штамповки на молотах определяется по зависимости (1.1):

 

 

Так как Kвт = 0,8 (см. табл.1.6), Gд = 6,3 кг, то

 

 

(см. таблицу 1.12), то

 

 

 

Так как Кт.о = 8 (см. таблицу 1.13), Кт для штамповок, поковок, проката не учитывается, Кс=1 (см. таблицу 1.16), Sотх=27руб/т, Кф=5, то

 

 

 

 

Итак, стоимость заготовки-штамповки для ТМ 1 — 17,5 руб.

3. Задание на выполнение

 

1.Определить возможные виды и способы получения заготовок для следующих деталей (задача 1.1, табл. 1.8).

2. Определять стоимость различных вариантов получения заготовок (задача 1.2.)

3. Сравнение различных методов получения заготовки.

 

4. Варианты задания

Таблица 1.8 – Исходные данные к задаче 1.2

Вариант Деталь Номер чертежа (см. приложение А) Годовая программа выпуска, шт.
  Фланец кулака ТМ2  
 
 
  Серьга ТМ3  
 
 
  Шестерня ТМ5  
 
 
  Корпус ТМ6  
 
 
  Шестерня ТМ7  
 
 
  Фланец ТМ8  
 
 
  Корпус ТМ9  
 
 
  Крышка ТМ10  
 
 

5. Контрольные вопросы




Поделиться с друзьями:


Дата добавления: 2015-07-02; Просмотров: 2242; Нарушение авторских прав?; Мы поможем в написании вашей работы!


Нам важно ваше мнение! Был ли полезен опубликованный материал? Да | Нет



studopedia.su - Студопедия (2013 - 2026) год. Все материалы представленные на сайте исключительно с целью ознакомления читателями и не преследуют коммерческих целей или нарушение авторских прав! Последнее добавление




Генерация страницы за: 0.009 сек.