Студопедия

КАТЕГОРИИ:


Архитектура-(3434)Астрономия-(809)Биология-(7483)Биотехнологии-(1457)Военное дело-(14632)Высокие технологии-(1363)География-(913)Геология-(1438)Государство-(451)Демография-(1065)Дом-(47672)Журналистика и СМИ-(912)Изобретательство-(14524)Иностранные языки-(4268)Информатика-(17799)Искусство-(1338)История-(13644)Компьютеры-(11121)Косметика-(55)Кулинария-(373)Культура-(8427)Лингвистика-(374)Литература-(1642)Маркетинг-(23702)Математика-(16968)Машиностроение-(1700)Медицина-(12668)Менеджмент-(24684)Механика-(15423)Науковедение-(506)Образование-(11852)Охрана труда-(3308)Педагогика-(5571)Полиграфия-(1312)Политика-(7869)Право-(5454)Приборостроение-(1369)Программирование-(2801)Производство-(97182)Промышленность-(8706)Психология-(18388)Религия-(3217)Связь-(10668)Сельское хозяйство-(299)Социология-(6455)Спорт-(42831)Строительство-(4793)Торговля-(5050)Транспорт-(2929)Туризм-(1568)Физика-(3942)Философия-(17015)Финансы-(26596)Химия-(22929)Экология-(12095)Экономика-(9961)Электроника-(8441)Электротехника-(4623)Энергетика-(12629)Юриспруденция-(1492)Ядерная техника-(1748)

Спектральные характеристики оптимального фильтра




Известно, что импульсная характеристика линейной цепи и её частотная передаточная характеристика связаны парой преобразований Фурье:

Подставляя в требуемое выражение для , имеем

.

С другой стороны, спектральная плотность сигнала равна

 

Следовательно, должно выполняться равенство

Модуль передаточной характеристики фильтра пропорционален модулю спектральной характеристики сигнала:

а его фаза

В качестве примера покажем АЧХ и ФЧХ оптимального фильтра для видеоимпульса прямоугольной формы длительностью , спектральная плотность которого изображена на рис. 4, а, АЧХ оптимального фильтра с точностью до постоянного множителя повторяет форму АЧХ сигнала, а его ФЧХ повторяет ФЧХ сигнала с обратным знаком с учетом задержки (см. рис. 4, б).

 

Рис. 4

Пусть на выходе оптимального фильтра действует сумма сигнала с белым шумом:

 

сигнал характеризуется спектральной плотностью , а шум – спектральной плотностью мощности Тогда на выходе фильтра имеем:

а спектральная плотность мощности шума на выходе будет равна

Отсюда следует, что шум имеет на выходе спектральную плотность мощности, подобную спектральной плотности амплитуд самого сигнала.

На рис.5 показаны спектральная плотность сигнала (а) и спектральная плотность шума (б) на выходе оптимального фильтра для видеоимпульса длительностью .

Рис. 5

Ослабление по краям выражается для шума сильнее, чем для сигнала. В результате шум ослабляется в целом сильнее, чем сигнал, Кроме того, благодаря ФЧХ фильтра, все спектральные составляющие сигнала на выходе фильтра в момент имеют одну и ту же нулевую фазу, т.к. полная фаза

обращается в нуль независимо от частоты. Складываясь в фазе, спектральные составляющие сигнала образуют пиковый выброс временной функции выходного сигнала. Так как фазы составляющих шума случайны, то результирующие их фазы на выходе также будут случайны, поэтому шумовой выброс на выходе фильтра маловероятен.

Оптимальный фильтр часто называют согласованным, т.к. его передаточная характеристика согласована с частотной характеристикой сигнала.

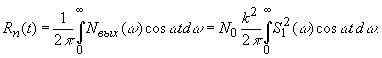
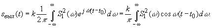
Временная функция сигнала на выходе фильтра (АКФ) имеет спектральную плотность , поэтому

Таким образом, выходной сигнал здесь определяется только амплитудным спектром входного сигнала и не зависит от его фазового спектра, так как оптимальный фильтр компенсирует все фазовые сдвиги между составляющими. Выходное напряжение, обусловленное белым шумом на выходе фильтра, равно

Сравнивая полученное выражение с , имеем

При :

таким образом, дисперсия выходного шума в раз больше пикового значения выходного сигнала. Схема оптимального обнаружителя для полностью известного сигнала представляет собой оптимальный фильтр с пороговым устройством. Для сигналов со случайной начальной фазой приемник должен содержать устройство, устраняющее зависимость выходного напряжения от случайной начальной фазы. Таким устройством может служить амплитудный детектор, сигнал на выходе которого пропорционален амплитуде и не зависит от случайной начальной фазы. Таким образом, схема обнаружителя сигнала со случайной фазой имеет вид (рис.6).

 

Рис. 6




Поделиться с друзьями:


Дата добавления: 2015-06-27; Просмотров: 640; Нарушение авторских прав?; Мы поможем в написании вашей работы!


Нам важно ваше мнение! Был ли полезен опубликованный материал? Да | Нет



studopedia.su - Студопедия (2013 - 2025) год. Все материалы представленные на сайте исключительно с целью ознакомления читателями и не преследуют коммерческих целей или нарушение авторских прав! Последнее добавление




Генерация страницы за: 0.01 сек.