Студопедия

КАТЕГОРИИ:


Архитектура-(3434)Астрономия-(809)Биология-(7483)Биотехнологии-(1457)Военное дело-(14632)Высокие технологии-(1363)География-(913)Геология-(1438)Государство-(451)Демография-(1065)Дом-(47672)Журналистика и СМИ-(912)Изобретательство-(14524)Иностранные языки-(4268)Информатика-(17799)Искусство-(1338)История-(13644)Компьютеры-(11121)Косметика-(55)Кулинария-(373)Культура-(8427)Лингвистика-(374)Литература-(1642)Маркетинг-(23702)Математика-(16968)Машиностроение-(1700)Медицина-(12668)Менеджмент-(24684)Механика-(15423)Науковедение-(506)Образование-(11852)Охрана труда-(3308)Педагогика-(5571)Полиграфия-(1312)Политика-(7869)Право-(5454)Приборостроение-(1369)Программирование-(2801)Производство-(97182)Промышленность-(8706)Психология-(18388)Религия-(3217)Связь-(10668)Сельское хозяйство-(299)Социология-(6455)Спорт-(42831)Строительство-(4793)Торговля-(5050)Транспорт-(2929)Туризм-(1568)Физика-(3942)Философия-(17015)Финансы-(26596)Химия-(22929)Экология-(12095)Экономика-(9961)Электроника-(8441)Электротехника-(4623)Энергетика-(12629)Юриспруденция-(1492)Ядерная техника-(1748)

Проверка жесткости и устойчивости балки




Проверка прочности балки

 

Проверку прочности проводят в соответствии п.п. 5.12., 5.13., 5.14., 5.18 [4]. Проверяем балку в середине пролета в сечении действия максимального момента.

Определяем геометрические характеристики:

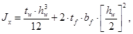
1) момент инерции сечения:

(3.10)

2) статический момент полусечения принятого сечения балки:

(3.11)

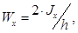
3) момент сопротивления:

(3.12)

Проверка прочности:

1) по нормальным напряжениям

(3.13)

 

 

2) по касательным напряжениям

(3.14)

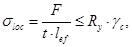
3) Т.к. сопряжение балок поэтажное, то необходима проверка на действие местных напряжений в стенке балки

(3.15)

где

lef – условная длина распределения нагрузки,

4) Проверяем прочность стенки балки на совместное действие касательных и нормальных напряжений. Согласно п.5.14* [4] для стенок балок, рассчитываемых по формуле 3.13, должно выполнятся условие:

(3.16)

где

 

 

Проверку устойчивости балки проводят в соответствии с положениями п.5.16*, табл.8*[4]. Проверку устойчивости проводить нет необходимости, т.к. отношение расчетной длины lef к ширине сжатого пояса b, не превышает значений, определенных в табл.8*.

Нагрузка приложена к верхнему поясу, получаю:

(3.17)

где

h0 = 590 мм - расстояние между осями поясных листов;

bf = 300 мм – ширина сжатого пояса,

tf = 60 мм - толщина сжатого пояса;

lef = ln - расчетная длина балки - расстояние между балками настила.

 

Тогда

Проверка устойчивости сжатого пояса проведена по формуле 3.9 в п. 3.3




Поделиться с друзьями:


Дата добавления: 2015-06-28; Просмотров: 430; Нарушение авторских прав?; Мы поможем в написании вашей работы!


Нам важно ваше мнение! Был ли полезен опубликованный материал? Да | Нет



studopedia.su - Студопедия (2013 - 2026) год. Все материалы представленные на сайте исключительно с целью ознакомления читателями и не преследуют коммерческих целей или нарушение авторских прав! Последнее добавление




Генерация страницы за: 0.008 сек.